Last visit was: 23 Apr 2026, 08:49 It is currently 23 Apr 2026, 08:49
Close
GMAT Club Daily Prep
Thank you for using the timer - this advanced tool can estimate your performance and suggest more practice questions. We have subscribed you to Daily Prep Questions via email.

Customized
for You

we will pick new questions that match your level based on your Timer History

Track
Your Progress

every week, we’ll send you an estimated GMAT score based on your performance

Practice
Pays

we will pick new questions that match your level based on your Timer History
Not interested in getting valuable practice questions and articles delivered to your email? No problem, unsubscribe here.
Close
Request Expert Reply
Confirm Cancel
Sub 505 (Easy)|   Work and Rate Problems|                              
User avatar
rite2deepti
Joined: 02 Sep 2010
Last visit: 29 May 2011
Posts: 32
Own Kudos:
407
 [135]
Given Kudos: 16
Concentration: International Business, finance
WE 1: Business Development Manger
WE 2: Assistant Manager-Carbon Trading
WE 3: Manager-Carbon Trading
Posts: 32
Kudos: 407
 [135]
11
Kudos
Add Kudos
124
Bookmarks
Bookmark this Post
Most Helpful Reply
User avatar
Abhishek009
User avatar
Board of Directors
Joined: 11 Jun 2011
Last visit: 17 Dec 2025
Posts: 5,903
Own Kudos:
5,452
 [40]
Given Kudos: 463
Status:QA & VA Forum Moderator
Location: India
GPA: 3.5
WE:Business Development (Commercial Banking)
Posts: 5,903
Kudos: 5,452
 [40]
15
Kudos
Add Kudos
25
Bookmarks
Bookmark this Post
avatar
cubicleboundmisfit
Joined: 30 Nov 2010
Last visit: 01 Dec 2010
Posts: 2
Own Kudos:
20
 [19]
Posts: 2
Kudos: 20
 [19]
12
Kudos
Add Kudos
7
Bookmarks
Bookmark this Post
General Discussion
User avatar
vaibhavtripathi
Joined: 04 Oct 2010
Last visit: 09 Oct 2015
Posts: 67
Own Kudos:
223
 [10]
Given Kudos: 9
Status:I rest, I rust.
Concentration: IT Major
Schools:ISB - Co 2013
GPA: 2.5-3.0
WE 1: IT Professional since 2006
Posts: 67
Kudos: 223
 [10]
7
Kudos
Add Kudos
3
Bookmarks
Bookmark this Post
Inlet 1 fills x/6 in 1 hour
inlet 2 fills (2x/3)/6 = x/9 in 1 hour

so together in 1 hour they will fill x/6 + x/9 = 5x/18
which means to fill 5x/18 it takes 1 hour => to fill x it will take 18/5=3.6 hrs
User avatar
CounterSniper
Joined: 20 Feb 2015
Last visit: 14 Apr 2023
Posts: 611
Own Kudos:
859
 [3]
Given Kudos: 74
Concentration: Strategy, General Management
Posts: 611
Kudos: 859
 [3]
3
Kudos
Add Kudos
Bookmarks
Bookmark this Post
pipe 1 = 1/6 an hour
pipe 2 = 1/9 an hour

Total time taken =1/6 + 1/9 =3.6 Hours
User avatar
m2k
Joined: 03 Sep 2015
Last visit: 27 Nov 2015
Posts: 9
Own Kudos:
66
 [5]
Given Kudos: 14
Status:GMAT1:520 Q44 V18
Location: United States
Concentration: Strategy, Technology
WE:Information Technology (Computer Software)
Posts: 9
Kudos: 66
 [5]
5
Kudos
Add Kudos
Bookmarks
Bookmark this Post
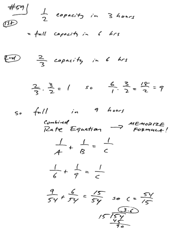
Tank A does 1/2 in 3 hrs so we can fine for full capacity it would take 6 hrs.
Similarly , Tank B takes 2/3rd of tank to be filled in 6 hrs so it would fill to full capacity in 6/(2/3) =>18/2 => 9

Now simple work problem states that it would fill the whole tank in :

1/9 + 1/6 = 5/18 unit =>18/5 hrs = 3.6 hrs

Hence Option B
User avatar
M3sSiaH
Joined: 29 Mar 2015
Last visit: 19 Jan 2017
Posts: 69
Own Kudos:
50
 [1]
Given Kudos: 21
Concentration: Strategy, Operations
GMAT 1: 700 Q51 V33
WE:Research (Other)
Products:
1
Kudos
Add Kudos
Bookmarks
Bookmark this Post
Bunuel
Pumping alone at their respective constant rates, one inlet pipe fills an empty tank to 1/2 of capacity in 3 hours and a second inlet pipe fills the same empty tank to 2/3 of capacity in 6 hours. How many hours will it take both pipes, pumping simultaneously at their respective constant rates, to fill the empty tank to capacity?

(A) 3.25
(B) 3.6
(C) 4.2
(D) 4.4
(E) 5.5

Kudos for a correct solution.

Total capacity = C

Rate of 1 = C/6
Rate of 2 = C/9
Combined rate = 5C/18
Time = 18/5 = 3.6 (B)
User avatar
GMATinsight
User avatar
Major Poster
Joined: 08 Jul 2010
Last visit: 23 Apr 2026
Posts: 6,976
Own Kudos:
16,906
 [2]
Given Kudos: 128
Status:GMAT/GRE Tutor l Admission Consultant l On-Demand Course creator
Location: India
GMAT: QUANT+DI EXPERT
Schools: IIM (A) ISB '24
GMAT 1: 750 Q51 V41
WE:Education (Education)
Products:
Expert
Expert reply
Schools: IIM (A) ISB '24
GMAT 1: 750 Q51 V41
Posts: 6,976
Kudos: 16,906
 [2]
1
Kudos
Add Kudos
1
Bookmarks
Bookmark this Post
Bunuel
Pumping alone at their respective constant rates, one inlet pipe fills an empty tank to 1/2 of capacity in 3 hours and a second inlet pipe fills the same empty tank to 2/3 of capacity in 6 hours. How many hours will it take both pipes, pumping simultaneously at their respective constant rates, to fill the empty tank to capacity?

(A) 3.25
(B) 3.6
(C) 4.2
(D) 4.4
(E) 5.5

Kudos for a correct solution.

Time taken by First tank Fill 1/2 the tank = 3 hours
i.e. Time taken by First tank to Fill 1 complete the tank = 6 hours

Time taken by Second tank Fill 2/3 the tank = 6 hours
i.e. Time taken by First tank to Fill 1 complete the tank = (3/2)*6 = 9 hours

in 1 Hour, Both tanks together Fill the tank = (1/6)+(1/9) = 5/18 tank
i.e. Time taken by Both tank to Fill 1 complete the tank = 18/5 hours = 3.6 hours

Answer: option B
User avatar
TeamGMATIFY
Joined: 20 Aug 2015
Last visit: 31 Oct 2016
Posts: 339
Own Kudos:
1,527
 [2]
Given Kudos: 10
Location: India
GMAT 1: 760 Q50 V44
Expert
Expert reply
GMAT 1: 760 Q50 V44
Posts: 339
Kudos: 1,527
 [2]
2
Kudos
Add Kudos
Bookmarks
Bookmark this Post
rite2deepti
Pumping alone at their respective constant rates, one inlet pipe fills an empty tank to 1/2 of capacity in 3 hours and a second inlet pipe fills the same empty tank to 2/3 of capacity in 6 hours. How many hours will it take both pipes, pumping simultaneously at their respective constant rates, to fill the empty tank to capacity?

A. 3.25
B. 3.6
C. 4.2
D. 4.4
E. 5.5

Assume the volume of the container to be 6 Lts
We have assumed 6 because 6 is the LCM of 2 and 3, the denominators of the capacity filled.


Inlet 1: 1/2 of capacity in 3 hours i.e. 3 lts in 3 hours
Hence 1 lts/hour

Inlet 2: 2/3 of capacity in 6 hours i.e. 4 lts in 6 hours
Hence 2/3 lts/hour

Inlet 1 + Inlet 2 combined rate = 6/(1 + 2/3) hours= 6/ (5/3) hours = 18/5 = 3.6 hours
Option B
User avatar
NoHalfMeasures
User avatar
Retired Moderator
Joined: 29 Oct 2013
Last visit: 11 Jul 2023
Posts: 219
Own Kudos:
2,573
 [1]
Given Kudos: 204
Concentration: Finance
GPA: 3.7
WE:Corporate Finance (Retail Banking)
Posts: 219
Kudos: 2,573
 [1]
1
Kudos
Add Kudos
Bookmarks
Bookmark this Post
let c be tank capacity.
Time taken by First pipe to fill 1/2 the tank = 3 hours. So work done in 1 hr= c*{1/(2*3)}= c/6

Time taken by Second pipe to Fill 2/3 the tank = 6 hours. So work done in 1hr= c*{2/(3*6)}=c/9

in 1 Hour, Both tanks together Fill the tank = (1c/6)+(c1/9) = 5c/18
i.e. Time taken by Both tank to Fill 1 complete the tank = 18/5 hours = 3.6 hours

Answer: option B
User avatar
shakticnb
Joined: 30 Aug 2015
Last visit: 15 Dec 2018
Posts: 28
Own Kudos:
66
 [2]
Given Kudos: 368
Concentration: Marketing, Finance
WE:Brand Management (Manufacturing)
Posts: 28
Kudos: 66
 [2]
2
Kudos
Add Kudos
Bookmarks
Bookmark this Post
Time taken by First tank Fill 1/2 the tank = 3 hours
i.e. Time taken by First tank to Fill 1 complete the tank = 6 hours

Time taken by Second tank Fill 2/3 the tank = 6 hours
i.e. Time taken by First tank to Fill 1 complete the tank = (3/2)*6 = 9 hours

in 1 Hour, Both tanks together Fill the tank = (1/6)+(1/9) = 5/18 tank
i.e. Time taken by Both tank to Fill 1 complete the tank = 18/5 hours = 3.6 hours

correct answer .... b
User avatar
mcelroytutoring
Joined: 10 Jul 2015
Last visit: 19 Mar 2026
Posts: 1,206
Own Kudos:
2,675
 [13]
Given Kudos: 282
Status:Expert GMAT, GRE, and LSAT Tutor / Coach
Affiliations: Harvard University, A.B. with honors in Government, 2002
Location: United States (CO)
Age: 45 (10 years and counting on GMAT Club!)
GMAT 1: 770 Q47 V48
GMAT 2: 730 Q44 V47
GMAT 3: 750 Q50 V42
GMAT 4: 730 Q48 V42 (Online)
GRE 1: Q168 V169
GRE 2: Q170 V170
Expert
Expert reply
GMAT 4: 730 Q48 V42 (Online)
GRE 1: Q168 V169
GRE 2: Q170 V170
Posts: 1,206
Kudos: 2,675
 [13]
8
Kudos
Add Kudos
5
Bookmarks
Bookmark this Post
Attached is a visual that should help.
Attachments

Screen Shot 2016-05-10 at 5.50.37 PM.png
Screen Shot 2016-05-10 at 5.50.37 PM.png [ 100.66 KiB | Viewed 65063 times ]

User avatar
EMPOWERgmatRichC
User avatar
Major Poster
Joined: 19 Dec 2014
Last visit: 31 Dec 2023
Posts: 21,777
Own Kudos:
13,047
 [15]
Given Kudos: 450
Status:GMAT Assassin/Co-Founder
Affiliations: EMPOWERgmat
Location: United States (CA)
GMAT 1: 800 Q51 V49
GRE 1: Q170 V170
Expert
Expert reply
GMAT 1: 800 Q51 V49
GRE 1: Q170 V170
Posts: 21,777
Kudos: 13,047
 [15]
8
Kudos
Add Kudos
7
Bookmarks
Bookmark this Post
Hi All,

This question can be solved in a couple of different ways, but it's essentially just a Work Formula question.

Work = (A)(B)/(A+B) where A and B are the respective times it takes for two entities to individually complete a task.

To start, we have to figure out how long it takes each pipe to fill the FULL tank....

First pipe = fills 1/2 the tank in 3 hours... so it fills the FULL tank in 6 hours
Second pipe = fills 2/3 the tank in 6 hours... so it fills the FULL tank in 9 hours

Working together, the two pipes will fill the tank in (6)(9)/(6+9) = 54/15 = 3 9/15 hours = 3.6 hours

Final Answer:
GMAT assassins aren't born, they're made,
Rich
avatar
Shiv2016
Joined: 02 Sep 2016
Last visit: 14 Aug 2024
Posts: 509
Own Kudos:
215
 [2]
Given Kudos: 277
Posts: 509
Kudos: 215
 [2]
2
Kudos
Add Kudos
Bookmarks
Bookmark this Post
Rate= Work/Time

Let total work = x
Inlet pipe 1

Time= 3 hours
Work done= 1/2 *x

Rate= x/2/3= x/6


Inlet pipe 2

Time= 6 hours
Work done= 2/3 of x

Rate= 2x/3/6 = x/9

Combined rate=x/6 + x/9= 5x/18


Again the same formula:

Rate= Work/Time
5x/18= x/Time
Time= x/5x/18= 18/5= 3.6


Another method is to consider the total work as the LCM (2,3) (Denominators)

Total work= 6

Inlet pipe 1
Time= 3
Work done= 1/2 *6= 3

Rate= 3/3= 1


Inlet pipe 2
Time= 6
Work done= 2/3 * 6= 4
Rate= 4/6= 2/3


Combined rate= 1+2/3= 5/3

Work= 6

Time= 6/5/3= 18/5= 3.6
User avatar
ScottTargetTestPrep
User avatar
Target Test Prep Representative
Joined: 14 Oct 2015
Last visit: 23 Apr 2026
Posts: 22,281
Own Kudos:
26,529
 [7]
Given Kudos: 302
Status:Founder & CEO
Affiliations: Target Test Prep
Location: United States (CA)
Expert
Expert reply
Active GMAT Club Expert! Tag them with @ followed by their username for a faster response.
Posts: 22,281
Kudos: 26,529
 [7]
2
Kudos
Add Kudos
5
Bookmarks
Bookmark this Post
rite2deepti
Pumping alone at their respective constant rates, one inlet pipe fills an empty tank to 1/2 of capacity in 3 hours and a second inlet pipe fills the same empty tank to 2/3 of capacity in 6 hours. How many hours will it take both pipes, pumping simultaneously at their respective constant rates, to fill the empty tank to capacity?

A. 3.25
B. 3.6
C. 4.2
D. 4.4
E. 5.5

The rate for the first inlet pipe is (1/2)/3 = 1/6 and the rate for the second pipe is (2/3)/6 = 2/18 = 1/9.

If we let t = the number of hours they work together to fill the empty tank, we have:

(1/6)t + (1/9)t = 1

t/6 + t/9 = 1

Multiplying the entire equation by 18, we have:

3t + 2t = 18

5t = 18

t = 18/5 = 3 ⅗ = 3.6

Answer: B
User avatar
mcelroytutoring
Joined: 10 Jul 2015
Last visit: 19 Mar 2026
Posts: 1,206
Own Kudos:
Given Kudos: 282
Status:Expert GMAT, GRE, and LSAT Tutor / Coach
Affiliations: Harvard University, A.B. with honors in Government, 2002
Location: United States (CO)
Age: 45 (10 years and counting on GMAT Club!)
GMAT 1: 770 Q47 V48
GMAT 2: 730 Q44 V47
GMAT 3: 750 Q50 V42
GMAT 4: 730 Q48 V42 (Online)
GRE 1: Q168 V169
GRE 2: Q170 V170
Expert
Expert reply
GMAT 4: 730 Q48 V42 (Online)
GRE 1: Q168 V169
GRE 2: Q170 V170
Posts: 1,206
Kudos: 2,675
Kudos
Add Kudos
Bookmarks
Bookmark this Post
I have a rather random question for dabral and Bunuel: why can't we use the harmonic mean (average of rates) formula here? Is it sheer coincidence that the answer I am getting (3.75) with this equation is so close to the actual answer (3.6)?

1st pipe rate = 1/6 tank per hour

2nd pipe rate = 1/9 tank per hour

Harmonic mean (average of rates) = #/sum of inverse of rates = 2 / (6 + 9) = (2/15) x 2 = 4/15 per hour. (4/15)x = 1, x = 15/4 = 3.75

Yet the answer is 3.6 with the more traditional (and admittedly easy and straightforward) method. Still, what am I doing wrong? Thanks!
User avatar
JeffTargetTestPrep
User avatar
Target Test Prep Representative
Joined: 04 Mar 2011
Last visit: 05 Jan 2024
Posts: 2,974
Own Kudos:
Given Kudos: 1,646
Status:Head GMAT Instructor
Affiliations: Target Test Prep
Expert
Expert reply
Posts: 2,974
Kudos: 8,710
Kudos
Add Kudos
Bookmarks
Bookmark this Post
Bunuel
Pumping alone at their respective constant rates, one inlet pipe fills an empty tank to 1/2 of capacity in 3 hours and a second inlet pipe fills the same empty tank to 2/3 of capacity in 6 hours. How many hours will it take both pipes, pumping simultaneously at their respective constant rates, to fill the empty tank to capacity?

(A) 3.25
(B) 3.6
(C) 4.2
(D) 4.4
(E) 5.5

We are given that the first inlet pipe fills an empty tank to 1/2 capacity in 3 hours. Since rate = work/time, the rate of the first inlet pipe is (1/2)/3 = 1/6.

We are also given that the second inlet pipe fills the same empty tank to 2/3 capacity in 6 hours. Thus, the rate of the second inlet pipe is (2/3)/6 = 1/9.

We need to determine how many hours it will take both pipes, pumping simultaneously at their respective constant rates, to fill the empty tank to capacity.

If we let t = the time in hours the two inlet pipes are working together, then the work of the first inlet pipe = (1/6)t and the work of the second inlet pipe = (1/9)t.

Since the tank is filled, we can set total work to 1 and create the following equation:

(1/6)t + (1/9)t = 1

Multiplying the entire equation by 18, we obtain:

3t + 2t = 18

5t = 18

t = 18/5 = 3.6

Answer: B
User avatar
BrentGMATPrepNow
User avatar
Major Poster
Joined: 12 Sep 2015
Last visit: 31 Oct 2025
Posts: 6,733
Own Kudos:
36,451
 [2]
Given Kudos: 799
Location: Canada
Expert
Expert reply
Posts: 6,733
Kudos: 36,451
 [2]
1
Kudos
Add Kudos
1
Bookmarks
Bookmark this Post
rite2deepti
Pumping alone at their respective constant rates, one inlet pipe fills an empty tank to 1/2 of capacity in 3 hours and a second inlet pipe fills the same empty tank to 2/3 of capacity in 6 hours. How many hours will it take both pipes, pumping simultaneously at their respective constant rates, to fill the empty tank to capacity?

A. 3.25
B. 3.6
C. 4.2
D. 4.4
E. 5.5

Let's assign a nice value to the volume of the tank. We want a volume that works well with the given information (1/2, 2/3, 3 hours and 6 hours).
So, let's say the tank has a total volume of 18 gallons

One inlet pipe fills an empty tank to 1/2 of capacity in 3 hours
1/2 the tank is 9 gallons.
So, this pipe fills 9 gallons in 3 hours.
So, the RATE of this pipe = 3 gallons per hour

A second inlet pipe fills the same empty tank to 2/3 of capacity in 6 hours
2/3 the tank is 12 gallons.
So, this pipe fills 12 gallons in 6 hours.
So, the RATE of this pipe = 2 gallons per hour

So, the COMBINED rate of BOTH pumps = 3 gallons per hour + 2 gallons per hour = 5 gallons per hour

How many hours will it take both pipes, pumping simultaneously at their respective constant rates, to fill the empty tank to capacity?
We need to pump 18 gallons of water, and the combined rate is 5 gallons per hour
Time = output/rate
= 18/5
= 3.6 hours

Answer: B

Cheers.
Brent
avatar
Shubhi09
Joined: 18 Oct 2019
Last visit: 23 May 2020
Posts: 18
Own Kudos:
Given Kudos: 25
Location: India
Kudos
Add Kudos
Bookmarks
Bookmark this Post
1/2 of capacity in 3 hours

full capacity in 6 hours

---> pump A.


2/3 capacity in 6 hours

(2/3 +1/3) in 6+3 = 9 hours

---> pump B

in 1 hour filled 1/6 +1/9 = 5/18 parts
full in 18/5 hours 3.6 hrs.

Posted from my mobile device
avatar
NishantR
Joined: 14 Aug 2017
Last visit: 24 Sep 2022
Posts: 10
Own Kudos:
4
 [1]
Given Kudos: 11
Posts: 10
Kudos: 4
 [1]
1
Kudos
Add Kudos
Bookmarks
Bookmark this Post
Again a longer solution

What we know
> Tank size is the same hence Tank Size is = 1

Part 1.
>Inflow one takes 3 hrs to fill half
> hence it takes the 6 hrs to fill the tank
> hence it fills @ 1/6 per hour

Part 2
> inflow takes 6 hrs to fill 2/3
> hence the remaining 1/3 will take 3 hrs
> hence 6+3= 9 hrs to fill 100%
> hence it fils @ 1/9 per hour

We solve
(1/9)x + (1/6)x = 1
18*(1/9)x + 18(1/6)x = 1*18
2x+3x = 18
5x = 18
x =18/5
x = 3.6
 1   2   
Moderators:
Math Expert
109778 posts
Tuck School Moderator
853 posts