So I miss-clicked on this one, annoyingly, D instead of Cby accidently

Anyway, here goes my attempt to flex my Harry Potter obsession onto the GMATClub platform:
Firstly, thank you for recognizing us Millennial/Gen-Z cusp oldies of this forum by referencing Harry Potter, but any real potterhead will know that there's no way Hermione has more magic beans than Ron

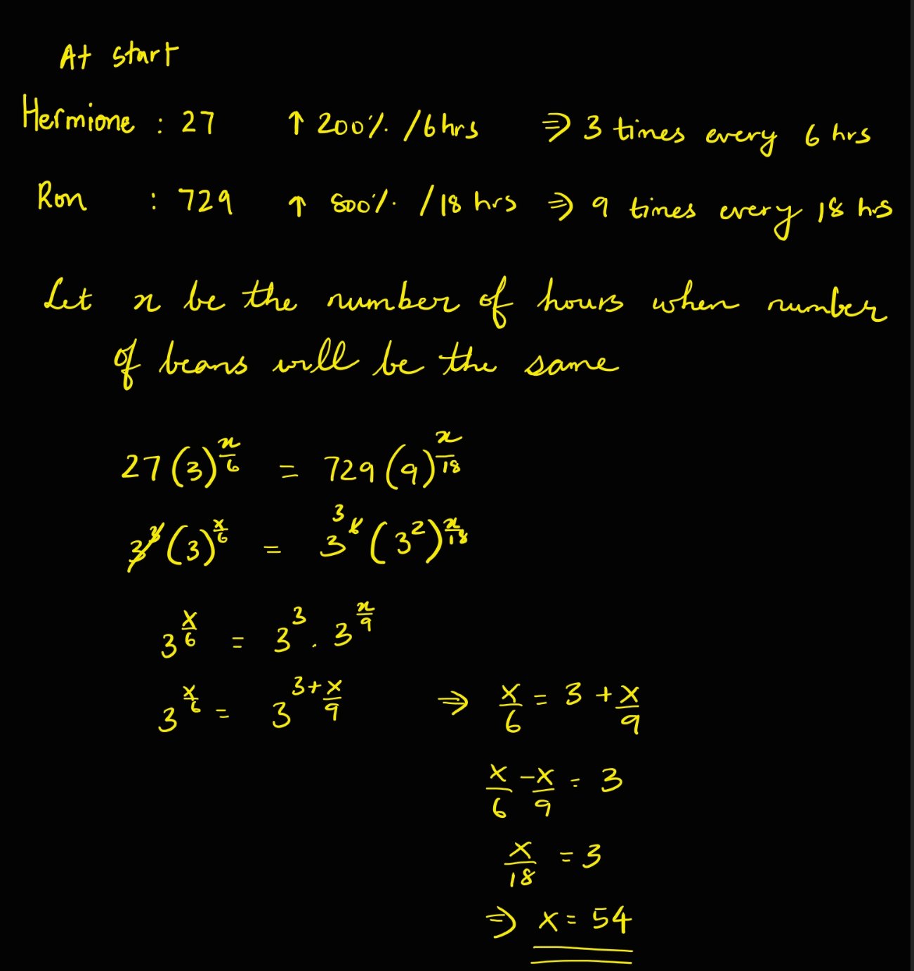
Okay, so we're in Severus Snape's class, somewhere down in the dungeon, and our favorite potionmaster seems to have an affinity with the table of 3. That's the first thing you muggles should recognize in this question

27 = 3^3 and 729 = 3^6.
The second thing we notice is that there's '
increasio-twohundredo' spell being put on the beans, causing them to increase by "200 percent". It's an "increase of 200 percent", so it's essentially a tripling. An increase of 100% is doubling, so we know that Hermione's adding another power to her 3 every 6 hours.
Ron, of course, by virtue of him being not half as good a wizard as Hermione, won't see a 'tripling' every 3 hours, but every 18 hours, he'll sees 800% or a 9 times increase - which just means an increase of 2 powers - 3*3 - to his bean-count. Pretty Ron-like, eh, always being the late bloomer, but blooming nonetheless.
Also, remember, we're looking for the first time they both have the same number of magic beans - that might play in as well.So, here's the progression.
Accio table!
| Hours | 6 | 12 | 18 | 24 | 30 |
| Ron (3^6) | | | 3^8 | | |
| Hermione (3^3) | 3^4 | 3^5 | 3^6 | 3^7 | 3^8 |
The correct answer is 30 hours (C), because that's when Hermione first matches Ron, as Ron'll stay where he is until the 36th hour is complete - so the framing of the sentence did come into play. If you don't account for that, you'll end up at 3^9 at hour 36 for Hermione, and Ron'll be at 3^10, and then only at hour 54 will you be at 3^12 for both.
Expecto Kudos-ium
?Bunuel
At the start of Potions class, Hermione and Ron are each given a magical cauldron. Hermione’s cauldron contains 27 magic beans, and Ron’s contains 729. At the end of every 6 hours, the number of beans in Hermione’s cauldron instantly increases by 200 percent, and at the end of every 18 hours, the number of beans in Ron’s cauldron instantly increases by 800 percent. If no beans are taken from either cauldron, after how many hours from the start of the class will the two cauldrons first contain the same number of beans?
A. 18
B. 27
C. 30
D. 36
E. 54
Gift
12 Days of Christmas Competition
This question is part of our holiday event
Win $40,000 in prizes: courses, tests, and more