Last visit was: 18 Nov 2025, 19:49 It is currently 18 Nov 2025, 19:49
Close
GMAT Club Daily Prep
Thank you for using the timer - this advanced tool can estimate your performance and suggest more practice questions. We have subscribed you to Daily Prep Questions via email.

Customized
for You

we will pick new questions that match your level based on your Timer History

Track
Your Progress

every week, we’ll send you an estimated GMAT score based on your performance

Practice
Pays

we will pick new questions that match your level based on your Timer History
Not interested in getting valuable practice questions and articles delivered to your email? No problem, unsubscribe here.
Close
Request Expert Reply
Confirm Cancel
User avatar
GMATBusters
User avatar
GMAT Tutor
Joined: 27 Oct 2017
Last visit: 14 Nov 2025
Posts: 1,924
Own Kudos:
6,646
 [7]
Given Kudos: 241
WE:General Management (Education)
Expert
Expert reply
Posts: 1,924
Kudos: 6,646
 [7]
2
Kudos
Add Kudos
5
Bookmarks
Bookmark this Post
User avatar
shameekv1989
Joined: 14 Dec 2019
Last visit: 17 Jun 2021
Posts: 820
Own Kudos:
986
 [2]
Given Kudos: 354
Location: Poland
Concentration: Entrepreneurship, Strategy
GMAT 1: 640 Q49 V27
GMAT 2: 660 Q49 V31
GMAT 3: 720 Q50 V38
GPA: 4
WE:Engineering (Consumer Electronics)
Products:
GMAT 3: 720 Q50 V38
Posts: 820
Kudos: 986
 [2]
Kudos
Add Kudos
2
Bookmarks
Bookmark this Post
User avatar
pk123
Joined: 16 Sep 2011
Last visit: 26 Apr 2020
Posts: 109
Own Kudos:
119
 [1]
Given Kudos: 158
Products:
Posts: 109
Kudos: 119
 [1]
1
Kudos
Add Kudos
Bookmarks
Bookmark this Post
User avatar
KhulanE
User avatar
McDonough School Moderator
Joined: 04 Jun 2019
Last visit: 20 Jul 2024
Posts: 156
Own Kudos:
Given Kudos: 102
Location: Mongolia
Concentration: Finance, Technology
GMAT Date: 08-28-2021
GRE 1: Q165 V153
GRE 2: Q167 V151
GPA: 3.7
WE:Securities Sales and Trading (Retail Banking)
GRE 1: Q165 V153
GRE 2: Q167 V151
Posts: 156
Kudos: 160
Kudos
Add Kudos
Bookmarks
Bookmark this Post
From the first formula we can find m+n=mn by simplifying the equation as did below.
a^m*a^n=a^(m+n)
a^(m+n)=a^mn => m+n=mm

Then we try to simplify the problem as did below
m(n-2)+n(m-2)=mn-2m+mn-2m=2mn-2m-2n=2(mn-m-n)=2(mn-(m+n))
As you can see the simplified outcome is 2(mn-(m+n))

Since m+n=mm we can substitute m+n for mn as did below
2(mn-(m+n)=2(mn-mn)=O
So C is right

Posted from my mobile device
User avatar
Raxit85
Joined: 22 Feb 2018
Last visit: 02 Aug 2025
Posts: 767
Own Kudos:
1,177
 [1]
Given Kudos: 135
Posts: 767
Kudos: 1,177
 [1]
1
Kudos
Add Kudos
Bookmarks
Bookmark this Post
a^m.a^n=a^mn
a^(m+n)=a^mn
m+n=mn
m(n-2)+n(m-2)
=mn-2m+mn-2n
=2mn-2(m+n)
=2mn-2mn
=0
Hence, Ans. is C.
avatar
ajaymahadev
Joined: 13 Nov 2019
Last visit: 25 Feb 2020
Posts: 26
Own Kudos:
Given Kudos: 59
Location: India
Concentration: International Business, Marketing
GPA: 4
Posts: 26
Kudos: 11
Kudos
Add Kudos
Bookmarks
Bookmark this Post
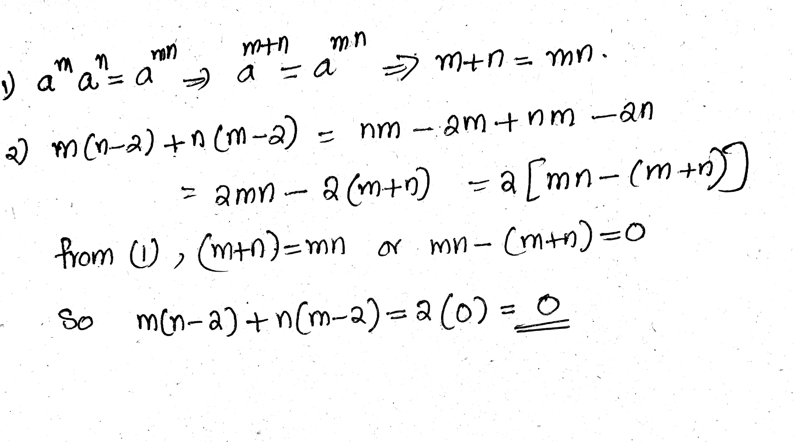
The answer would be 0. This is a pretty easy one.
Attachments

New Doc 2020-02-16 08.09.13_1.jpg
New Doc 2020-02-16 08.09.13_1.jpg [ 132.22 KiB | Viewed 5215 times ]

User avatar
globaldesi
Joined: 28 Jul 2016
Last visit: 03 Jun 2025
Posts: 1,157
Own Kudos:
Given Kudos: 67
Location: India
Concentration: Finance, Human Resources
Schools: ISB '18 (D)
GPA: 3.97
WE:Project Management (Finance: Investment Banking)
Products:
Schools: ISB '18 (D)
Posts: 1,157
Kudos: 1,941
Kudos
Add Kudos
Bookmarks
Bookmark this Post
given
mn = m+n

equation
m(n-2)+n(m-2)
mn-2m +mn-2n
2mn-2(m+n)
from given stmt
2mn -2mn =0
thus C
avatar
aditibarjatya
Joined: 25 Mar 2013
Last visit: 27 Sep 2020
Posts: 11
Given Kudos: 42
Posts: 11
Kudos: 0
Kudos
Add Kudos
Bookmarks
Bookmark this Post
Solution:

Question 1: If \(a^m*a^n = a^{mn}\), what is the value of \(m(n-2)+n(m-2)\)?


LHS = \(a^m*a^n = a^{m + n}\)

RHS = \(a^{mn} \)

By equating both the LHS and RHS, we get: \(a^{m + n} = a^{mn}\) [Equation 1]

Now, in order to find out the value of expression, \(m(n - 2) + n(m - 2)\), we would first expand the expression by removing the parenthesis.

Therefore, \(m(n - 2) + n(m - 2) = mn - 2m + mn - 2n = 2mn - 2(m + n) = 2(mn - m - n)\) [Equation 2]

From Equation 1 we get, \(m + n = mn\) since, base is ''a'' on LHS and RHS.

Thus, \(mn - m - n = 0 \) and by substituting this value in Equation 2 we get: \(2(mn - m - n) = 2*0 = 0\), which is the answer.

Therefore, Option C i.e., 0 is the correct answer of question 1.
User avatar
shridhar786
Joined: 31 May 2018
Last visit: 08 Feb 2022
Posts: 324
Own Kudos:
Given Kudos: 132
Location: United States
Concentration: Finance, Marketing
Posts: 324
Kudos: 1,718
Kudos
Add Kudos
Bookmarks
Bookmark this Post
If a^m*a^n = a^mn, what is the value of m(n-2)+n(m-2)?

a^m*a^n = a^mn

a^(m+n) = a^mn ---(laws of exponent)

from here we get -- (m+n) = mn
now,
m(n-2)+n(m-2) = mn-2m+mn-2n = 2mn-2(m+n) = 2{mn-(m+n)} = 0 (since m+n = mn)

C is the correct answer
User avatar
QuantMadeEasy
Joined: 28 Feb 2014
Last visit: 15 Nov 2025
Posts: 502
Own Kudos:
Given Kudos: 78
Location: India
Concentration: General Management, International Business
GPA: 3.97
WE:Engineering (Education)
Posts: 502
Kudos: 785
Kudos
Add Kudos
Bookmarks
Bookmark this Post
a^m*a^n = a^mn
a^{m+n} = a^mn
m+n = mn

let m=2, n=2
Substituting values of m and n in the expression m(n-2)+n(m-2) = 0

IMO C
avatar
asterias
avatar
Current Student
Joined: 16 Jan 2018
Last visit: 25 Jan 2022
Posts: 6
Own Kudos:
Given Kudos: 91
Posts: 6
Kudos: 34
Kudos
Add Kudos
Bookmarks
Bookmark this Post
GIVEN: \( a^{m} * a^{n} = a^{mn}\)
TO FIND: m(n-2)+n(m-2)

given: \( a^{m} * a^{n} = a^{mn}\)
=> \( a^{m+n} = a^{mn}\)
=> \(m+n = mn \)
=> \(m + n - mn = 0\) --- Eqn. (1)

We have to find the value of:
= \( m(n-2)+n(m-2) \)
= \( mn - 2m + mn - 2n \)
= \( 2mn - 2m - 2n \)
= \(2(mn - m - n)\) --- Eqn. (2)
= \( -2 (m + n - mn) \) {taking -1 as common from the bracket}
= \( -2 ( 0 ) = 0 \) {as we know from Eqn. (1) that: m + n - mn = 0}

Hence, our answer is 0.
User avatar
cantaffordname
Joined: 27 Mar 2019
Last visit: 18 Jul 2025
Posts: 155
Own Kudos:
Given Kudos: 86
Products:
Posts: 155
Kudos: 261
Kudos
Add Kudos
Bookmarks
Bookmark this Post
a^m.a^n=a^mn

a^(m+n)=a^mn

m+n=mn

Let it be equation 1

Now

m(n-2)+n(m-2)

=mn-2m+mn-2n

=2mn-2(m+n)

And from equation 1 (m+n)=mn

=2mn-2mn

=0
User avatar
gmatway
Joined: 01 Dec 2018
Last visit: 05 Dec 2020
Posts: 145
Own Kudos:
Given Kudos: 333
Concentration: Entrepreneurship, Finance
Schools: HBS '21 ISB'22
GPA: 4
WE:Other (Retail Banking)
Schools: HBS '21 ISB'22
Posts: 145
Kudos: 158
Kudos
Add Kudos
Bookmarks
Bookmark this Post
upon solving m(n-2)+n(m-2) we get 2(mn-m-n) =>2(mn - (m+n)) => 2(mn-mn) => ans zero (C)
User avatar
Bunuel
User avatar
Math Expert
Joined: 02 Sep 2009
Last visit: 18 Nov 2025
Posts: 105,355
Own Kudos:
778,086
 [1]
Given Kudos: 99,964
Products:
Expert
Expert reply
Active GMAT Club Expert! Tag them with @ followed by their username for a faster response.
Posts: 105,355
Kudos: 778,086
 [1]
Kudos
Add Kudos
1
Bookmarks
Bookmark this Post
If a^m*a^n = a^(mn), what is the value of m(n-2)+n(m-2)?

A. -1
B. -1/2
C. 0
D. ½
E. 2

There should be some constraints given for a.

If a = 1, then any values of m and n satisfy a^m*a^n = a^(mn).
If a = 0, then any positive values of m and n satisfy a^m*a^n = a^(mn).
If a = -1, also many values of m and n satisfy a^m*a^n = a^(mn). For example, m = n = even.
User avatar
bM22
User avatar
Retired Moderator
Joined: 05 May 2016
Last visit: 17 Jul 2025
Posts: 717
Own Kudos:
Given Kudos: 1,316
Location: India
Products:
Kudos
Add Kudos
Bookmarks
Bookmark this Post
Solution:

a^m*a^n = a^mn => m+n=mn => mn-m-n = 0

for the question asked:

value of mn-2m+mn-2n => 2(mn-m-n) => 0 since mn-m-n = 0;


Answer : 0
User avatar
itspC
Joined: 05 Jul 2017
Last visit: 04 Oct 2025
Posts: 73
Own Kudos:
Given Kudos: 108
Location: India
GMAT 1: 760 Q51 V41 (Online)
GMAT 1: 760 Q51 V41 (Online)
Posts: 73
Kudos: 866
Kudos
Add Kudos
Bookmarks
Bookmark this Post
OK lets do it in within 1 minute.

From the given equation :mn=m+n

-->2(mn-(m+n))=0
So
Ans: (C) 0
User avatar
Fdambro294
Joined: 10 Jul 2019
Last visit: 20 Aug 2025
Posts: 1,350
Own Kudos:
Given Kudos: 1,656
Posts: 1,350
Kudos: 741
Kudos
Add Kudos
Bookmarks
Bookmark this Post
Was just going to write this, but of course the master beat me to it a long time ago 😊

Bunuel
If a^m*a^n = a^(mn), what is the value of m(n-2)+n(m-2)?

A. -1
B. -1/2
C. 0
D. ½
E. 2

There should be some constraints given for a.

If a = 1, then any values of m and n satisfy a^m*a^n = a^(mn).
If a = 0, then any positive values of m and n satisfy a^m*a^n = a^(mn).
If a = -1, also many values of m and n satisfy a^m*a^n = a^(mn). For example, m = n = even.

Posted from my mobile device
User avatar
bumpbot
User avatar
Non-Human User
Joined: 09 Sep 2013
Last visit: 04 Jan 2021
Posts: 38,589
Own Kudos:
Posts: 38,589
Kudos: 1,079
Kudos
Add Kudos
Bookmarks
Bookmark this Post
Hello from the GMAT Club BumpBot!

Thanks to another GMAT Club member, I have just discovered this valuable topic, yet it had no discussion for over a year. I am now bumping it up - doing my job. I think you may find it valuable (esp those replies with Kudos).

Want to see all other topics I dig out? Follow me (click follow button on profile). You will receive a summary of all topics I bump in your profile area as well as via email.
Moderators:
Math Expert
105355 posts
Tuck School Moderator
805 posts