Last visit was: 20 Nov 2025, 07:16 It is currently 20 Nov 2025, 07:16
Close
GMAT Club Daily Prep
Thank you for using the timer - this advanced tool can estimate your performance and suggest more practice questions. We have subscribed you to Daily Prep Questions via email.

Customized
for You

we will pick new questions that match your level based on your Timer History

Track
Your Progress

every week, we’ll send you an estimated GMAT score based on your performance

Practice
Pays

we will pick new questions that match your level based on your Timer History
Not interested in getting valuable practice questions and articles delivered to your email? No problem, unsubscribe here.
Close
Request Expert Reply
Confirm Cancel
555-605 Level|   Inequalities|                  
User avatar
Bunuel
User avatar
Math Expert
Joined: 02 Sep 2009
Last visit: 20 Nov 2025
Posts: 105,420
Own Kudos:
Given Kudos: 99,987
Products:
Expert
Expert reply
Active GMAT Club Expert! Tag them with @ followed by their username for a faster response.
Posts: 105,420
Kudos: 778,519
 [116]
10
Kudos
Add Kudos
104
Bookmarks
Bookmark this Post
Most Helpful Reply
User avatar
Bunuel
User avatar
Math Expert
Joined: 02 Sep 2009
Last visit: 20 Nov 2025
Posts: 105,420
Own Kudos:
Given Kudos: 99,987
Products:
Expert
Expert reply
Active GMAT Club Expert! Tag them with @ followed by their username for a faster response.
Posts: 105,420
Kudos: 778,519
 [65]
35
Kudos
Add Kudos
28
Bookmarks
Bookmark this Post
12
Kudos
Add Kudos
5
Bookmarks
Bookmark this Post
General Discussion
avatar
PPhoenix77
Joined: 09 Jun 2012
Last visit: 22 Apr 2018
Posts: 24
Own Kudos:
33
 [1]
Given Kudos: 46
Location: India
Products:
Posts: 24
Kudos: 33
 [1]
1
Kudos
Add Kudos
Bookmarks
Bookmark this Post
Bunuel
SOLUTION

If xy > 0 and yz < 0, which of the following must be negative?

(A) xyz
(B) xyz^2
(C) xy^2z
(D) xy^2z^2
(E) x^2y^2z^2

Notice that option C is \(x(y^2)z = (xy)(yz) = positive*negative = negative\).

Answer: C.

how we rule out D?
xy^2 z^2 = x (yz)^2
User avatar
Bunuel
User avatar
Math Expert
Joined: 02 Sep 2009
Last visit: 20 Nov 2025
Posts: 105,420
Own Kudos:
Given Kudos: 99,987
Products:
Expert
Expert reply
Active GMAT Club Expert! Tag them with @ followed by their username for a faster response.
Posts: 105,420
Kudos: 778,519
Kudos
Add Kudos
Bookmarks
Bookmark this Post
DestinyGMAT
Bunuel
SOLUTION

If xy > 0 and yz < 0, which of the following must be negative?

(A) xyz
(B) xyz^2
(C) xy^2z
(D) xy^2z^2
(E) x^2y^2z^2

Notice that option C is \(x(y^2)z = (xy)(yz) = positive*negative = negative\).

Answer: C.

how we rule out D?
xy^2 z^2 = x (yz)^2

(D) \(xy^2z^2=x*positive*positive=x*positive\) --> if x is also positive, then \(x*positive=positive\), thus this option is not necessarily negative. For example, consider x=positive, y=positive, and z=negative.

Hope it's clear.
avatar
Henriano
Joined: 20 Aug 2014
Last visit: 16 Oct 2017
Posts: 3
Given Kudos: 7
Posts: 3
Kudos: 0
Kudos
Add Kudos
Bookmarks
Bookmark this Post
Please add some brackets in the answer choices. At first, I got mislead by some of the answer choices in the heat of the moment.
User avatar
Bunuel
User avatar
Math Expert
Joined: 02 Sep 2009
Last visit: 20 Nov 2025
Posts: 105,420
Own Kudos:
Given Kudos: 99,987
Products:
Expert
Expert reply
Active GMAT Club Expert! Tag them with @ followed by their username for a faster response.
Posts: 105,420
Kudos: 778,519
Kudos
Add Kudos
Bookmarks
Bookmark this Post
Henriano
Please add some brackets in the answer choices. At first, I got mislead by some of the answer choices in the heat of the moment.

No brackets are needed there, all is correct. Still formatted to avoid confusion.
User avatar
NoHalfMeasures
User avatar
Retired Moderator
Joined: 29 Oct 2013
Last visit: 11 Jul 2023
Posts: 220
Own Kudos:
2,481
 [1]
Given Kudos: 204
Concentration: Finance
GPA: 3.7
WE:Corporate Finance (Retail Banking)
Posts: 220
Kudos: 2,481
 [1]
1
Kudos
Add Kudos
Bookmarks
Bookmark this Post
Bunuel: could the right answer choice also be- x^p*y^q*z^r where p&r are odd and q is an even integer? Thanks
User avatar
ENGRTOMBA2018
Joined: 20 Mar 2014
Last visit: 01 Dec 2021
Posts: 2,325
Own Kudos:
3,837
 [3]
Given Kudos: 816
Concentration: Finance, Strategy
GMAT 1: 750 Q49 V44
GPA: 3.7
WE:Engineering (Aerospace and Defense)
Products:
GMAT 1: 750 Q49 V44
Posts: 2,325
Kudos: 3,837
 [3]
3
Kudos
Add Kudos
Bookmarks
Bookmark this Post
MensaNumber
Bunuel: could the right answer choice also be- x^p*y^q*z^r where p&r are odd and q is an even integer? Thanks

Let me try to answer your question.

As per your conditions, \(x^p*y^q*z^r\) , p,r are odd and q=even. So in order to look for the combination that MUST be negative, neglect 'y'.

Also from yz<0 and xy>0 you know that x and z will have opposite signs. As both of them are raised to odd powers, the "nature" will remain the same (positive --> positive and negative ---> negative). Thus, 1 of the 2, x and z will be positive and the other will be negative ---> \(x^p*y^q*z^r\) always < 0 for all values of x,y,z.

Hope this helps.
User avatar
mcelroytutoring
Joined: 10 Jul 2015
Last visit: 15 Nov 2025
Posts: 1,204
Own Kudos:
2,644
 [2]
Given Kudos: 282
Status:Expert GMAT, GRE, and LSAT Tutor / Coach
Affiliations: Harvard University, A.B. with honors in Government, 2002
Location: United States (CO)
Age: 45 (10 years and counting on GMAT Club!)
GMAT 1: 770 Q47 V48
GMAT 2: 730 Q44 V47
GMAT 3: 750 Q50 V42
GMAT 4: 730 Q48 V42 (Online)
GRE 1: Q168 V169
GRE 2: Q170 V170
Expert
Expert reply
GMAT 4: 730 Q48 V42 (Online)
GRE 1: Q168 V169
GRE 2: Q170 V170
Posts: 1,204
Kudos: 2,644
 [2]
1
Kudos
Add Kudos
1
Bookmarks
Bookmark this Post
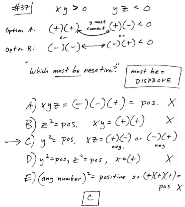
Attached is a visual that should help.
Attachments

Screen Shot 2016-05-05 at 6.44.19 PM.png
Screen Shot 2016-05-05 at 6.44.19 PM.png [ 141.98 KiB | Viewed 37784 times ]

User avatar
JeffTargetTestPrep
User avatar
Target Test Prep Representative
Joined: 04 Mar 2011
Last visit: 05 Jan 2024
Posts: 2,977
Own Kudos:
8,395
 [3]
Given Kudos: 1,646
Status:Head GMAT Instructor
Affiliations: Target Test Prep
Expert
Expert reply
Posts: 2,977
Kudos: 8,395
 [3]
2
Kudos
Add Kudos
1
Bookmarks
Bookmark this Post
Quote:


If xy > 0 and yz < 0, which of the following must be negative?

(A) \(xyz\)
(B) \(x*y*z^2\)
(C) \(x*y^2*z\)
(D) \(x*y^2*z^2\)
(E) \(x^2*y^2*z^2\)

Since xy > 0 and yz < 0, we see the following:

When xy > 0:

x = positive and y = positive

or

x = negative and y = negative

When yz < 0:

y = negative and z = positive

or

y = positive and z = negative

Putting our two statements together:

1) When x is positive, y is positive and z is negative

2) When x is negative, y is negative and z is positive.

Using those two statements, let’s determine which answer choice must be true.

A) Is xyz negative?

Using statement two, we see that xyz does not have to be negative.

B) Is (x)(y)(z^2) negative?

In order for answer choice B to be true, xy must be negative. However, both statements one and two prove that xy is not negative.

C) Is (x)(y^2)(z) negative?

In order for answer choice C to be true, xz must be negative. Looking at both statements one and two, we see that in either statement xz is negative. Thus, answer choice C is true. We can stop here.

Answer: C
User avatar
sashiim20
Joined: 04 Dec 2015
Last visit: 05 Jun 2024
Posts: 609
Own Kudos:
1,887
 [1]
Given Kudos: 276
Location: India
Concentration: Technology, Strategy
WE:Information Technology (Consulting)
1
Kudos
Add Kudos
Bookmarks
Bookmark this Post
GMAThirst
If xy > 0 and yz < 0, which of the following must be negative:

A. xyz
B. xy(z^2)
C. x(y^2)z
D. x(y^2)(z^2)
E. (x^2)(y^2)(z^2)

\(xy>0\) ------- (Both \(x\) and \(y\) are either positive or negative. ie; \(x\) and \(y\) have same signs)

\(yz<0\) ------- (\(y\) and \(z\) have different signs)

Lets check the options.

Case one : \(x\) and \(y\) are positive and \(z\) is negative. Square of negative is positive.

A. \(xyz = (positive)(positive)(negative) = negative\)
B. \(xy(z^2) = (positive)(positive)(negative^2) = positive\)
C. \(x(y^2)z = (positive)(positive^2)(negative) = negative\)
D. \(x(y^2)(z^2) = (positive)(positive^2)(negative^2) = positive\)
E. \((x^2)(y^2)(z^2) = (positive^2)(positive^2)(negative^2) = positive\)

Case two: \(x\) and \(y\) are negative and \(z\) is positive. Square of negative is positive.

A. \(xyz = (negative)(negative)(positive) = positive\)
B. \(xy(z^2) = (negative)(negative)(positive^2) = positive\)
C. \(x(y^2)z = (negative)(negative^2)(positive) = negative\)
D. \(x(y^2)(z^2) = (negative)(negative^2)(positive^2) = negative\)
E. \((x^2)(y^2)(z^2) = (negative^2)(negative^2)(positive^2) = positive\)

Question is asking which of the following "must be" negative. From both the cases, we get, C is negative. Hence Answer C.

Answer (C)...
User avatar
JeffTargetTestPrep
User avatar
Target Test Prep Representative
Joined: 04 Mar 2011
Last visit: 05 Jan 2024
Posts: 2,977
Own Kudos:
Given Kudos: 1,646
Status:Head GMAT Instructor
Affiliations: Target Test Prep
Expert
Expert reply
Posts: 2,977
Kudos: 8,395
Kudos
Add Kudos
Bookmarks
Bookmark this Post
GMAThirst
If xy > 0 and yz < 0, which of the following must be negative:

A. xyz
B. xy(z^2)
C. x(y^2)z
D. x(y^2)(z^2)
E. (x^2)(y^2)(z^2)

SInce xy > 0:

x = pos and y = pos

OR

x = neg and y = neg

SInce yz < 0:

y = neg and z = pos

OR

y = pos and z = neg

Thus, we have two scenarios:

1) x = pos, y = pos, and z = neg

2) x = neg, y = neg, and z = pos

Since y^2 is always positive regardless of whether y is positive or negative, we see that the product of x and z will always be negative, and thus x(y^2)z will always be negative.

Answer: C
User avatar
Abhishek009
User avatar
Board of Directors
Joined: 11 Jun 2011
Last visit: 18 Jul 2025
Posts: 5,934
Own Kudos:
Given Kudos: 463
Status:QA & VA Forum Moderator
Location: India
GPA: 3.5
WE:Business Development (Commercial Banking)
Posts: 5,934
Kudos: 5,329
Kudos
Add Kudos
Bookmarks
Bookmark this Post
Bunuel
If xy > 0 and yz < 0, which of the following must be negative?


(A) \(xyz\)

(B) \(x*y*z^2\)

(C) \(x*y^2*z\)

(D) \(x*y^2*z^2\)

(E) \(x^2*y^2*z^2\)

Comparing \(xy > 0\) and \(yz < 0\) we can certainly say that -

\(y < 0\) , ie y must be -ve as \(yz < 0\) , further since \(xy > 0\) ie +ve , \(x\) must be -ve as well....

Hence we have, \(x = y =\) -ve and \(z\) is +ve

(A) \(-*-*+ = +\)

(B) \(-*-*+^2 = +\)

(C) \(-*-^2*+ = -\)

(D) \(-*-^2*+^2 = +\)

(E) \(-^2*-^2*+^2 = +\)

Clearly, Answer will be (C)
User avatar
satish_sahoo
Joined: 02 Jul 2023
Last visit: 21 Jul 2025
Posts: 156
Own Kudos:
Given Kudos: 162
Posts: 156
Kudos: 161
Kudos
Add Kudos
Bookmarks
Bookmark this Post
Bunuel
SOLUTION

If xy > 0 and yz < 0, which of the following must be negative?

(A) \(xyz\)
(B) \(x*y*z^2\)
(C) \(x*y^2*z\)
(D) \(x*y^2*z^2\)
(E) \(x^2*y^2*z^2\)

Notice that option C is \(x(y^2)z = (xy)(yz) = positive*negative = negative\).

Answer: C.
Hi Bunuel,

I got the right answer but it took me 2 mins here. In your solution when you say notice, do you went and checked all the options from A to C or had a glance at all the options first and then noticed that option C can be re-written in (positive)*(negative) form and then derived at your answer.

I want to learn how to notice such things coz this will save huge amount of time.

Thanks.
User avatar
Bunuel
User avatar
Math Expert
Joined: 02 Sep 2009
Last visit: 20 Nov 2025
Posts: 105,420
Own Kudos:
778,519
 [1]
Given Kudos: 99,987
Products:
Expert
Expert reply
Active GMAT Club Expert! Tag them with @ followed by their username for a faster response.
Posts: 105,420
Kudos: 778,519
 [1]
1
Kudos
Add Kudos
Bookmarks
Bookmark this Post
satish_sahoo
Bunuel
SOLUTION

If xy > 0 and yz < 0, which of the following must be negative?

(A) \(xyz\)
(B) \(x*y*z^2\)
(C) \(x*y^2*z\)
(D) \(x*y^2*z^2\)
(E) \(x^2*y^2*z^2\)

Notice that option C is \(x(y^2)z = (xy)(yz) = positive*negative = negative\).

Answer: C.
Hi Bunuel,

I got the right answer but it took me 2 mins here. In your solution when you say notice, do you went and checked all the options from A to C or had a glance at all the options first and then noticed that option C can be re-written in (positive)*(negative) form and then derived at your answer.

I want to learn how to notice such things coz this will save huge amount of time.

Thanks.

So, we are given information about xy and yz. I quickly glanced through the options to see if any of them could be broken down into these known terms. Option C was the only one that fit, making it easy to spot the solution.
User avatar
bumpbot
User avatar
Non-Human User
Joined: 09 Sep 2013
Last visit: 04 Jan 2021
Posts: 38,600
Own Kudos:
Posts: 38,600
Kudos: 1,079
Kudos
Add Kudos
Bookmarks
Bookmark this Post
Hello from the GMAT Club BumpBot!

Thanks to another GMAT Club member, I have just discovered this valuable topic, yet it had no discussion for over a year. I am now bumping it up - doing my job. I think you may find it valuable (esp those replies with Kudos).

Want to see all other topics I dig out? Follow me (click follow button on profile). You will receive a summary of all topics I bump in your profile area as well as via email.
Moderators:
Math Expert
105420 posts
Tuck School Moderator
805 posts