Bunuel
There are x children at a birthday party, who will be seated at two different tables. At the table with the birthday cake on it, exactly y children will be seated, including the birthday girl Sally. How many different groups of children may be seated at the birthday cake table?
A. \(\frac{(x-1)!}{(y-1)!(y-1)!}\)
B. \(\frac{x!}{y!(x-y)!}\)
C. \(\frac{y!}{x!(x-y)!}\)
D. \(\frac{(y-1)!}{(x-y)!(y-1)!}\)
E. \(\frac{(x-1)!}{(x-y)!(y-1)!}\)
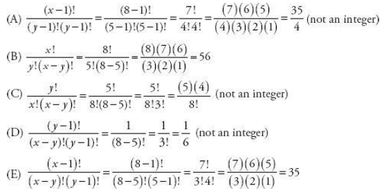
MANHATTAN GMAT OFFICIAL SOLUTION:This is a VICs problem, so we can pick numbers and test the answer choices:
x = 8
y = 5
There are 8 children at the party, and 5 will sit at the table with the cake. Sally must sit at the birthday cake table, so we must pick 5 – 1 = 4 of the other 8 – 1 = 7 children to sit at that table with her. How many different ways can we choose 4 from a group of 7? Let's set up an anagram grid, where Y means “at the cake table” and N means “at the other table.”

Now we can calculate the number of possible groups: \(\frac{7!}{4!3!}=35\)
Our target answer is 35. Now we can test each answer choice by plugging in x = 8 and y = 5:
Only choice E results in the target number.As an alternative to testing all five choices, we could have set up a formula using our selected numbers, then stopped to think about where those numbers originated.
The number of possible groups was \(\frac{7!}{4!3!}=35\), but remember that this formula took Sally into account.
The 7 came from 8 – 1 = x – 1.
The 4 came from 5 – 1 = y – 1.
The 3 came from the difference between these numbers: 7 – 4 = (x – 1) – (y – 1) = (x – y).
Substituting these variable expressions in place of the numbers, we get \(\frac{7!}{4!3!}=\frac{(x-1)!}{(x-y)!(y-1)!}\).
The correct answer is E.Attachment:
2015-06-08_1648.png [ 14.61 KiB | Viewed 11089 times ]
Attachment:
2015-06-08_1648_001.png [ 82.67 KiB | Viewed 11109 times ]