Last visit was: 01 May 2026, 18:41 It is currently 01 May 2026, 18:41
Close
GMAT Club Daily Prep
Thank you for using the timer - this advanced tool can estimate your performance and suggest more practice questions. We have subscribed you to Daily Prep Questions via email.

Customized
for You

we will pick new questions that match your level based on your Timer History

Track
Your Progress

every week, we’ll send you an estimated GMAT score based on your performance

Practice
Pays

we will pick new questions that match your level based on your Timer History
Not interested in getting valuable practice questions and articles delivered to your email? No problem, unsubscribe here.
Close
Request Expert Reply
Confirm Cancel
User avatar
Toma13
Joined: 08 Nov 2023
Last visit: 02 Jan 2024
Posts: 6
Own Kudos:
484
 [158]
Given Kudos: 2
GMAT Focus 1: 645 Q82 V81 DI82
GMAT Focus 1: 645 Q82 V81 DI82
Posts: 6
Kudos: 484
 [158]
11
Kudos
Add Kudos
147
Bookmarks
Bookmark this Post
Most Helpful Reply
User avatar
gmatophobia
User avatar
Quant Chat Moderator
Joined: 22 Dec 2016
Last visit: 19 Apr 2026
Posts: 3,173
Own Kudos:
11,492
 [39]
Given Kudos: 1,862
Location: India
Concentration: Strategy, Leadership
Posts: 3,173
Kudos: 11,492
 [39]
24
Kudos
Add Kudos
15
Bookmarks
Bookmark this Post
User avatar
Kinshook
User avatar
Major Poster
Joined: 03 Jun 2019
Last visit: 01 May 2026
Posts: 5,991
Own Kudos:
5,865
 [14]
Given Kudos: 163
Location: India
GMAT 1: 690 Q50 V34
WE:Engineering (Transportation)
Products:
GMAT 1: 690 Q50 V34
Posts: 5,991
Kudos: 5,865
 [14]
11
Kudos
Add Kudos
3
Bookmarks
Bookmark this Post
General Discussion
User avatar
MartyMurray
Joined: 11 Aug 2023
Last visit: 01 May 2026
Posts: 1,870
Own Kudos:
7,154
 [6]
Given Kudos: 215
GMAT 1: 800 Q51 V51
Expert
Expert reply
Active GMAT Club Expert! Tag them with @ followed by their username for a faster response.
GMAT 1: 800 Q51 V51
Posts: 1,870
Kudos: 7,154
 [6]
4
Kudos
Add Kudos
2
Bookmarks
Bookmark this Post
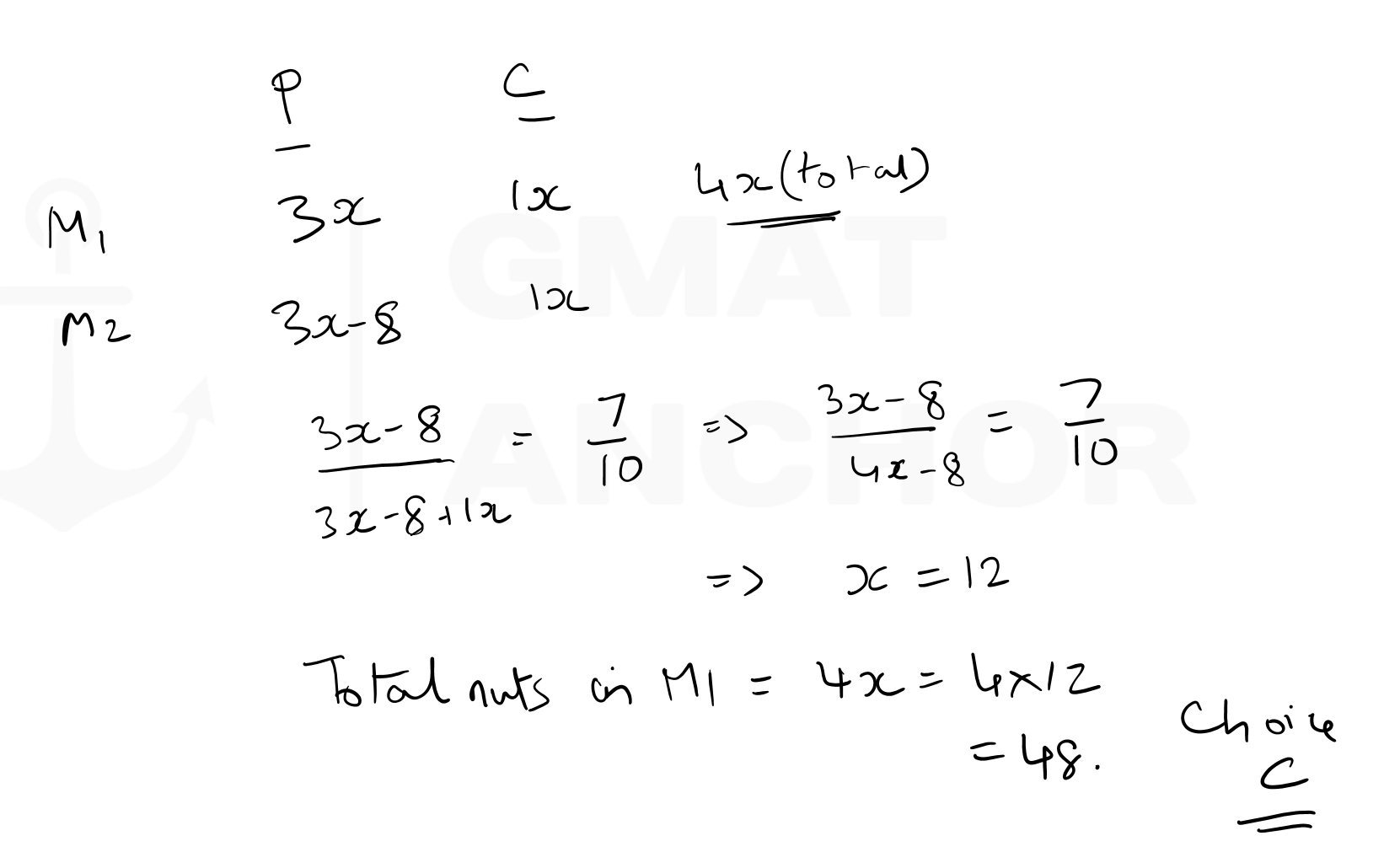
A wholesaler of nuts sells two mixtures of peanuts and cashews. The first mixture is 3/4 peanuts by weight. The second mixture has the same number of pounds of cashews as the first mixture but 8 fewer pounds of peanuts. If 7/10 of the weight of the second mixture is peanuts, how many pounds of nuts are in the first mixture?

One thing that jumps out about this question is that the quantity of cashews is the same in both cases.

A second thing that jumps out is that, if we know the proportion of peanuts in each mixture, we also know the proportion of cashews and the relative proportions of peanuts and cashews in each mixtures.

So, given those two facts, we can base all of our work on the quantity of cashews.

Let \(C\) be the quantity of cashews in both mixtures.

Then, since the first mixture is \(3/4\) peanuts by weight, \(C = 1/4\) of the first mixture. So, the weight of the first mixture is \(4C\).

In the second mixture, peanuts represent \(7/10\) and \(C\) represents \(3/10\). So, the total weight of the second mixture is the following:

\(\frac{7}{3} C + C = \frac{10}{3} C\)

Since the difference between the weights of the mixture is 8 pounds, we have the following:

\(4C - 8 = \frac{10}{3} C\)

\(12C - 24 = 10C\)

\(2C = 24\)

\(C = 12\)

So, the total weight of the first mixture is \(4C = 48\).

Correct Answer
User avatar
liviofrol
Joined: 30 Jan 2019
Last visit: 21 Aug 2024
Posts: 6
Own Kudos:
198
 [10]
Given Kudos: 29
Posts: 6
Kudos: 198
 [10]
8
Kudos
Add Kudos
2
Bookmarks
Bookmark this Post
What are your thoughts on solving with the method? (pure ratio reasoning)

The ratio of the first mixture of Peanuts:Cashews:Total is 3x:1x:4x (given)

The ratio of the second mixture is 7x:3x:10x (given)

1 ) The common ratios between the first and the second mixtures are 9x:3x:12x

2)The difference between the total of the 2 ratios is 8 pounds (given) and 2 ratio units (12x-10x), so:

3)
2x = 8
x = 4

12x = 48

Is not easy to spot right on this reasoning but I think with practice it gets easier.
User avatar
samarpan.g28
Joined: 08 Dec 2023
Last visit: 18 Feb 2026
Posts: 315
Own Kudos:
136
 [4]
Given Kudos: 1,236
Location: India
Concentration: General Management, Human Resources
GPA: 8.88
WE:Engineering (Technology)
3
Kudos
Add Kudos
1
Bookmarks
Bookmark this Post
I have considered that in 1st mixture, Peanut is P pounds, Cashew is C pounds. So the total weight of 1st mixture is P+C pounds.
As per the question, in 1st mixture, (3/4)*(P+C)=P or, P=3C. In 2nd mixture, (P-8+C)*(7/10)=P-8. Substituting P=3C, we can achieve C=12.
Therefore, P=3*12=36. So, 36+12=48 (C).
User avatar
andrewjohn8
Joined: 12 Sep 2023
Last visit: 06 May 2025
Posts: 34
Own Kudos:
563
 [1]
Given Kudos: 628
Location: United States (NC)
GMAT Focus 1: 645 Q80 V88 DI78
WE:Real Estate (Finance)
GMAT Focus 1: 645 Q80 V88 DI78
Posts: 34
Kudos: 563
 [1]
1
Kudos
Add Kudos
Bookmarks
Bookmark this Post
I solved it a bit differently than seen above and I'm wondering if anyone can say if how I did it is repeatable.

3x-8 / 1 = 7x/3

9x - 24 = 7x

2x = 24

x = 12 then multiply 12 by the denominator of nuts in the first mixture. 12 * 4 = 48
User avatar
DreSanson
Joined: 13 Jun 2024
Last visit: 07 Jul 2025
Posts: 6
Own Kudos:
4
 [1]
Given Kudos: 10
Posts: 6
Kudos: 4
 [1]
1
Kudos
Add Kudos
Bookmarks
Bookmark this Post
(3x-8)/(4x-8) = 7/10
30x - 80 = 28x - 56
2x = 24
x = 12

4x = 12*4 = 48
Answer C
User avatar
mcrea
Joined: 21 Jul 2024
Last visit: 28 Mar 2025
Posts: 36
Own Kudos:
15
 [1]
Given Kudos: 517
Posts: 36
Kudos: 15
 [1]
1
Kudos
Add Kudos
Bookmarks
Bookmark this Post
My way:

Say X is total weight of first mixture and Y is total weight of second mixture
Peanuts in X are equal to peanuts in Y plus 8 pounds --> 3X/4 = 7Y/10 + 8
We also know that Y = X-8
Then, 3X/4 = 7*(X-8)/10 + 8 --> x= 48
User avatar
Spectre26
Joined: 20 May 2023
Last visit: 22 Dec 2025
Posts: 104
Own Kudos:
151
 [1]
Given Kudos: 82
Location: India
Concentration: Strategy, Operations
GMAT Focus 1: 645 Q85 V81 DI79
GPA: 8.5/10
WE:Project Management (Manufacturing)
Products:
GMAT Focus 1: 645 Q85 V81 DI79
Posts: 104
Kudos: 151
 [1]
1
Kudos
Add Kudos
Bookmarks
Bookmark this Post
Let wt. of mix I be X,
In mix I, peanuts = 3/4*X, cashew = 1/4*X

Let wt. of mix II be Y,
In mix II, peanuts = 7/10*Y, cashew = 3/10*Y

As per the question in mix II wt of cashew is same as mix I
1/4*X = 3/10*Y
Y = 5/6*X

Also, peanuts in mix II = peanuts in mix I - 8
7/10*Y = 3/4*X - 8
Solvoing this,
X = 48 lbs

Correct Option: C
User avatar
HarshavardhanR
Joined: 16 Mar 2023
Last visit: 01 May 2026
Posts: 498
Own Kudos:
580
 [8]
Given Kudos: 69
Status:Independent GMAT Tutor
Affiliations: Ex - Director, Subject Matter Expertise at e-GMAT
Products:
Expert
Expert reply
Active GMAT Club Expert! Tag them with @ followed by their username for a faster response.
Posts: 498
Kudos: 580
 [8]
8
Kudos
Add Kudos
Bookmarks
Bookmark this Post
­
___
Harsha
Attachment:
GMAT-Club-Forum-0eze6c8q.png
GMAT-Club-Forum-0eze6c8q.png [ 109.43 KiB | Viewed 9229 times ]
User avatar
sanebeyondone
Joined: 22 Sep 2023
Last visit: 15 Mar 2025
Posts: 26
Own Kudos:
Given Kudos: 143
Posts: 26
Kudos: 31
Kudos
Add Kudos
Bookmarks
Bookmark this Post
Spectre26
Let wt. of mix I be X,
In mix I, peanuts = 3/4*X, cashew = 1/4*X

Let wt. of mix II be Y,
In mix II, peanuts = 7/10*Y, cashew = 3/10*Y

As per the question in mix II wt of cashew is same as mix I
1/4*X = 3/10*Y
Y = 5/6*X

Also, peanuts in mix II = peanuts in mix I - 8
7/10*Y = 3/4*X - 8
Solvoing this,
X = 48 lbs

Correct Option: C
­
Thanks for your method. It really helps me.

Whenever I see this kind of question my mind just go straightforward literally interpret the all wordings into equations and just use sheer force to solve them in the most straightforward way possible, not trying to simplify or steamline at all. I don't know why but I think I would always lose more time/brain power to think of simpler equations to solve it.

My abomination method of trying to solve it with sheer force, no simplication and still got it wrong:­
Spot my mistake and got it right at last.... Too many variables makes me highly risks solving equations wrong... really.­
Attachments

203258.jpg
203258.jpg [ 233.09 KiB | Viewed 18523 times ]

User avatar
daynesj24
Joined: 26 May 2024
Last visit: 22 Dec 2024
Posts: 15
Own Kudos:
Given Kudos: 5
Posts: 15
Kudos: 3
Kudos
Add Kudos
Bookmarks
Bookmark this Post
It sounds like Mix II has 8 fewer Peanuts is that incorrect? Thats how I made my mistake
User avatar
Bunuel
User avatar
Math Expert
Joined: 02 Sep 2009
Last visit: 01 May 2026
Posts: 110,001
Own Kudos:
Given Kudos: 105,976
Products:
Expert
Expert reply
Active GMAT Club Expert! Tag them with @ followed by their username for a faster response.
Posts: 110,001
Kudos: 812,341
Kudos
Add Kudos
Bookmarks
Bookmark this Post
daynesj24
A wholesaler of nuts sells two mixtures of peanuts and cashews. The first mixture is 3/4 peanuts by weight. The second mixture has the same number of pounds of cashews as the first mixture but 8 fewer pounds of peanuts. If 7/10 of the weight of the second mixture is peanuts, how many pounds of nuts are in the first mixture?

A) 16
B) 32
C) 48
D) 80
E) 160

It sounds like Mix II has 8 fewer Peanuts is that incorrect? Thats how I made my mistake

The second mixture has 8 fewer pounds of peanuts than the first one.
User avatar
MBAToronto2024
Joined: 21 Apr 2024
Last visit: 06 Feb 2025
Posts: 96
Own Kudos:
Given Kudos: 110
Location: Canada
Posts: 96
Kudos: 17
Kudos
Add Kudos
Bookmarks
Bookmark this Post
KarishmaB

I tried to solve it as a weighted average but failed. Any thoughts?
User avatar
KarishmaB
Joined: 16 Oct 2010
Last visit: 29 Apr 2026
Posts: 16,448
Own Kudos:
79,469
 [3]
Given Kudos: 485
Location: Pune, India
Products:
Expert
Expert reply
Active GMAT Club Expert! Tag them with @ followed by their username for a faster response.
Posts: 16,448
Kudos: 79,469
 [3]
1
Kudos
Add Kudos
2
Bookmarks
Bookmark this Post
Toma13
A wholesaler of nuts sells two mixtures of peanuts and cashews. The first mixture is 3/4 peanuts by weight. The second mixture has the same number of pounds of cashews as the first mixture but 8 fewer pounds of peanuts. If 7/10 of the weight of the second mixture is peanuts, how many pounds of nuts are in the first mixture?

A) 16

B) 32

C) 48

D) 80

E) 160

First Mix: Peanuts : Cashews = 3 : 1 = 9: 3

Second Mix: Peanuts : Cashews = 7 : 3

Cashews are the same weight in both. On the ratio scale, there are 2 fewer units of peanuts in second mix. In actual values, there are 8 fewer units of peanuts.
Hence multiplier is 4.
Hence actual weight of total first mix = (9 + 3) * 4 = 48 pounds

Answer (C)

Ratios discussed here: https://youtu.be/5ODENGG5dvc
Ratios Post: https://anaprep.com/arithmetic-ratios-the-one-where-it-all-starts/The two mixes are not mixed together hence the question is not a weighted average question.
User avatar
Ayushi0002
Joined: 07 May 2023
Last visit: 10 Oct 2025
Posts: 45
Own Kudos:
Given Kudos: 21
Posts: 45
Kudos: 27
Kudos
Add Kudos
Bookmarks
Bookmark this Post
I solved it by 3/10W2 = 1/4W1, which is because the weight of cashews is the same.
i got the ratio W1/W2 = 12/10. We know that W2 = W1 - 8.
Equating the ratios we get 12(W1-8) = 10W1 ---> 2W1 = 12*8 ---> W1 = 6*8 = 48 (C)
User avatar
SgtSquarePants
Joined: 07 Jul 2024
Last visit: 20 Sep 2025
Posts: 1
Given Kudos: 19
Location: India
Posts: 1
Kudos: 0
Kudos
Add Kudos
Bookmarks
Bookmark this Post
Hi Bunuel, I came across a very similar question on my GMAT test with same underlying logic, involving boys and girls in two sections of a class. Could you please suggest where I can find more practice questions of this type?
User avatar
Bunuel
User avatar
Math Expert
Joined: 02 Sep 2009
Last visit: 01 May 2026
Posts: 110,001
Own Kudos:
812,341
 [3]
Given Kudos: 105,976
Products:
Expert
Expert reply
Active GMAT Club Expert! Tag them with @ followed by their username for a faster response.
Posts: 110,001
Kudos: 812,341
 [3]
1
Kudos
Add Kudos
2
Bookmarks
Bookmark this Post
SgtSquarePants
Hi Bunuel, I came across a very similar question on my GMAT test with same underlying logic, involving boys and girls in two sections of a class. Could you please suggest where I can find more practice questions of this type?

Mixture Problems

Theory:

Questions:

For more check Ultimate GMAT Quantitative Megathread
avatar
shakedAF
Joined: 02 Apr 2023
Last visit: 11 Nov 2025
Posts: 2
Own Kudos:
Given Kudos: 4
Concentration: Strategy, Entrepreneurship
GPA: 4
Posts: 2
Kudos: 5
Kudos
Add Kudos
Bookmarks
Bookmark this Post
Kindly suggesting another approach, It is the same as suggested here but focuses on calculating the total amount directly. I believe it is less risky to make miscalculations this way.
Let T be the total amount and P be the peanuts. \(\frac{P}{T}=p\) and the amount reduced as d

\(\frac{p*T-d}{T-d}=p'\)

Isolating T: \(p*T-T*p'=d-p'*d\)

\(T(p-p')=d(1-p')\)

\(T=\frac{d*(1-p')}{p-p'}\)

Plugging d=8 p=0.75 p'=0.7 and solve

\(T=\frac{8(1-0.7)}{0.75-0.7}=\frac{8*3*20}{10}=48\)

Answer C
 1   2   
Moderators:
Math Expert
110001 posts
Tuck School Moderator
852 posts