Last visit was: 23 Apr 2026, 12:34 It is currently 23 Apr 2026, 12:34
Close
GMAT Club Daily Prep
Thank you for using the timer - this advanced tool can estimate your performance and suggest more practice questions. We have subscribed you to Daily Prep Questions via email.

Customized
for You

we will pick new questions that match your level based on your Timer History

Track
Your Progress

every week, we’ll send you an estimated GMAT score based on your performance

Practice
Pays

we will pick new questions that match your level based on your Timer History
Not interested in getting valuable practice questions and articles delivered to your email? No problem, unsubscribe here.
Close
Request Expert Reply
Confirm Cancel
User avatar
gmatjon
Joined: 18 Aug 2009
Last visit: 21 Jul 2013
Posts: 212
Own Kudos:
364
 [4]
Given Kudos: 16
Concentration: Accounting
Schools:UT at Austin, Indiana State University, UC at Berkeley
GPA: 3.8
WE 1: 5.5
WE 2: 5.5
WE 3: 6.0
GMAT 1: 700 Q49 V36
Posts: 212
Kudos: 364
 [4]
Kudos
Add Kudos
4
Bookmarks
Bookmark this Post
User avatar
Bunuel
User avatar
Math Expert
Joined: 02 Sep 2009
Last visit: 23 Apr 2026
Posts: 109,785
Own Kudos:
810,845
 [4]
Given Kudos: 105,853
Products:
Expert
Expert reply
Active GMAT Club Expert! Tag them with @ followed by their username for a faster response.
Posts: 109,785
Kudos: 810,845
 [4]
4
Kudos
Add Kudos
Bookmarks
Bookmark this Post
User avatar
gmatjon
Joined: 18 Aug 2009
Last visit: 21 Jul 2013
Posts: 212
Own Kudos:
Given Kudos: 16
Concentration: Accounting
Schools:UT at Austin, Indiana State University, UC at Berkeley
GPA: 3.8
WE 1: 5.5
WE 2: 5.5
WE 3: 6.0
GMAT 1: 700 Q49 V36
Posts: 212
Kudos: 364
Kudos
Add Kudos
Bookmarks
Bookmark this Post
User avatar
amod243
Joined: 19 Feb 2009
Last visit: 13 May 2012
Posts: 31
Own Kudos:
Given Kudos: 8
Schools:INSEAD,Nanyang Business school, CBS,
Posts: 31
Kudos: 645
Kudos
Add Kudos
Bookmarks
Bookmark this Post
Bunuel
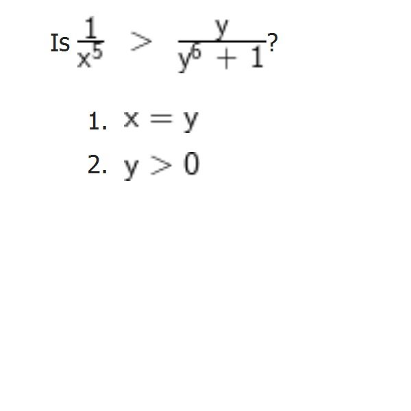
Is 1/x^5 > y/(y^6+1)?

(1) x=y --> is \(\frac{1}{y^5}>\frac{y}{y^6+1}\)? Two cases:

A. \(y<0\) --> cross multiply and as for negative \(y\): \(y^5<0\) and \(y^6+1>0\) flip the sign (because of negative \(y^5\)). The question becomes: is \(y^6+1<y^6\)? --> is \(1<0\)? In this case the answer would be NO.

B. \(y>0\) --> cross multiply and as for positive \(y\) both \(y^5\) and \(y^6+1\) are positive remain the sign. The question becomes: is \(y^6+1>y^6\)? --> is \(1>0\)? In this case the answer would be YES.

(2) y>0. Clearly insufficient as no info about \(x\).

(1)+(2) As from (2) \(y>0\) then we have case B and the answer is YES. Sufficient.

Answer: C.

HI Bunuel..

in S1: \(x=y\) , you considered 2 cases , \(y<0\) and \(y>0\) but why you did not consider \(x=y=0\)?
User avatar
Bunuel
User avatar
Math Expert
Joined: 02 Sep 2009
Last visit: 23 Apr 2026
Posts: 109,785
Own Kudos:
810,845
 [1]
Given Kudos: 105,853
Products:
Expert
Expert reply
Active GMAT Club Expert! Tag them with @ followed by their username for a faster response.
Posts: 109,785
Kudos: 810,845
 [1]
1
Kudos
Add Kudos
Bookmarks
Bookmark this Post
amod243
Bunuel
Is 1/x^5 > y/(y^6+1)?

(1) x=y --> is \(\frac{1}{y^5}>\frac{y}{y^6+1}\)? Two cases:

A. \(y<0\) --> cross multiply and as for negative \(y\): \(y^5<0\) and \(y^6+1>0\) flip the sign (because of negative \(y^5\)). The question becomes: is \(y^6+1<y^6\)? --> is \(1<0\)? In this case the answer would be NO.

B. \(y>0\) --> cross multiply and as for positive \(y\) both \(y^5\) and \(y^6+1\) are positive remain the sign. The question becomes: is \(y^6+1>y^6\)? --> is \(1>0\)? In this case the answer would be YES.

(2) y>0. Clearly insufficient as no info about \(x\).

(1)+(2) As from (2) \(y>0\) then we have case B and the answer is YES. Sufficient.

Answer: C.

HI Bunuel..

in S1: \(x=y\) , you considered 2 cases , \(y<0\) and \(y>0\) but why you did not consider \(x=y=0\)?

x is in denominator it cannot be zero.
User avatar
brandy96
Joined: 05 Jul 2010
Last visit: 14 Sep 2013
Posts: 102
Own Kudos:
Given Kudos: 18
Posts: 102
Kudos: 40
Kudos
Add Kudos
Bookmarks
Bookmark this Post
Bunnel, thank you!!! you had made the inequalities real simple.
User avatar
bigtooth81
Joined: 05 May 2004
Last visit: 04 Aug 2011
Posts: 141
Own Kudos:
Affiliations: CFA Level 2
Location: Hanoi
GPA: 3.6
Posts: 141
Kudos: 1,040
Kudos
Add Kudos
Bookmarks
Bookmark this Post
Hi guys,

Can we do it this way

1/x^5>y/(y^6 + 1) => X^5<(Y^6+1)/Y

S1. Y^5 < Y^5 + 1/Y -> Insufficient
S2 Y>0 -> Insufficient

S1 + S2 -> 1/Y >0 -> Y^5 < Y^5 + 1/Y -> C is the answer
User avatar
Bunuel
User avatar
Math Expert
Joined: 02 Sep 2009
Last visit: 23 Apr 2026
Posts: 109,785
Own Kudos:
Given Kudos: 105,853
Products:
Expert
Expert reply
Active GMAT Club Expert! Tag them with @ followed by their username for a faster response.
Posts: 109,785
Kudos: 810,845
Kudos
Add Kudos
Bookmarks
Bookmark this Post
bigtooth81
Hi guys,

Can we do it this way

1/x^5>y/(y^6 + 1) => X^5<(Y^6+1)/Y

S1. Y^5 < Y^5 + 1/Y -> Insufficient
S2 Y>0 -> Insufficient

S1 + S2 -> 1/Y >0 -> Y^5 < Y^5 + 1/Y -> C is the answer

You can not cross multiply as you don't know the signs of x^5 and y (y^6+1 is positive). For example if x=1 and y=-1 then: 1/x^5=1>-1/2=y/(y^6+1) but x^5=1>-2=(y^6+1)/y (> not < as you wrote).

Never multiply or divide inequality by a variable (or by an expression with variable) unless you are sure of its sign since you do not know whether you must flip the sign of the inequality.
User avatar
bigtooth81
Joined: 05 May 2004
Last visit: 04 Aug 2011
Posts: 141
Own Kudos:
Affiliations: CFA Level 2
Location: Hanoi
GPA: 3.6
Posts: 141
Kudos: 1,040
Kudos
Add Kudos
Bookmarks
Bookmark this Post
Bunuel
bigtooth81
Hi guys,

Can we do it this way

1/x^5>y/(y^6 + 1) => X^5<(Y^6+1)/Y

S1. Y^5 < Y^5 + 1/Y -> Insufficient
S2 Y>0 -> Insufficient

S1 + S2 -> 1/Y >0 -> Y^5 < Y^5 + 1/Y -> C is the answer

You can not cross multiply as you don't know the signs of x^5 and y (y^6+1 is positive). For example if x=1 and y=-1 then: 1/x^5=1>-1/2=y/(y^6+1) but x^5=1>-2=(y^6+1)/y (> not < as you wrote).

Never multiply or divide inequality by a variable (or by an expression with variable) unless you are sure of its sign since you do not know whether you must flip the sign of the inequality.

Got you. Thanks bro
User avatar
mariyea
Joined: 30 Nov 2010
Last visit: 06 Dec 2011
Posts: 185
Own Kudos:
Given Kudos: 66
Schools:UC Berkley, UCLA
Posts: 185
Kudos: 277
Kudos
Add Kudos
Bookmarks
Bookmark this Post
Bunuel
Is 1/x^5 > y/(y^6+1)?

(1) x=y --> is \(\frac{1}{y^5}>\frac{y}{y^6+1}\)? Two cases:

A. \(y<0\)--> cross multiply and as for negative \(y\): \(y^5<0\) and \(y^6+1>0\) flip the sign (because of negative \(y^5\)). The question becomes: is \(y^6+1<y^6\)? --> is \(1<0\)? In this case the answer would be NO.

B. \(y>0\) --> cross multiply and as for positive \(y\) both \(y^5\) and \(y^6+1\) are positive remain the sign. The question becomes: is \(y^6+1>y^6\)? --> is \(1>0\)? In this case the answer would be YES.

(2) y>0. Clearly insufficient as no info about \(x\).

(1)+(2) As from (2) \(y>0\) then we have case B and the answer is YES. Sufficient.

Answer: C.

In A, are you asking us to consider y being negative or did you derive it. Consideration would make sense to me, but I'm just trying to learn for the future. Sorry to be asking all this simple questions, but I just need to know. Thank you Bunuel!

Mari
User avatar
Bunuel
User avatar
Math Expert
Joined: 02 Sep 2009
Last visit: 23 Apr 2026
Posts: 109,785
Own Kudos:
810,845
 [2]
Given Kudos: 105,853
Products:
Expert
Expert reply
Active GMAT Club Expert! Tag them with @ followed by their username for a faster response.
Posts: 109,785
Kudos: 810,845
 [2]
2
Kudos
Add Kudos
Bookmarks
Bookmark this Post
mariyea
Bunuel
Is 1/x^5 > y/(y^6+1)?

(1) x=y --> is \(\frac{1}{y^5}>\frac{y}{y^6+1}\)? Two cases:

A. \(y<0\)--> cross multiply and as for negative \(y\): \(y^5<0\) and \(y^6+1>0\) flip the sign (because of negative \(y^5\)). The question becomes: is \(y^6+1<y^6\)? --> is \(1<0\)? In this case the answer would be NO.

B. \(y>0\) --> cross multiply and as for positive \(y\) both \(y^5\) and \(y^6+1\) are positive remain the sign. The question becomes: is \(y^6+1>y^6\)? --> is \(1>0\)? In this case the answer would be YES.

(2) y>0. Clearly insufficient as no info about \(x\).

(1)+(2) As from (2) \(y>0\) then we have case B and the answer is YES. Sufficient.

Answer: C.

In A, are you asking us to consider y being negative or did you derive it. Consideration would make sense to me, but I'm just trying to learn for the future. Sorry to be asking all this simple questions, but I just need to know. Thank you Bunuel!

Mari

We should determine whether \(\frac{1}{y^5}>\frac{y}{y^6+1}\) is true. You can do this algebraically or with number plugging (for example test y=1 to get YES and then y=-1 to get NO).

As for algebraic approach: we should somehow simplify \(\frac{1}{y^5}>\frac{y}{y^6+1}\) (as it looks kind of ugly) to get the answer. For this we consider two cases: \(y<0\) and \(y>0\) (y=0 is not possible as y is in denominator and we know that division by zero is undefined). As we proceed, we get NO answer for an assumption \(y<0\) and we get YES answer for an assumption \(y>0\).

Hope it's clear.
User avatar
mariyea
Joined: 30 Nov 2010
Last visit: 06 Dec 2011
Posts: 185
Own Kudos:
Given Kudos: 66
Schools:UC Berkley, UCLA
Posts: 185
Kudos: 277
Kudos
Add Kudos
Bookmarks
Bookmark this Post
Bunuel
mariyea
Bunuel
Is 1/x^5 > y/(y^6+1)?

(1) x=y --> is \(\frac{1}{y^5}>\frac{y}{y^6+1}\)? Two cases:

A. \(y<0\)--> cross multiply and as for negative \(y\): \(y^5<0\) and \(y^6+1>0\) flip the sign (because of negative \(y^5\)). The question becomes: is \(y^6+1<y^6\)? --> is \(1<0\)? In this case the answer would be NO.

B. \(y>0\) --> cross multiply and as for positive \(y\) both \(y^5\) and \(y^6+1\) are positive remain the sign. The question becomes: is \(y^6+1>y^6\)? --> is \(1>0\)? In this case the answer would be YES.

(2) y>0. Clearly insufficient as no info about \(x\).

(1)+(2) As from (2) \(y>0\) then we have case B and the answer is YES. Sufficient.

Answer: C.

In A, are you asking us to consider y being negative or did you derive it. Consideration would make sense to me, but I'm just trying to learn for the future. Sorry to be asking all this simple questions, but I just need to know. Thank you Bunuel!

Mari

We should determine whether \(\frac{1}{y^5}>\frac{y}{y^6+1}\) is true. You can do this algebraically or with number plugging (for example test y=1 to get YES and then y=-1 to get NO).

As for algebraic approach: we should somehow simplify \(\frac{1}{y^5}>\frac{y}{y^6+1}\) (as it looks kind of ugly) to get the answer. For this we consider two cases: \(y<0\) and \(y>0\) (y=0 is not possible as y is in denominator and we know that division by zero is undefined). As we proceed, we get NO answer for an assumption \(y<0\) and we get YES answer for an assumption \(y>0\).

Hope it's clear.
Yes! It is very clear now, thanks! I was just wondering whether you considered y -ve... now I understand. Thank you so much for your patience!
User avatar
gmat1220
Joined: 03 Feb 2011
Last visit: 17 Feb 2020
Posts: 461
Own Kudos:
Given Kudos: 123
Status:Impossible is not a fact. It's an opinion. It's a dare. Impossible is nothing.
Affiliations: University of Chicago Booth School of Business
Products:
Posts: 461
Kudos: 1,015
Kudos
Add Kudos
Bookmarks
Bookmark this Post
Hi Bunuel

If it would have been Is 1/x^5 > 1/(y^6+1) ? Then can I rephrase it as

Is x^5 < y^6+1 ? irrespective of the signs. Am I correct?


Bunuel
Is 1/x^5 > y/(y^6+1)?

(1) x=y --> is \(\frac{1}{y^5}>\frac{y}{y^6+1}\)? Two cases:

A. \(y<0\) --> cross multiply and as for negative \(y\): \(y^5<0\) and \(y^6+1>0\) flip the sign (because of negative \(y^5\)). The question becomes: is \(y^6+1<y^6\)? --> is \(1<0\)? In this case the answer would be NO.

B. \(y>0\) --> cross multiply and as for positive \(y\) both \(y^5\) and \(y^6+1\) are positive remain the sign. The question becomes: is \(y^6+1>y^6\)? --> is \(1>0\)? In this case the answer would be YES.

(2) y>0. Clearly insufficient as no info about \(x\).

(1)+(2) As from (2) \(y>0\) then we have case B and the answer is YES. Sufficient.

Answer: C.
User avatar
Bunuel
User avatar
Math Expert
Joined: 02 Sep 2009
Last visit: 23 Apr 2026
Posts: 109,785
Own Kudos:
Given Kudos: 105,853
Products:
Expert
Expert reply
Active GMAT Club Expert! Tag them with @ followed by their username for a faster response.
Posts: 109,785
Kudos: 810,845
Kudos
Add Kudos
Bookmarks
Bookmark this Post
gmat1220
Hi Bunuel

If it would have been Is 1/x^5 > 1/(y^6+1) ? Then can I rephrase it as

Is x^5 < y^6+1 ? irrespective of the signs. Am I correct?


Bunuel
Is 1/x^5 > y/(y^6+1)?

(1) x=y --> is \(\frac{1}{y^5}>\frac{y}{y^6+1}\)? Two cases:

A. \(y<0\) --> cross multiply and as for negative \(y\): \(y^5<0\) and \(y^6+1>0\) flip the sign (because of negative \(y^5\)). The question becomes: is \(y^6+1<y^6\)? --> is \(1<0\)? In this case the answer would be NO.

B. \(y>0\) --> cross multiply and as for positive \(y\) both \(y^5\) and \(y^6+1\) are positive remain the sign. The question becomes: is \(y^6+1>y^6\)? --> is \(1>0\)? In this case the answer would be YES.

(2) y>0. Clearly insufficient as no info about \(x\).

(1)+(2) As from (2) \(y>0\) then we have case B and the answer is YES. Sufficient.

Answer: C.

Check this: https://gmatclub.com/forum/inequalities- ... ml#p871109

You cannot cross multiply as you don't know the sign of x^5.

Never multiply or divide inequality by a variable (or by an expression with variable) unless you are sure of its sign since you do not know whether you must flip the sign of the inequality.
User avatar
gmat1220
Joined: 03 Feb 2011
Last visit: 17 Feb 2020
Posts: 461
Own Kudos:
Given Kudos: 123
Status:Impossible is not a fact. It's an opinion. It's a dare. Impossible is nothing.
Affiliations: University of Chicago Booth School of Business
Products:
Posts: 461
Kudos: 1,015
Kudos
Add Kudos
Bookmarks
Bookmark this Post
Thanks Bunuel for the brilliant explanation !
avatar
shreyas
Joined: 01 Aug 2006
Last visit: 15 Feb 2014
Posts: 18
Own Kudos:
Posts: 18
Kudos: 176
Kudos
Add Kudos
Bookmarks
Bookmark this Post
Is 1/x^5 > y/(y^6+1)? or is x^5 < (y^6+1)/y? (taking reciprocals changes the sign of inequality)

(1) x = y -> is x^ 5 < (x^6 + 1)/x or is x^5 < x^5 + 1/x? put x = 1, yes. Put x = -1, No.
(2) y > 0 -> no info on x. NOT sufficient

Combining, x = y > 0. For +ve values, x^5 always less than x^5 +1/x.
example: integer values. Put x = 2; Yes. non-integer values: put 1/2. 1/x on the RHS will make it RHS a bigger number.

C
avatar
GittinGud
Joined: 18 Feb 2018
Last visit: 18 Mar 2021
Posts: 89
Own Kudos:
Given Kudos: 90
Location: India
GMAT 1: 750 Q50 V41
Kudos
Add Kudos
Bookmarks
Bookmark this Post
Bunuel
Is 1/x^5 > y/(y^6+1)?

(1) x=y --> is \(\frac{1}{y^5}>\frac{y}{y^6+1}\)? Two cases:

A. \(y<0\) --> cross multiply and as for negative \(y\): \(y^5<0\) and \(y^6+1>0\) flip the sign (because of negative \(y^5\)). The question becomes: is \(y^6+1<y^6\)? --> is \(1<0\)? In this case the answer would be NO.

B. \(y>0\) --> cross multiply and as for positive \(y\) both \(y^5\) and \(y^6+1\) are positive remain the sign. The question becomes: is \(y^6+1>y^6\)? --> is \(1>0\)? In this case the answer would be YES.

(2) y>0. Clearly insufficient as no info about \(x\).

(1)+(2) As from (2) \(y>0\) then we have case B and the answer is YES. Sufficient.

Answer: C.

Bunuel Could you please tell me how you cross multiplied the equations? Y^5 (LHS) as well as y (RHS) are negative here. Also, could you please share some resource to learn cross multiplication in inequalities. Thanks!
User avatar
Bunuel
User avatar
Math Expert
Joined: 02 Sep 2009
Last visit: 23 Apr 2026
Posts: 109,785
Own Kudos:
810,845
 [1]
Given Kudos: 105,853
Products:
Expert
Expert reply
Active GMAT Club Expert! Tag them with @ followed by their username for a faster response.
Posts: 109,785
Kudos: 810,845
 [1]
1
Kudos
Add Kudos
Bookmarks
Bookmark this Post
GittinGud
Bunuel
Is 1/x^5 > y/(y^6+1)?

(1) x=y --> is \(\frac{1}{y^5}>\frac{y}{y^6+1}\)? Two cases:

A. \(y<0\) --> cross multiply and as for negative \(y\): \(y^5<0\) and \(y^6+1>0\) flip the sign (because of negative \(y^5\)). The question becomes: is \(y^6+1<y^6\)? --> is \(1<0\)? In this case the answer would be NO.

B. \(y>0\) --> cross multiply and as for positive \(y\) both \(y^5\) and \(y^6+1\) are positive remain the sign. The question becomes: is \(y^6+1>y^6\)? --> is \(1>0\)? In this case the answer would be YES.

(2) y>0. Clearly insufficient as no info about \(x\).

(1)+(2) As from (2) \(y>0\) then we have case B and the answer is YES. Sufficient.

Answer: C.

Bunuel Could you please tell me how you cross multiplied the equations? Y^5 (LHS) as well as y (RHS) are negative here. Also, could you please share some resource to learn cross multiplication in inequalities. Thanks!

It could also be possible that a and c are both negative and c is more negative than a. I jus do not get how to approach such questions. Is there a frame of mind one should be in? Bunuel

Does this question have a verified source?[/quote]

Sorry, not sure what you are trying to say there but below are materials that could help solving inequalities questions:

9. Inequalities



For more check Ultimate GMAT Quantitative Megathread



Hope it helps.
User avatar
Archit3110
User avatar
Major Poster
Joined: 18 Aug 2017
Last visit: 23 Apr 2026
Posts: 8,628
Own Kudos:
Given Kudos: 243
Status:You learn more from failure than from success.
Location: India
Concentration: Sustainability, Marketing
GMAT Focus 1: 545 Q79 V79 DI73
GMAT Focus 2: 645 Q83 V82 DI81
GPA: 4
WE:Marketing (Energy)
Products:
GMAT Focus 2: 645 Q83 V82 DI81
Posts: 8,628
Kudos: 5,190
Kudos
Add Kudos
Bookmarks
Bookmark this Post
gmatjon
Is \(\frac{1}{x^5} > \frac{y}{(y^6+1)}\)?


(1) x = y

(2) y > 0

Attachment:
Untitled.jpg

#1
would be valid for \(\frac{1}{x^5} > \frac{y}{(y^6+1)}\) when +ve and not sufficient when -ve
#2
y>0 ; x not given
insufficient
from 1 &2
x& y are +ve so \(\frac{1}{x^5} > \frac{y}{(y^6+1)}\) is sufficeint
IMO C
Moderators:
Math Expert
109785 posts
498 posts
212 posts