Last visit was: 24 Apr 2026, 14:12 It is currently 24 Apr 2026, 14:12
Close
GMAT Club Daily Prep
Thank you for using the timer - this advanced tool can estimate your performance and suggest more practice questions. We have subscribed you to Daily Prep Questions via email.

Customized
for You

we will pick new questions that match your level based on your Timer History

Track
Your Progress

every week, we’ll send you an estimated GMAT score based on your performance

Practice
Pays

we will pick new questions that match your level based on your Timer History
Not interested in getting valuable practice questions and articles delivered to your email? No problem, unsubscribe here.
Close
Request Expert Reply
Confirm Cancel
User avatar
GMATinsight
User avatar
Major Poster
Joined: 08 Jul 2010
Last visit: 24 Apr 2026
Posts: 6,977
Own Kudos:
16,914
 [7]
Given Kudos: 128
Status:GMAT/GRE Tutor l Admission Consultant l On-Demand Course creator
Location: India
GMAT: QUANT+DI EXPERT
Schools: IIM (A) ISB '24
GMAT 1: 750 Q51 V41
WE:Education (Education)
Products:
Expert
Expert reply
Schools: IIM (A) ISB '24
GMAT 1: 750 Q51 V41
Posts: 6,977
Kudos: 16,914
 [7]
1
Kudos
Add Kudos
6
Bookmarks
Bookmark this Post
User avatar
niks18
User avatar
Retired Moderator
Joined: 25 Feb 2013
Last visit: 30 Jun 2021
Posts: 862
Own Kudos:
1,805
 [2]
Given Kudos: 54
Location: India
GPA: 3.82
Products:
Posts: 862
Kudos: 1,805
 [2]
2
Kudos
Add Kudos
Bookmarks
Bookmark this Post
avatar
isabelleo
Joined: 01 Feb 2018
Last visit: 30 Mar 2020
Posts: 3
Own Kudos:
Given Kudos: 4
Posts: 3
Kudos: 1
Kudos
Add Kudos
Bookmarks
Bookmark this Post
User avatar
GMATBusters
User avatar
GMAT Tutor
Joined: 27 Oct 2017
Last visit: 23 Apr 2026
Posts: 1,922
Own Kudos:
6,856
 [2]
Given Kudos: 241
WE:General Management (Education)
Expert
Expert reply
Posts: 1,922
Kudos: 6,856
 [2]
Kudos
Add Kudos
2
Bookmarks
Bookmark this Post
Hi
The answer should be E.

if set A = {1,2,2,3} B ={1,2,3}, SD = SD of A = 0.707, SD of B = 0.816

if set A = {1,1,2,3,3} B ={1,2,3}, SD of A = 0.894, SD of B = 0.816

Hence even after combining Statement A & B, it is not sufficient to answer .

Answer is E

Please clarify and change the OA

GMATinsight
Is standard deviation of Set A > the standard deviation of Set B?

1) Range of Set A = Range of Set B
2) Number of terms in Set A > Number of terms in Set B

Source: https://www.GMATinsight.com
User avatar
aserghe1
Joined: 30 Mar 2017
Last visit: 26 Oct 2021
Posts: 83
Own Kudos:
174
 [1]
Given Kudos: 53
GMAT 1: 200 Q1 V1
Products:
GMAT 1: 200 Q1 V1
Posts: 83
Kudos: 174
 [1]
1
Kudos
Add Kudos
Bookmarks
Bookmark this Post
I think it should be Answer E.

Standard deviation is the dispersion around the mean. Knowing the relative ranges and/or number of terms does not help us find the mean, nor the dispersion around it.

Let's take 2 examples:
Set A can have 2 data elements, 1 at each extreme, and the rest of the data elements can be right at the mean.
Set B can have all of its data elements at its 2 extremes.
This means (standard deviation of A) < (standard deviation of B)

Or

Set B can have 2 data elements, 1 at each extreme, and the rest of the data elements can be right at the mean.
Set A can have all of its data points at its 2 extremes.
This means (standard deviation of A) > (standard deviation of B)
User avatar
niks18
User avatar
Retired Moderator
Joined: 25 Feb 2013
Last visit: 30 Jun 2021
Posts: 862
Own Kudos:
Given Kudos: 54
Location: India
GPA: 3.82
Products:
Posts: 862
Kudos: 1,805
Kudos
Add Kudos
Bookmarks
Bookmark this Post
gmatbusters
Hi
The answer should be E.

if set A = {1,2,2,3} B ={1,2,3}, SD = SD of A = 0.707, SD of B = 0.816

if set A = {1,1,2,3,3} B ={1,2,3}, SD of A = 0.894, SD of B = 0.816

Hence even after combining Statement A & B, it is not sufficient to answer .

Answer is E

Please clarify and change the OA

GMATinsight
Is standard deviation of Set A > the standard deviation of Set B?

1) Range of Set A = Range of Set B
2) Number of terms in Set A > Number of terms in Set B

Source: https://www.GMATinsight.com

Hi gmatbusters

Usually in a set when we say number of terms, it refers to set's cardinal number. so as per statement 2, set's A cardinal number is more than that of set B.

However the illustration that you took, the cardinal number of Set A=Set B (i.e. 1,2,3 in both cases), hence you are getting S.D of A more than S.D of B.

Hi GMATinsight

Kindly clarify Statement 2 of the question because as per your OA it should refer to set's cardinal number (i.e unique elements). In my solution I have assumed that the terms are different and hence got the OA as C
User avatar
GMATBusters
User avatar
GMAT Tutor
Joined: 27 Oct 2017
Last visit: 23 Apr 2026
Posts: 1,922
Own Kudos:
Given Kudos: 241
WE:General Management (Education)
Expert
Expert reply
Posts: 1,922
Kudos: 6,856
Kudos
Add Kudos
Bookmarks
Bookmark this Post
Dear Sir

1) In statistics question involving mean, standard deviation etc, existence of repeated elements is very common.
We have to take care of repeated elements. Hence I feel we need to take the case of repeated elements also.

2) Secondly if we take all elements different, then also We can have SD of Set A>SD of Set B
eg:
If Set A = {1,1.1,1.2,2,2.8,2.99,3} ; SD = 0.851
If Set B = { 1,2,3} ; SD = 0.816

Hence SD of Set A> SD of Set B

Answer Should be E.


niks18
gmatbusters
Hi
The answer should be E.

if set A = {1,2,2,3} B ={1,2,3}, SD = SD of A = 0.707, SD of B = 0.816

if set A = {1,1,2,3,3} B ={1,2,3}, SD of A = 0.894, SD of B = 0.816

Hence even after combining Statement A & B, it is not sufficient to answer .

Answer is E

Please clarify and change the OA

GMATinsight
Is standard deviation of Set A > the standard deviation of Set B?

1) Range of Set A = Range of Set B
2) Number of terms in Set A > Number of terms in Set B

Source: https://www.GMATinsight.com

Hi gmatbusters

Usually in a set when we say number of terms, it refers to set's cardinal number. so as per statement 2, set's A cardinal number is more than that of set B.

However the illustration that you took, the cardinal number of Set A=Set B (i.e. 1,2,3 in both cases), hence you are getting S.D of A more than S.D of B.

Hi GMATinsight

Kindly clarify Statement 2 of the question because as per your OA it should refer to set's cardinal number (i.e unique elements). In my solution I have assumed that the terms are different and hence got the OA as C
User avatar
GMATBusters
User avatar
GMAT Tutor
Joined: 27 Oct 2017
Last visit: 23 Apr 2026
Posts: 1,922
Own Kudos:
6,856
 [2]
Given Kudos: 241
WE:General Management (Education)
Expert
Expert reply
Posts: 1,922
Kudos: 6,856
 [2]
1
Kudos
Add Kudos
1
Bookmarks
Bookmark this Post
We can see this like this :
The standard deviation is a widely used concept in statistics and it tells how much variation (spread or dispersion) is in the data set.
Even we have the same range, but since we have number of elements greater in Set A, the new elements in Set A can be
1) Closer to mean : it gives lower SD
2) Closer to the extreme value of set: It gives higher SD.

Hence the SD of Set A can be lower or higher than SD of Set B
User avatar
rahul16singh28
Joined: 31 Jul 2017
Last visit: 09 Jun 2020
Posts: 428
Own Kudos:
Given Kudos: 752
Location: Malaysia
GPA: 3.95
WE:Consulting (Energy)
Posts: 428
Kudos: 503
Kudos
Add Kudos
Bookmarks
Bookmark this Post
GMATinsight
Is standard deviation of Set A > the standard deviation of Set B?

1) Range of Set A = Range of Set B
2) Number of terms in Set A > Number of terms in Set B

Source: https://www.GMATinsight.com

Hi GMATinsight

I think the answer should be E.
User avatar
niks18
User avatar
Retired Moderator
Joined: 25 Feb 2013
Last visit: 30 Jun 2021
Posts: 862
Own Kudos:
Given Kudos: 54
Location: India
GPA: 3.82
Products:
Posts: 862
Kudos: 1,805
Kudos
Add Kudos
Bookmarks
Bookmark this Post
Quote:
Dear Sir

1) In statistics question involving mean, standard deviation etc, existence of repeated elements is very common.
We have to take care of repeated elements. Hence I feel we need to take the case of repeated elements also.

2) Secondly if we take all elements different, then also We can have SD of Set A>SD of Set B
eg:
If Set A = {1,1.1,1.2,2,2.8,2.99,3} ; SD = 0.851
If Set B = { 1,2,3} ; SD = 0.816

Hence SD of Set A> SD of Set B

Answer Should be E.

Hi gmatbusters

At first I am no "Sir" buddy, don't make me so old :-D
This is where the confusion is about (and forget about my logic on "number of terms", I guess I was sleeping when I did not realize about non-integer numbers :sad: )

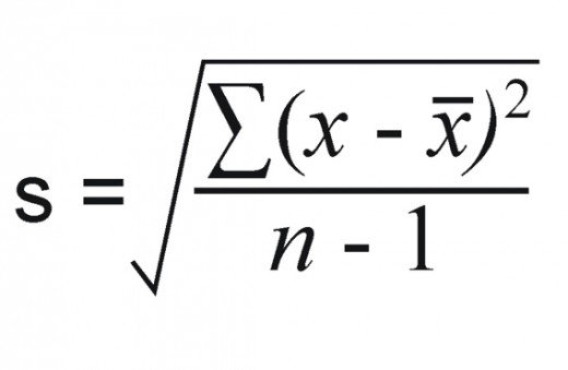
Usually in Statistics we use the formula for Standard Deviation of a "Sample" which is given below -
Attachment:
S.D_Sample.jpg
S.D_Sample.jpg [ 12.56 KiB | Viewed 5008 times ]

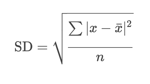
Whereas GMAT uses the formula for Standard Deviation of a "Population" which ignores "Bessel's Correction" i.e the use of \(n-1\), instead of \(n\)
Attachment:
S.D Population Formula.png
S.D Population Formula.png [ 12.46 KiB | Viewed 5011 times ]

So if you are using S.D for population then mathematically you Can get higher S.D for set A than for Set B. But here the author is using S.D for Sample.

unfortunately Mr. Bill Gates (i.e M.S Excel) also uses S.D for sample formula :-D :-D . Generally S.D calculation is not asked in GMAT and while solving this question I used Descriptive statistics tool in excel to calculate S.D, hence I was always getting S.D of A< S.D of B.

Here's your example and you can see how the solution changes -
Attachment:
S.D.jpg
S.D.jpg [ 89.66 KiB | Viewed 5010 times ]

Logically speaking as the number of terms in Set A & B are not mentioned, that is they could be a infinite set, so S.D of Sample formula should be used. Also as the boundary of both the sets is fixed and Set A has more elements than Set B so ideally S.D of A<S.D of B

Now it is up to owner of the question GMATinsight to clarify the logic behind the question and solution.

In GMAT although the calculation of S.D is not asked but if required we will have to use formula given in OG i.e. S.D for Population. Hence Your calculation is correct, but the logic behind the question and solution is debatable.
User avatar
GMATBusters
User avatar
GMAT Tutor
Joined: 27 Oct 2017
Last visit: 23 Apr 2026
Posts: 1,922
Own Kudos:
Given Kudos: 241
WE:General Management (Education)
Expert
Expert reply
Posts: 1,922
Kudos: 6,856
Kudos
Add Kudos
Bookmarks
Bookmark this Post
Hi

Actually, I have taken non integer values arbitrarily. But we can prove the same by integers value also.

Secondly the formula as per GMAT purview is for denominator " n" only.

It was really a nice discussion, it really refreshed my old school concepts.

Thanks to the question.

It seems no one likes my insights, it is quite evident from the absence of any kudos.:)

niks18
Quote:
Dear Sir

1) In statistics question involving mean, standard deviation etc, existence of repeated elements is very common.
We have to take care of repeated elements. Hence I feel we need to take the case of repeated elements also.

2) Secondly if we take all elements different, then also We can have SD of Set A>SD of Set B
eg:
If Set A = {1,1.1,1.2,2,2.8,2.99,3} ; SD = 0.851
If Set B = { 1,2,3} ; SD = 0.816

Hence SD of Set A> SD of Set B

Answer Should be E.

Hi gmatbusters

At first I am no "Sir" buddy, don't make me so old :-D
This is where the confusion is about (and forget about my logic on "number of terms", I guess I was sleeping when I did not realize about non-integer numbers :sad: )

Usually in Statistics we use the formula for Standard Deviation of a "Sample" which is given below -
Attachment:
S.D_Sample.jpg

Whereas GMAT uses the formula for Standard Deviation of a "Population" which ignores "Bessel's Correction" i.e the use of \(n-1\), instead of \(n\)
Attachment:
S.D Population Formula.png

So if you are using S.D for population then mathematically you Can get higher S.D for set A than for Set B. But here the author is using S.D for Sample.

unfortunately Mr. Bill Gates (i.e M.S Excel) also uses S.D for sample formula :-D :-D . Generally S.D calculation is not asked in GMAT and while solving this question I used Descriptive statistics tool in excel to calculate S.D, hence I was always getting S.D of A< S.D of B.

Here's your example and you can see how the solution changes -
Attachment:
S.D.jpg

Logically speaking as the number of terms in Set A & B are not mentioned, that is they could be a infinite set, so S.D of Sample formula should be used. Also as the boundary of both the sets is fixed and Set A has more elements than Set B so ideally S.D of A<S.D of B

Now it is up to owner of the question GMATinsight to clarify the logic behind the question and solution.

In GMAT although the calculation of S.D is not asked but if required we will have to use formula given in OG i.e. S.D for Population. Hence Your calculation is correct, but the logic behind the question and solution is debatable.

Posted from my mobile device
User avatar
Helium
Joined: 08 Jun 2013
Last visit: 01 Jun 2020
Posts: 452
Own Kudos:
Given Kudos: 118
Location: France
GMAT 1: 200 Q1 V1
GPA: 3.82
WE:Consulting (Other)
GMAT 1: 200 Q1 V1
Posts: 452
Kudos: 822
Kudos
Add Kudos
Bookmarks
Bookmark this Post
GMATinsight
Is standard deviation of Set A > the standard deviation of Set B?

1) Range of Set A = Range of Set B
2) Number of terms in Set A > Number of terms in Set B

Source: https://www.GMATinsight.com

Bunuel chetan2u

Can you please provide the detailed explanation for this question?

Thanks.
User avatar
chetan2u
User avatar
GMAT Expert
Joined: 02 Aug 2009
Last visit: 24 Apr 2026
Posts: 11,229
Own Kudos:
45,009
 [1]
Given Kudos: 335
Status:Math and DI Expert
Location: India
Concentration: Human Resources, General Management
GMAT Focus 1: 735 Q90 V89 DI81
Products:
Expert
Expert reply
GMAT Focus 1: 735 Q90 V89 DI81
Posts: 11,229
Kudos: 45,009
 [1]
1
Kudos
Add Kudos
Bookmarks
Bookmark this Post
Harshgmat
GMATinsight
Is standard deviation of Set A > the standard deviation of Set B?

1) Range of Set A = Range of Set B
2) Number of terms in Set A > Number of terms in Set B

Source: https://www.GMATinsight.com

Bunuel chetan2u

Can you please provide the detailed explanation for this question?

Thanks.

The answer would be E..
SD is the spread of terms around the mean...
It is either 0, when all terms are same or >0..

1) Range of set A = Range of set B
Let the numbers be 1,3,5 in set A and 5,7,9
Range is same and even SD is same as same spread
A is 1,2,3,4,5 and B is 5,7,9
SD of A>SD of B
A is 5,7,9 and B is 1,2,3,4,5
SD of A<SD of B
Insufficient

2) numbers of term in A>number of terms in B
Range not known
1,1,1,1,1 in A and 1,2,3 in B
SD of A<SD of B
1,1,1,1,1 in A and 1,1,1 in B
SD are same
1,2,3,4,5 in A and 1,1,1 in B
SD of A>SD of B
Insufficient

Combined
1,1,1,1,1 in A and 1,1,1 in B.......same SD
1,3,3,3,3,3,5 in A and 1,1,2,2,4,5 in B.....SD of A<SD of B
1,2,3,4,5 in A and 1,3,5 in B.......SD of A> SD of B
Insufficient

E

Note :- number of terms in sets and same range will not be sufficient to talk about spread of terms and in turn relations of SD of sets. SD is dependent on spread of numbers
User avatar
Heisenberg12
Joined: 10 Jun 2016
Last visit: 16 Apr 2019
Posts: 70
Own Kudos:
Given Kudos: 589
Location: India
Concentration: Operations, Strategy
GMAT 1: 710 Q49 V37
GPA: 3.3
WE:Project Management (Energy)
Products:
Kudos
Add Kudos
Bookmarks
Bookmark this Post
Basically, we are trying to find out how closely spaced are the elements of set A compared to those of set B.

Statement 1 gives us that the range of set A and that of set B is the same. But it does not tell us about the number of elements in Set A or Set B; it also does not give any information on Mean of Set A and Set B. Therefore, insufficient.

Statement 2 gives that the number of elements in Set A is greater than that in Set B. However, it does not tell us about any range of elements in Sets A and B or about the mean of respective sets. Hence, insufficient.

Both Statement 1 & 2 combined: We know the range of set A and set B is the same. We know that the number of elements in set A is greater than that in set B. This shows that within the same maximum and minimum elements, i.e. within the same boundary limits, the number of elements in set A is greater than that in set B. This naturally shows that elements in A are more closely grouped than the elements in B. Thus, the Standard Deviation of set A is smaller than that of set B. This gives us a definite NO answer.
Thus, sufficient.

Answer C.
User avatar
GMATBusters
User avatar
GMAT Tutor
Joined: 27 Oct 2017
Last visit: 23 Apr 2026
Posts: 1,922
Own Kudos:
6,856
 [2]
Given Kudos: 241
WE:General Management (Education)
Expert
Expert reply
Posts: 1,922
Kudos: 6,856
 [2]
2
Kudos
Add Kudos
Bookmarks
Bookmark this Post
Please see above discussions, the Answer shall be E.

The standard deviation is a widely used concept in statistics and it tells how much variation (spread or dispersion) is in the data set.
Even we have the same range, but since we have number of elements greater in Set A, the new elements in Set A can be
1) Closer to mean : it gives lower SD
2) Closer to the extreme value of set: It gives higher SD.

Hence the SD of Set A can be lower or higher than SD of Set B.



Heisenberg12
Basically, we are trying to find out how closely spaced are the elements of set A compared to those of set B.

Statement 1 gives us that the range of set A and that of set B is the same. But it does not tell us about the number of elements in Set A or Set B; it also does not give any information on Mean of Set A and Set B. Therefore, insufficient.

Statement 2 gives that the number of elements in Set A is greater than that in Set B. However, it does not tell us about any range of elements in Sets A and B or about the mean of respective sets. Hence, insufficient.

Both Statement 1 & 2 combined: We know the range of set A and set B is the same. We know that the number of elements in set A is greater than that in set B. This shows that within the same maximum and minimum elements, i.e. within the same boundary limits, the number of elements in set A is greater than that in set B. This naturally shows that elements in A are more closely grouped than the elements in B. Thus, the Standard Deviation of set A is smaller than that of set B. This gives us a definite NO answer.
Thus, sufficient.

Answer C.
User avatar
niks18
User avatar
Retired Moderator
Joined: 25 Feb 2013
Last visit: 30 Jun 2021
Posts: 862
Own Kudos:
Given Kudos: 54
Location: India
GPA: 3.82
Products:
Posts: 862
Kudos: 1,805
Kudos
Add Kudos
Bookmarks
Bookmark this Post
chetan2u
Harshgmat
GMATinsight
Is standard deviation of Set A > the standard deviation of Set B?

1) Range of Set A = Range of Set B
2) Number of terms in Set A > Number of terms in Set B

Source: https://www.GMATinsight.com

Bunuel chetan2u

Can you please provide the detailed explanation for this question?

Thanks.

The answer would be E..
SD is the spread of terms around the mean...
It is either 0, when all terms are same or >0..

1) Range of set A = Range of set B
Let the numbers be 1,3,5 in set A and 5,7,9
Range is same and even SD is same as same spread
A is 1,2,3,4,5 and B is 5,7,9
SD of A>SD of B
A is 5,7,9 and B is 1,2,3,4,5
SD of A<SD of B
Insufficient

2) numbers of term in A>number of terms in B
Range not known
1,1,1,1,1 in A and 1,2,3 in B
SD of A<SD of B
1,1,1,1,1 in A and 1,1,1 in B
SD are same
1,2,3,4,5 in A and 1,1,1 in B
SD of A>SD of B
Insufficient

Combined
1,1,1,1,1 in A and 1,1,1 in B.......same SD
1,3,3,3,3,3,5 in A and 1,1,2,2,4,5 in B.....SD of A<SD of B
1,2,3,4,5 in A and 1,3,5 in B.......SD of A> SD of B
Insufficient

E

Note :- number of terms in sets and same range will not be sufficient to talk about spread of terms and in turn relations of SD of sets. SD is dependent on spread of numbers

Hi chetan2u

In my opinion this is an ambiguous question and should not be part of GMAT discussions. As per data analysis tool SD of set A will never be greater than SD of set B. Here are the SD's of your illustration as per Descriptive statistics which is generally used in businesses because its provided in MS Excel

Attachment:
SD1.jpg
SD1.jpg [ 129.37 KiB | Viewed 4459 times ]

Even if you plot the data of your second example in a scatter plot you will get something like this which illustrates that SD of B> SD of A because data are more spread in Set B than Set A

Attachment:
SD2.jpg
SD2.jpg [ 39.74 KiB | Viewed 4500 times ]

So if we use MS excel then in no case SD of A>SD of B which gives us the answer as Option C

BUT if we use the formula for SD as used in GMAT then we can get SD of A> SD of B which will lead to Option E as an answer.

There are two different formula for SD, SD for sample and SD for Universe as explained in my earlier post, hence there will be different results.

Hence I feel this is NOT A GMAT question as it leaves ambiguity and GMAT never gives a question which could be challenged, hence should be archived

In the hindsight suppose, if we have a situation where we have two identical rooms (boundaries are same i.e the range), in one room there are 10 people and in the other room there are 3 people, then obviously there will be more spread in the second room than in the first room.
User avatar
bumpbot
User avatar
Non-Human User
Joined: 09 Sep 2013
Last visit: 04 Jan 2021
Posts: 38,974
Own Kudos:
Posts: 38,974
Kudos: 1,117
Kudos
Add Kudos
Bookmarks
Bookmark this Post
Automated notice from GMAT Club BumpBot:

A member just gave Kudos to this thread, showing it’s still useful. I’ve bumped it to the top so more people can benefit. Feel free to add your own questions or solutions.

This post was generated automatically.
Moderators:
Math Expert
109818 posts
498 posts
212 posts