Last visit was: 19 May 2026, 07:24 It is currently 19 May 2026, 07:24
Close
GMAT Club Daily Prep
Thank you for using the timer - this advanced tool can estimate your performance and suggest more practice questions. We have subscribed you to Daily Prep Questions via email.

Customized
for You

we will pick new questions that match your level based on your Timer History

Track
Your Progress

every week, we’ll send you an estimated GMAT score based on your performance

Practice
Pays

we will pick new questions that match your level based on your Timer History
Not interested in getting valuable practice questions and articles delivered to your email? No problem, unsubscribe here.
Close
Request Expert Reply
Confirm Cancel
User avatar
GMATCoachBen
Joined: 21 Mar 2017
Last visit: 12 May 2026
Posts: 460
Own Kudos:
3,121
 [198]
Given Kudos: 215
Status:Professional GMAT Trainer
Affiliations: GMAT Coach
Location: United States (WA)
GMAT Focus 1: 775 Q87 V90 DI88 (Online)
GMAT 1: 760 Q50 V44
GMAT 2: 770 Q51 V44
GMAT 3: 770 Q50 V44
GMAT 4: 770 Q50 V45 (Online)
GMAT 5: 780 Q51 V48
Expert
Expert reply
GMAT Focus 1: 775 Q87 V90 DI88 (Online)
GMAT 5: 780 Q51 V48
Posts: 460
Kudos: 3,121
 [198]
25
Kudos
Add Kudos
173
Bookmarks
Bookmark this Post
Most Helpful Reply
User avatar
GMATCoachBen
Joined: 21 Mar 2017
Last visit: 12 May 2026
Posts: 460
Own Kudos:
3,121
 [22]
Given Kudos: 215
Status:Professional GMAT Trainer
Affiliations: GMAT Coach
Location: United States (WA)
GMAT Focus 1: 775 Q87 V90 DI88 (Online)
GMAT 1: 760 Q50 V44
GMAT 2: 770 Q51 V44
GMAT 3: 770 Q50 V44
GMAT 4: 770 Q50 V45 (Online)
GMAT 5: 780 Q51 V48
Expert
Expert reply
GMAT Focus 1: 775 Q87 V90 DI88 (Online)
GMAT 5: 780 Q51 V48
Posts: 460
Kudos: 3,121
 [22]
20
Kudos
Add Kudos
1
Bookmarks
Bookmark this Post
User avatar
krish74_
Joined: 21 Feb 2024
Last visit: 06 Dec 2024
Posts: 1
Own Kudos:
7
 [7]
Given Kudos: 27
Location: India
Posts: 1
Kudos: 7
 [7]
5
Kudos
Add Kudos
2
Bookmarks
Bookmark this Post
General Discussion
User avatar
Oppenheimer1945
Joined: 16 Jul 2019
Last visit: 27 Apr 2026
Posts: 781
Own Kudos:
666
 [4]
Given Kudos: 236
Location: India
GMAT Focus 1: 645 Q90 V76 DI80
GPA: 7.81
3
Kudos
Add Kudos
1
Bookmarks
Bookmark this Post
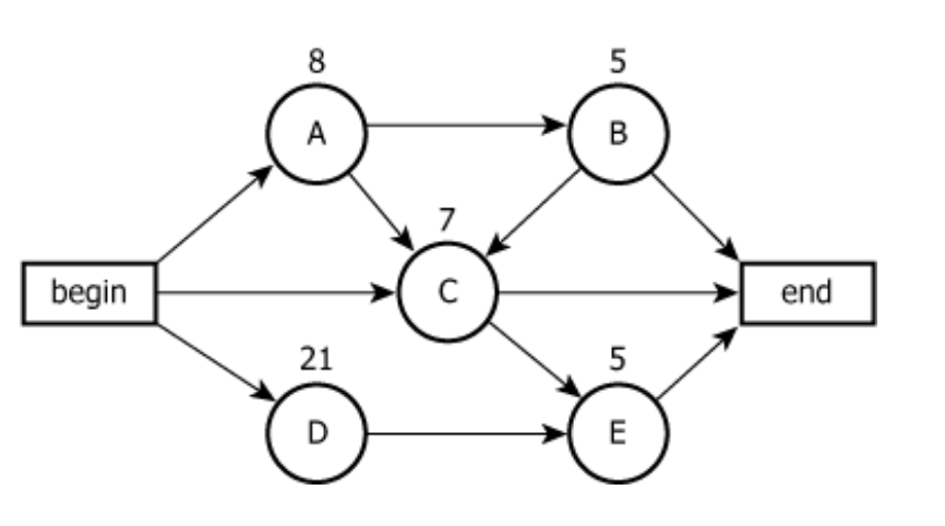
Best is to look out for all paths from Begin to End and sum up no of days.

1) The longest task is route DE: 21+5=26 days

2) The route ACE takes 8+7+1+5=21 days, but this is less than route De(26 days). hence Remains the same
User avatar
whatsarc
Joined: 26 Aug 2023
Last visit: 07 Mar 2026
Posts: 109
Own Kudos:
114
 [1]
Given Kudos: 77
Products:
Posts: 109
Kudos: 114
 [1]
1
Kudos
Add Kudos
Bookmarks
Bookmark this Post
Will there be such questions on the DI Section?
User avatar
Oppenheimer1945
Joined: 16 Jul 2019
Last visit: 27 Apr 2026
Posts: 781
Own Kudos:
Given Kudos: 236
Location: India
GMAT Focus 1: 645 Q90 V76 DI80
GPA: 7.81
Kudos
Add Kudos
Bookmarks
Bookmark this Post
riteshrr
Will there be such questions on the DI Section?
­Highly likely. !
User avatar
kush4
Joined: 25 Feb 2021
Last visit: 24 Jan 2025
Posts: 11
Own Kudos:
2
 [1]
Given Kudos: 112
Location: Canada
Concentration: Operations, General Management
WE:Operations (Manufacturing)
Kudos
Add Kudos
1
Bookmarks
Bookmark this Post
Please guide me with my doubt, it is written the project is complete once all 5 tasks are completed,
So the we have to include all the tasks to complete the project? But there is no way to go through all the tasks because arrows restrict them.­
User avatar
UmerShariff
Joined: 25 Jul 2024
Last visit: 25 Apr 2026
Posts: 5
Own Kudos:
Given Kudos: 57
Location: India
Posts: 5
Kudos: 2
Kudos
Add Kudos
Bookmarks
Bookmark this Post
why cant it be A to B and end i.e 13.
User avatar
bb
User avatar
Founder
Joined: 04 Dec 2002
Last visit: 19 May 2026
Posts: 43,287
Own Kudos:
83,900
 [1]
Given Kudos: 24,708
Location: United States
GMAT 1: 750 Q49 V42
GPA: 3
Products:
Expert
Expert reply
Active GMAT Club Expert! Tag them with @ followed by their username for a faster response.
GMAT 1: 750 Q49 V42
Posts: 43,287
Kudos: 83,900
 [1]
Kudos
Add Kudos
Bookmarks
Bookmark this Post
UmerShariff
why cant it be A to B and end i.e 13.

First sentence of the question: ­A certain assembly project requires the completion of each of 5 tasks.
User avatar
MoPouyan
Joined: 23 Mar 2021
Last visit: 07 Feb 2025
Posts: 16
Own Kudos:
9
 [1]
Given Kudos: 198
Posts: 16
Kudos: 9
 [1]
1
Kudos
Add Kudos
Bookmarks
Bookmark this Post
I've got confused. What does least mean here?

"The least number of days needed to complete the project is --------- days."
User avatar
D3N0
Joined: 21 Jan 2015
Last visit: 17 May 2026
Posts: 585
Own Kudos:
Given Kudos: 132
Location: India
Concentration: Operations, Technology
GMAT 1: 620 Q48 V28
GMAT 2: 690 Q49 V35
WE:Operations (Retail: E-commerce)
Products:
GMAT 2: 690 Q49 V35
Posts: 585
Kudos: 610
Kudos
Add Kudos
Bookmarks
Bookmark this Post
Minimum number of days in which all the 5 tasks would be completed to reach the end from the beginning.
Note: task can be completed simultaneously but the restriction is "prior task has to end before the task at the next node can begin. So basically you are looking to find the path through which you can complete all the tasks in minimum days.
MoPouyan
I've got confused. What does least mean here?

"The least number of days needed to complete the project is --------- days."
User avatar
Run990919
Joined: 11 Jan 2025
Last visit: 22 Mar 2025
Posts: 2
Location: Thailand
Posts: 2
Kudos: 0
Kudos
Add Kudos
Bookmarks
Bookmark this Post
I am quite confused as why task C cannot start right away as there is an arrow pointing from begin to task C "Directly" - same as that to Task A and D
User avatar
bb
User avatar
Founder
Joined: 04 Dec 2002
Last visit: 19 May 2026
Posts: 43,287
Own Kudos:
83,900
 [1]
Given Kudos: 24,708
Location: United States
GMAT 1: 750 Q49 V42
GPA: 3
Products:
Expert
Expert reply
Active GMAT Club Expert! Tag them with @ followed by their username for a faster response.
GMAT 1: 750 Q49 V42
Posts: 43,287
Kudos: 83,900
 [1]
1
Kudos
Add Kudos
Bookmarks
Bookmark this Post
Run990919
I am quite confused as why task C cannot start right away as there is an arrow pointing from begin to task C "Directly" - same as that to Task A and D

Because the question says that the arrows work different from what you expected.

Here’s a quote from the question. Did you see it?

Quote:
For instance, the arrow from Task A to Task C indicates that Task A must be completed before Task C can be started.
User avatar
Run990919
Joined: 11 Jan 2025
Last visit: 22 Mar 2025
Posts: 2
Location: Thailand
Posts: 2
Kudos: 0
Kudos
Add Kudos
Bookmarks
Bookmark this Post
Grateful for your kind response. So does it mean that whether that arrow pointing from 'begin' to 'C' will be available has no effects anyway?
bb
Run990919
I am quite confused as why task C cannot start right away as there is an arrow pointing from begin to task C "Directly" - same as that to Task A and D

Because the question says that the arrows work different from what you expected.

Here’s a quote from the question. Did you see it?

Quote:
For instance, the arrow from Task A to Task C indicates that Task A must be completed before Task C can be started.
User avatar
bb
User avatar
Founder
Joined: 04 Dec 2002
Last visit: 19 May 2026
Posts: 43,287
Own Kudos:
83,900
 [1]
Given Kudos: 24,708
Location: United States
GMAT 1: 750 Q49 V42
GPA: 3
Products:
Expert
Expert reply
Active GMAT Club Expert! Tag them with @ followed by their username for a faster response.
GMAT 1: 750 Q49 V42
Posts: 43,287
Kudos: 83,900
 [1]
1
Kudos
Add Kudos
Bookmarks
Bookmark this Post
Yes. It seems that the arrow doesn’t mean the process but rather dependency so in this case the arrow from begin to C is indeed meaningless.

This is a good mistake to learn so you avoid jumping to conclusions on questions, at least until you read the question fully.
User avatar
bishal128
Joined: 30 May 2025
Last visit: 18 May 2026
Posts: 16
Own Kudos:
Given Kudos: 35
Posts: 16
Kudos: 3
Kudos
Add Kudos
Bookmarks
Bookmark this Post
HakunamaTaTA...great explainer. Thx
GMATCoachBen
­Video solution here:


­
User avatar
JainamS
Joined: 18 Feb 2024
Last visit: 06 Dec 2025
Posts: 10
Own Kudos:
Given Kudos: 10
Posts: 10
Kudos: 3
Kudos
Add Kudos
Bookmarks
Bookmark this Post
(1) The important detail in the question is that "several tasks can be worked on at the same time". So while Tasks A, B & C are done in 20 days combined, Task D can run simultaneously taking 21 days followed by Task E taking 5 days, in total 26 days.

(2) Increasing Task C by 1 day, increases the total days to 21 (for A, B & C combined) which is the same as Task D, and followed by Task E (5 days) - the least no. of days remainds unchanged at 26 days.
User avatar
anchitadiwan
Joined: 26 Mar 2024
Last visit: 31 Oct 2025
Posts: 3
Given Kudos: 5
Posts: 3
Kudos: 0
Kudos
Add Kudos
Bookmarks
Bookmark this Post
Exactly, because A, C, and D started at the same time.
UmerShariff
why cant it be A to B and end i.e 13.
User avatar
Usernamevisible
Joined: 09 Jun 2022
Last visit: 19 May 2026
Posts: 140
Own Kudos:
Given Kudos: 581
Products:
Posts: 140
Kudos: 6
Kudos
Add Kudos
Bookmarks
Bookmark this Post
Arrows indicate prerequisite tasks. For instance, the arrow from Task A to Task C indicates that Task A must be completed before Task C can be started.

E cannot be started unless C is completed
so least number of days become 8+5+7+5 / 21+ 5 - whichever giving 26 as answer
Moderators:
Math Expert
110695 posts
498 posts
266 posts