Last visit was: 18 May 2026, 16:43 It is currently 18 May 2026, 16:43
Close
GMAT Club Daily Prep
Thank you for using the timer - this advanced tool can estimate your performance and suggest more practice questions. We have subscribed you to Daily Prep Questions via email.

Customized
for You

we will pick new questions that match your level based on your Timer History

Track
Your Progress

every week, we’ll send you an estimated GMAT score based on your performance

Practice
Pays

we will pick new questions that match your level based on your Timer History
Not interested in getting valuable practice questions and articles delivered to your email? No problem, unsubscribe here.
Close
Request Expert Reply
Confirm Cancel
User avatar
jairovx
Joined: 30 Mar 2023
Last visit: 06 Oct 2024
Posts: 48
Own Kudos:
57
 [1]
Given Kudos: 23
Location: Peru
Posts: 48
Kudos: 57
 [1]
1
Kudos
Add Kudos
Bookmarks
Bookmark this Post
User avatar
Elite097
Joined: 20 Apr 2022
Last visit: 08 May 2026
Posts: 735
Own Kudos:
570
 [1]
Given Kudos: 337
Location: India
GPA: 3.64
Posts: 735
Kudos: 570
 [1]
1
Kudos
Add Kudos
Bookmarks
Bookmark this Post
User avatar
Purnank
Joined: 05 Jan 2024
Last visit: 29 Apr 2026
Posts: 680
Own Kudos:
622
 [1]
Given Kudos: 167
Location: India
Concentration: General Management, Strategy
GMAT Focus 1: 635 Q88 V76 DI80
Products:
GMAT Focus 1: 635 Q88 V76 DI80
Posts: 680
Kudos: 622
 [1]
1
Kudos
Add Kudos
Bookmarks
Bookmark this Post
User avatar
kavyavishnoi02
Joined: 09 Dec 2023
Last visit: 30 Jun 2025
Posts: 43
Own Kudos:
61
 [1]
Given Kudos: 7
Posts: 43
Kudos: 61
 [1]
1
Kudos
Add Kudos
Bookmarks
Bookmark this Post
As per question, let A take x hours to cover the distance of 300kms. Thus, in x hours, B will cover 220kms.

Now, let's analyse each statement:

(I) During the 1st hr, let A cover y kms. Thus B will cover (y-40)kms.

Yet, no other info is provided or can be derived. Thus, this statement alone is insufficient.

(II)
For the 1st 110kms, B's avg speed was 110km/hr. 
This means, B covered 110km in 1 hr.

Apart from this, no other info is given. Thus, this statement alone is insufficient.

Combining both (I) and (II):

From (II) we know, speed of B for 1st hr= 110km/hr
From (I) we can derive, speed of A for 1st hr= 110 + 40 = 150km/hr.

Now, from the main statement of the question, we know that both the trains running for the same duration have a difference of 80kms.
This is possible in many ways, eg: both ran with the constant speeds afterwards, thus taking time of 2 hours; or both running at their half speeds afterwards, taking time of 3 hours and so on. Although, the final distance remains the same, time can vary greatly. And to calculate Avg speed, definite distance and time are required.

Thus, even after combining both (I) and (II) we don't know the actual time taken by A to cover the whole distance of 300 km. Hence, both statements (I) and (II) together are insufficient.
Therefore, the answer is option (E)
User avatar
OmerKor
Joined: 24 Jan 2024
Last visit: 20 Jan 2026
Posts: 127
Own Kudos:
152
 [1]
Given Kudos: 150
Location: Israel
GMAT Focus 1: 675 Q85 V82 DI83
GMAT Focus 1: 675 Q85 V82 DI83
Posts: 127
Kudos: 152
 [1]
1
Kudos
Add Kudos
Bookmarks
Bookmark this Post
And.. here we are.
The day before the last day.
It's time to bring our highest performance.
"Money Time"

OK. Let's get to our analysis of our question:
­
Glance - the Question:
Question: We are dealing here with a Rate (time-distance) problem. 

Rephrase - Reading and Understanding the question:
Given: Okay, we have a lot of information here.
A end its journey when B 80km before the end.
Total distance: 300Km.
[?]: Train A Average speed?
[300km][/Total A time] or [300-80 (220)][/Total B time]

Solve:
(1) first hour => DB (of B) + 40 = DA (of A)
When can think of multy scenarios here:
40 and 80
100 and 140
110 and 150
also, think about where the problem goes. the first hour doesn't lead us to the total time..
so Insufficisent

(2) 110 km (first km) of B was 110 km/h
meaning: B covered 110 km in 1 hour.
Ok.. One might conclude that the all journey was 2 hours because of the average speed of the first hour.
BUT, it is a common misconclusion on GMAT!
We cannot infer that.
Insufficisent

(1)+(2)
As we saw on statement (2), We have information only upon the first hour.
The first hour CANNOT by it self give us the total time and from that to infer the Average speed.
Therefore Insufficisent

Our Answer is E


THE END
I hope you liked the explanation, I have tried my best here.
Let me know if you have any questions about this question or my explanation.
User avatar
Abhijeet24
Joined: 06 Apr 2023
Last visit: 23 Feb 2025
Posts: 48
Own Kudos:
Given Kudos: 30
GMAT Focus 1: 615 Q83 V79 DI80
GPA: 3.94
Products:
GMAT Focus 1: 615 Q83 V79 DI80
Posts: 48
Kudos: 54
Kudos
Add Kudos
Bookmarks
Bookmark this Post
Bunuel
Train A and Train B each departed simultaneously from Liverpool heading to London, which is 300 kilometers away. When Train A reached the destination, Train B still had 80 kilometers left to cover. What was Train A's average speed during this journey?

(1) During the first hour, Train B covered 40 kilometers less than Train A.

(2) Train B's average speed for the first 110 kilometers was 110 kilometers per hour.

A. Statement (1) ALONE is sufficient, but statement (2) alone is not sufficient to answer the question asked.
B. Statement (2) ALONE is sufficient, but statement (1) alone is not sufficient to answer the question asked.
C. BOTH statements (1) and (2) TOGETHER are sufficient to answer the question asked, but NEITHER statement ALONE is sufficient to answer the question asked.
D. EACH statement ALONE is sufficient to answer the question asked.
E. Statements (1) and (2) TOGETHER are NOT sufficient to answer the question asked, and additional data specific to the problem are needed.

 


This question was provided by GMAT Club
for the GMAT Club Olympics Competition

Win over $30,000 in prizes such as Courses, Tests, Private Tutoring, and more

 

­
 ­
­When Train A covers 300 Km distance, Train B covers 300-80 = 220. So, when Train A covers 150 Km distance, Train B covers 220/2= 110 km...................................(1)

Statement 1; During the first hour, Train B covered 40 kilometers less than Train A.
And we can know from above that it is case when train A covers half distance. means the total journey of Train A is of 2 hrs. So, Train A average speed = 150 Km/hr
This statement is sufficient.

Statement 2: Train B's average speed for the first 110 kilometers was 110 kilometers per hour. Means when Train A covers 150 Km. in that 1 hour.
and rest 150 in the next hour. So, Train A average speed = 150 Km/hr
This statement is sufficient.

Answer: (D) EACH statement ALONE is sufficient to answer the question asked.
 
avatar
DG1989
Joined: 16 Feb 2023
Last visit: 24 Dec 2024
Posts: 140
Own Kudos:
Given Kudos: 9
Location: India
Concentration: Finance, Technology
Schools: Kellogg '26
GPA: 4
Schools: Kellogg '26
Posts: 140
Kudos: 314
Kudos
Add Kudos
Bookmarks
Bookmark this Post
­Train A and Train B each departed simultaneously from Liverpool heading to London, which is 300 kilometers away. When Train A reached the destination, Train B still had 80 kilometers left to cover. What was Train A's average speed during this journey?

(1) During the first hour, Train B covered 40 kilometers less than Train A.
(2) Train B's average speed for the first 110 kilometers was 110 kilometers per hour.

Solution: Given that,
Total distance traveled by Train A = 300 kms
Total distance traveled by Train B = 220 kms

Let's assume
  • Average speed of Train A = x
  • Average speed of Train B = y

Statement 1: During the first hour, Train B covered 40 kilometers less than Train A
As, Distance = speed * time 
In one hour, y = x - 40  ------ (1)

Since Train A and Train B traveled for the same amount of time, let t be the time that both trains traveled.
Then, x * t = 300
y * t = 220
From (1)
(x - 40) * t = 220
x * t - 40t = 220
40t = 300 - 220
t = 2
Thus, x = 150 km/hr
SUFFICIENT

Statement 2: Train B's average speed for the first 110 kilometers was 110 kilometers per hour
This is not sufficient information as we don't know anything about the average speed for the rest of the journey. We cannot calculate the total run time of Train B using which we could have calculated the run time and average speed of Train A.
INSUFFICIENT

The correct answer is Option A
 ­
User avatar
GuadalupeAntonia
User avatar
Yale Moderator
Joined: 04 May 2024
Last visit: 26 Apr 2026
Posts: 59
Own Kudos:
Given Kudos: 22
Location: Mexico
GMAT Focus 1: 665 Q84 V83 DI80
GPA: 3.5
GMAT Focus 1: 665 Q84 V83 DI80
Posts: 59
Kudos: 66
Kudos
Add Kudos
Bookmarks
Bookmark this Post
ANS D

TOTAL DISTANCE COVER BY EACH TRAIN= 300KM
VA=Average Speed of Train A
VB= Average Speed of Train B
TA= Time taken Train A to cover 300km (From Liverpool to London)
TB= Time taken Train B to cover 300km (From Liverpool to London)
v=d/t
d=v*t

VA*TA=VB*TB=300 KM (EQ1)
When Train A arrived London Train B is missing 80km, that means that in TA Train B covered 220km (300-80=220km)
so
220KM=VB*TA
VB=220KM/TA (EQ2)

(1) During the first hour, Train B covered 40 kilometers less than Train A.
d=vt
VA*(1 hour)-40km= VB*(1 hora)
VA-40=VB

Then we substitude in EQ2
VB=220KM/TA (EQ1)
VA-40=220KM/TA
VA*TA-40*TA=220 KM

Remember thar VA*TA=VB*TB=300 KM (EQ1)

300-40TA=220
80=40TA
TA=2 HOURS

SUFFICIENT
VA=300KM/2HOUR=150KM/HOUR

(2) Train B's average speed for the first 110 kilometers was 110 kilometers per hour.

VB=110KM/HOUR
Then we substitude in EQ2
110KM/HOUR=220KM/TA (EQ1)
TA=220KM/110KM/HOUR= 2 HOURS

SUFFICIENT
VA=300KM/2HOUR=150KM/HOUR

AND LETTER D
User avatar
AviNFC
Joined: 31 May 2023
Last visit: 10 Apr 2026
Posts: 306
Own Kudos:
366
 [1]
Given Kudos: 5
Posts: 306
Kudos: 366
 [1]
1
Kudos
Add Kudos
Bookmarks
Bookmark this Post
(1) During the first hour, Train B covered 40 kilometers less than Train A.

Let in first hour, A runs at 200 kph & B at 160 kph. So 40 km diff in first hour.
Let in second hour, A runs at 100kph, & B at 60kph..Then Avj spped of A =300/2 =150kph
However, if in second hour B runs 50 kph , B at 40 kph, and in 3rd hour A at 50 kph & B at 20 kph, Avj speed of A= 300/3 = 100 kph

INSUFFICIENT

(2) Train B's average speed for the first 110 kilometers was 110 kilometers per hour.
So, B runs at 110kph in first hour. Let it continue at same speed. So in 2 hours B covers 220 km.
If A is running at 150 kph, then A completes in 2hr..then avj speed of A =300/2=150 KPH
But if B slows down after first hour to 50,40,20 kph & completes the 220 km in 4 hr
& A slows down to 50, 50,50 kph and completes the 300km in 4 hours, then Avj speed = 300/4

INSUFFICIENT

Together, this says the same thing. A speed is 150 kph & B is 110 kph in first hour. If A journey completes in 2 hr, then A's speed = 150 kph, if in 4 hours, then 300/4 kph

Answer E­
User avatar
Milkyway_28
Joined: 23 May 2024
Last visit: 19 Apr 2025
Posts: 50
Own Kudos:
57
 [1]
Given Kudos: 71
Location: Kazakhstan
Posts: 50
Kudos: 57
 [1]
1
Kudos
Add Kudos
Bookmarks
Bookmark this Post
This question is not as straightforward as it seems. The basic information we are given is that Train A and Train B left for London from Liverpool at the same time. The distance from Liverpool to London is 300km. Train A reached the destination while Train B had 80km left. We are asked what the average speed of Train A was.

Statement (1) "During the first hour, Train B covered 40 kilometers less than Train A."

At first glance this looks like it's enough to answer the question. If there were 80km between Train A and Train B when Train arrived to London, and now there are 40km between Train B and Train A in the first hour, we might be tempted to say that it took Train A 2 hours to travel 300km, meaning it travelled at 150 km/h however, this is not the case. We have no indication of time in the question. It also does not say that either Train A or Train B travelled at a constant speed. Without the average speed and no indication of time, we cannot answer this question. 

(2) "Train B's average speed for the first 110 kilometers was 110 kilometers per hour."

That is all well and good. Now we know that Train B travelled for 1 hour at 110km per hour, but that doesn't help in answering the question. We have no information on the speed for the second part of the journey and no information regarding time. This is not enough to answer the question.

The two statements together are not much help either. Based of the information of the two statements, we can say that Train B travelled 110 kilometers in 1 hour, and that Train B travelled 150 kilometers in that same hour. Great, but we have absolutely no idea what the rest of the journey looked like apart from the fact that Train B still had 80 kilometers left at the time when Train A arrived to London. Both trains could have stopped in the middle of their tracks to have some tea. They could have travelled at 15km/h and 11 k/h. Train B could have arrived to 80km short of London at the speed of light and just stopped, and then Train A could have gone. In order to calculate Train A's average speed, we need the distance, which we have and time. However, only a portion of the time is given and there is no way of knowing what the total time for the journey was.

Both statements together are not sufficient. 

Answer is E
Bunuel
Train A and Train B each departed simultaneously from Liverpool heading to London, which is 300 kilometers away. When Train A reached the destination, Train B still had 80 kilometers left to cover. What was Train A's average speed during this journey?

(1) During the first hour, Train B covered 40 kilometers less than Train A.

(2) Train B's average speed for the first 110 kilometers was 110 kilometers per hour.

A. Statement (1) ALONE is sufficient, but statement (2) alone is not sufficient to answer the question asked.
B. Statement (2) ALONE is sufficient, but statement (1) alone is not sufficient to answer the question asked.
C. BOTH statements (1) and (2) TOGETHER are sufficient to answer the question asked, but NEITHER statement ALONE is sufficient to answer the question asked.
D. EACH statement ALONE is sufficient to answer the question asked.
E. Statements (1) and (2) TOGETHER are NOT sufficient to answer the question asked, and additional data specific to the problem are needed.

 


This question was provided by GMAT Club
for the GMAT Club Olympics Competition

Win over $30,000 in prizes such as Courses, Tests, Private Tutoring, and more

 

­
 ­
­
User avatar
RIqO
Joined: 11 Feb 2023
Last visit: 11 Oct 2024
Posts: 14
Own Kudos:
Given Kudos: 2
Posts: 14
Kudos: 19
Kudos
Add Kudos
Bookmarks
Bookmark this Post
Train A and Train B each departed simultaneously from Liverpool heading to London, which is 300 kilometers away. When Train A reached the destination, Train B still had 80 kilometers left to cover. What was Train A's average speed during this journey?

(1) During the first hour, Train B covered 40 kilometers less than Train A.

(2) Train B's average speed for the first 110 kilometers was 110 kilometers per hour

From 1st statement:
Both trains take similar time (t) to cover distance of 300km for train A, and 220km for train B.
Therefore, speed for train A = 300/t
and for train B = 220/t
In the 1st hour, B trvels 220/t*1 Km and A travels 300/t*1km
We have 300/t*1km = 220/t*1km+40km (40km= distance train A is ahead of B in 1hr travel by both)
Therefore: t becomes 2 hours which indicates that speed for A is 300/2 = 150Km/H SUFFICIENT

Statement 2: Only gives speed for the first 110 Km, we don't know anything else- NOT SUFFIECEINT
User avatar
xrafael.juniorx
Joined: 15 Nov 2023
Last visit: 29 Aug 2024
Posts: 2
Own Kudos:
3
 [1]
Posts: 2
Kudos: 3
 [1]
1
Kudos
Add Kudos
Bookmarks
Bookmark this Post
­Staring with the first one:
(1) During the first hour, Train B covered 40 kilometers less than Train A. > It does not offer us the total speed or time. Thus we could say that A could be 100km/h and B 60km/h or say that A did 90km/h and B 50km/h.
Eliminate A and D.
Moving to the second one:
(2) Train B's average speed for the first 110 kilometers was 110 kilometers per hour. > The issue here is that we cannot affirm that train B kept the same speed over the course of the journey. Eliminate B.

C is tempting, cause if we know (1) and (2), we know that during the first hour, train A went at 150km/h, while train B at 110km/h. Meaning that if they continue in this speed for the second hour, it would be sufficient. But we do not know if they kept the same speed, thus eliminating C.

Answer is E. 
User avatar
pranjalshah
Joined: 11 Dec 2023
Last visit: 04 Feb 2026
Posts: 103
Own Kudos:
133
 [1]
Given Kudos: 202
Location: India
Concentration: Operations, General Management
GMAT Focus 1: 735 Q90 V87 DI82
GMAT Focus 1: 735 Q90 V87 DI82
Posts: 103
Kudos: 133
 [1]
1
Kudos
Add Kudos
Bookmarks
Bookmark this Post
Answer: E

Note: We are not given that the speed of train A and B are uniform. Therefore I've solved the question accordingly.

Let average speeds of A and B be Va and Vb.

Distance covered by A in T time = 300km
and Distance covered by B in the same time = 220Km

(1) During the first hour, Train B covered 40 kilometers less than Train A.

As time = 1hr, therefore the distances covered by Train A and B will be their respective speeds (km/hr)

Therefore, given da=db+40
or, Va1=Vb1+40.
Without further information, we cannot proceed further.

(2) Train B's average speed for the first 110 kilometers was 110 kilometers per hour.

So train B travelled 110km in 1 hour. The remaining 110km could have been travelled at any speed. So, we don't know the total time to reach 220km.

(1) and (2) together:

Train B covers 110km, Train A covers (110+40) = 150km
Average speed of A and B for the first hour = 150,110km/hr respectively.
But we still don't know what happened after that. It could be possible that both trains took 1 hour more to complete the remaining 150 and 110 km respectively. Or they could have taken 2 hours each. We don't know.

Thus, answer is (E) Statements (1) and (2) TOGETHER are NOT sufficient to answer the question asked, and additional data specific to the problem are needed.
User avatar
pianogirl
Joined: 28 Sep 2022
Last visit: 17 Feb 2026
Posts: 47
Own Kudos:
76
 [1]
Given Kudos: 6
Posts: 47
Kudos: 76
 [1]
1
Kudos
Add Kudos
Bookmarks
Bookmark this Post
(1) During the first hour, Train B covered 40 kilometers less than Train A.
This gives us the difference in their speeds for the first hour:
\(v_A−v_B=40\)
The statement (1) is not sufficient.

(2) Train B's average speed for the first 110 kilometers was 110 kilometers per hour.
This gives us the speed of train B for the first 110 kilometers but we don't know anything about the 190 kilometers left.
The statement (2) is not sufficient

Combining Statements (1) and (2) tells us that for the first hour, the speed of train B was 110 km/hour and train A covered 150 km which is half of the total distance. This however still doesn't give us information about the remaining distance. Both statements together are not sufficient.

The right answer is E­
User avatar
sohailasif786
Joined: 13 May 2024
Last visit: 05 Jan 2026
Posts: 43
Own Kudos:
50
 [1]
Given Kudos: 3
Posts: 43
Kudos: 50
 [1]
1
Kudos
Add Kudos
Bookmarks
Bookmark this Post
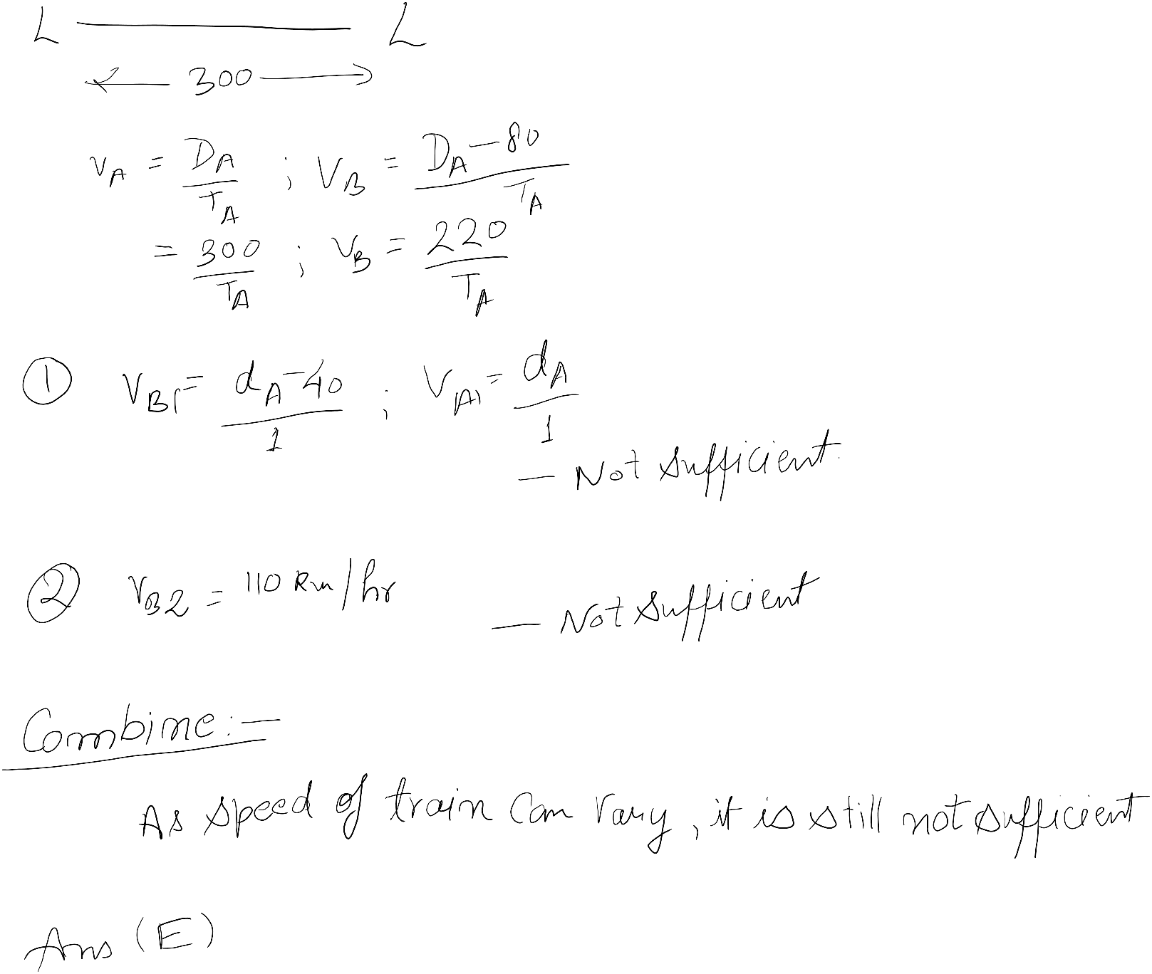
­
Attachment:
GMAT-Club-Forum-xse3bg7h.png
GMAT-Club-Forum-xse3bg7h.png [ 114.36 KiB | Viewed 586 times ]
User avatar
BGbogoss
Joined: 27 Jan 2024
Last visit: 07 Feb 2026
Posts: 38
Own Kudos:
58
 [1]
Given Kudos: 2
Posts: 38
Kudos: 58
 [1]
1
Kudos
Add Kudos
Bookmarks
Bookmark this Post
Statement (1) and (2) bith give only information about the first hour of travel. The rest of the time is unknown. The question tries to trick us into computing their speed with the given information and finding that train A had a speed of 150mph and concluding that when train A arrives train B (travelling at 110mph) would still have 80 miles to cover. But the information provided is only valid for the first hour. Anything after that is unknown. They could've kept their speed and that would give coherent results with the stem but they also could have stopped for a couple hours and travelled after that at the speed of the first hour. In this last scenario, the average speed is much lower but still respects the stem and both statements. So we can't answer the question.

Answer E

Posted from my mobile device
User avatar
busygmatbee1290
Joined: 27 Dec 2023
Last visit: 23 Nov 2025
Posts: 50
Own Kudos:
Given Kudos: 116
Location: India
Concentration: Finance, Strategy
GMAT Focus 1: 755 Q87 V90 DI86
GPA: 10/10
GMAT Focus 1: 755 Q87 V90 DI86
Posts: 50
Kudos: 75
Kudos
Add Kudos
Bookmarks
Bookmark this Post
­(1) During the first hour, Train B covered 40 kilometers less than Train A.
This means that the total travel time for train A was 2 hours and hence train B was 80 kms behind train A. So, train A covered 300 km in 2 hours. Sufficient. 

(2) Train B's average speed for the first 110 kilometers was 110 kilometers per hour.
This means train B covered 220 km in 2 hours and that was the time it took A to cover the entire distance. Just like with statement 1, this is sufficient. 
Option D. 
User avatar
andreagonzalez2k
Joined: 15 Feb 2021
Last visit: 26 Jul 2025
Posts: 307
Own Kudos:
503
 [1]
Given Kudos: 14
Posts: 307
Kudos: 503
 [1]
1
Kudos
Add Kudos
Bookmarks
Bookmark this Post
­The key of this question is that it doesn't say that the trains travel at a CONSTANT speed. So we can't assume it.

To calculate Train A's average speed during the journey we need to know total distance (300 km) and total time that Train A took to travel the journey.

a = Train A's average speed during the entire journey to London
t = Train A's time to take London
b = Train B's average speed during the first 220 km

a=300/t
b=220/t
11a=15b

(1)
a' = Train A's average speed during the first hour
b' = Train B's average speed during the first hour

a'=x
b'=x-40
a'=b'+40

But we don't know how to link a' with a and b' with b.

INSUFFICIENT

(2)
b'' = Train B's average speed during the first 110 km

b''=110

But we don't know how to link b'' with b.

INSUFFICIENT

(1)+(2)
We know that b'=b''=110 and that a'=150.

But still we don't know how to link a' with a and b' with b.

INSUFFICIENT

IMO E
User avatar
FranCifu
Joined: 11 Jun 2024
Last visit: 24 Nov 2024
Posts: 44
Own Kudos:
Given Kudos: 1
Posts: 44
Kudos: 30
Kudos
Add Kudos
Bookmarks
Bookmark this Post
­For sufficiency in this question, we need to either know the speed of A, or the relation with the speed of B

Speed = Distance/Time

St1 --> Insufficient, with this info we know that Sa = Da and Sb=Da-40, but without knowing the distance of A or the Speed of B we can't know the speed
St2 --> Insufficient, it only tells us information about B
Tog --> Sufficient, we know the speed of B and its relation with distance of A

Answer is C
User avatar
nikaro
Joined: 10 Dec 2023
Last visit: 20 Nov 2024
Posts: 178
Own Kudos:
Given Kudos: 42
Location: India
GPA: 4
Products:
Posts: 178
Kudos: 274
Kudos
Add Kudos
Bookmarks
Bookmark this Post
From 1 - we get that Sb=Sa-40 this is insufficient to get Sa
From 2 - Sb = 110 which can be combined with 1 to get Sa=150.
   1   2   3   4   
Moderators:
Math Expert
110678 posts
498 posts
264 posts