Last visit was: 21 Apr 2026, 02:21 It is currently 21 Apr 2026, 02:21
Close
GMAT Club Daily Prep
Thank you for using the timer - this advanced tool can estimate your performance and suggest more practice questions. We have subscribed you to Daily Prep Questions via email.

Customized
for You

we will pick new questions that match your level based on your Timer History

Track
Your Progress

every week, we’ll send you an estimated GMAT score based on your performance

Practice
Pays

we will pick new questions that match your level based on your Timer History
Not interested in getting valuable practice questions and articles delivered to your email? No problem, unsubscribe here.
Close
Request Expert Reply
Confirm Cancel
User avatar
Aakash7
Joined: 07 Sep 2023
Last visit: 04 Feb 2026
Posts: 22
Own Kudos:
18
 [1]
Given Kudos: 69
Location: India
Schools: HEC Sept '26
GMAT Focus 1: 665 Q87 V81 DI81
GPA: 3.46
Schools: HEC Sept '26
GMAT Focus 1: 665 Q87 V81 DI81
Posts: 22
Kudos: 18
 [1]
1
Kudos
Add Kudos
Bookmarks
Bookmark this Post
User avatar
CKHE
Joined: 11 Mar 2019
Last visit: 02 Jan 2025
Posts: 83
Own Kudos:
84
 [1]
Given Kudos: 199
Location: India
GMAT 1: 720 Q49 V39
GMAT 2: 690 Q49 V36
GMAT 2: 690 Q49 V36
Posts: 83
Kudos: 84
 [1]
1
Kudos
Add Kudos
Bookmarks
Bookmark this Post
User avatar
Ameya21
Joined: 05 Jun 2024
Last visit: 22 Aug 2024
Posts: 11
Own Kudos:
Given Kudos: 86
Posts: 11
Kudos: 18
Kudos
Add Kudos
Bookmarks
Bookmark this Post
User avatar
SomeOneUnique
Joined: 17 Mar 2019
Last visit: 26 Dec 2024
Posts: 119
Own Kudos:
126
 [1]
Given Kudos: 41
Location: India
Posts: 119
Kudos: 126
 [1]
1
Kudos
Add Kudos
Bookmarks
Bookmark this Post
­What is the length of a train traveling at a constant speed of 90 meters per second, if it crosses Bridge A in 10 seconds, from the moment it enters the bridge to the moment its last carriage exits the bridge?

(1) The length of Bridge A is five times the length of the train.
(2) During the journey, the train crosses Bridge B, which is four times the length of Bridge A, in 35 seconds.­

S=D/T
90=(a+l)/10
a+l=900
l=?

(I) a=5l
Using, S=D/T we can put 90 = (a+l)/10
90=6l/10
To get 'l', given information is SUFFICIENT.

(II) b=4a and t=35
Using, S=D/T we can put 90 = (b+l)/35
90 = (4a+l)/35    (because b=4a)
To travel a+l it takes   -> 10 secs
To travel 4a+l it takes -> 35 secs
Then we can say D would be proportional to T because the train is travelling at a constant speed.
90 = [4(5l) + l]/35
To get 'l', given information is SUFFICIENT.

Therefore, correct option is D.
User avatar
AviNFC
Joined: 31 May 2023
Last visit: 10 Apr 2026
Posts: 306
Own Kudos:
366
 [1]
Given Kudos: 5
Posts: 306
Kudos: 366
 [1]
1
Kudos
Add Kudos
Bookmarks
Bookmark this Post
Length of train be L, and of bridge be B
given, L+B=900

1. B=5L
   so, 6L= 900, L=150...Sufficient

2. bridge b = 4B
   4B+L=35*90
   and already B+L=900
 solving we get L=150....Sufficient

Answer D­
User avatar
AbhiS101
Joined: 03 Jul 2024
Last visit: 25 Jan 2026
Posts: 80
Own Kudos:
86
 [1]
Given Kudos: 19
Location: India
GPA: 68%
Posts: 80
Kudos: 86
 [1]
1
Kudos
Add Kudos
Bookmarks
Bookmark this Post
Bunuel
What is the length of a train traveling at a constant speed of 90 meters per second, if it crosses Bridge A in 10 seconds, from the moment it enters the bridge to the moment its last carriage exits the bridge?

(1) The length of Bridge A is five times the length of the train.
(2) During the journey, the train crosses Bridge B, which is four times the length of Bridge A, in 35 seconds.­


A. Statement (1) ALONE is sufficient, but statement (2) alone is not sufficient to answer the question asked.
B. Statement (2) ALONE is sufficient, but statement (1) alone is not sufficient to answer the question asked.
C. BOTH statements (1) and (2) TOGETHER are sufficient to answer the question asked, but NEITHER statement ALONE is sufficient to answer the question asked.
D. EACH statement ALONE is sufficient to answer the question asked.
E. Statements (1) and (2) TOGETHER are NOT sufficient to answer the question asked, and additional data specific to the problem are needed.


­
 


This question was provided by GMAT Club
for the GMAT Club Olympics Competition

Win over $30,000 in prizes such as Courses, Tests, Private Tutoring, and more

 

­

Let length of train be x & bridge be y
So x+y = 900, be equation 1

Statement 1: 5x + x = 900
6x = 900
X = 150 mtrs
Hence, Sufficient

Statement 2:

4y + x = 3150
Solving this with eqn 1 will give value of x

Hence, both statements alone are sufficient

So option D

Posted from my mobile device
avatar
DG1989
Joined: 16 Feb 2023
Last visit: 24 Dec 2024
Posts: 140
Own Kudos:
310
 [1]
Given Kudos: 9
Location: India
Concentration: Finance, Technology
Schools: Kellogg '26
GPA: 4
Schools: Kellogg '26
Posts: 140
Kudos: 310
 [1]
1
Kudos
Add Kudos
Bookmarks
Bookmark this Post
­What is the length of a train traveling at a constant speed of 90 meters per second, if it crosses Bridge A in 10 seconds, from the moment it enters the bridge to the moment its last carriage exits the bridge?

(1) The length of Bridge A is five times the length of the train.
(2) During the journey, the train crosses Bridge B, which is four times the length of Bridge A, in 35 seconds.­

Solution: Let's denote
The length of the train = X meters
The length of Bridge A = Y meters

The train is traveling at a constant speed of 90 meters per second. Since the train crosses Bridge A in 10 seconds, the distance covered by the train during this time includes both the length of the train and the bridge.
Thus, X + Y = 90 meters/second * 10 seconds
X + Y = 900  --------------(1)

We need to find the value X.

Statement 1: The length of Bridge A is five times the length of the train.
This means, Y = 5X
From (1)
X + Y = 900
X + 5X = 900
X = 150
SUFFICIENT

Statement 2: During the journey, the train crosses Bridge B, which is four times the length of Bridge A, in 35 seconds.
Let the length of Bridge B = Z meters
So Z = 4Y
The time to cross Bridge B is 35 seconds, so the distance covered in this time
= 90 meters/second * 35 seconds
= 3150 meters

This distance includes the length of the train and Bridge B.
Hence, X + 4Y = 3150  ------------(2)
Subtract (1) from (2)
3Y = 2250
Y = 750
Hence X = 3150 - 3000
X = 150
SUFFICIENT

The correct answer is D­
User avatar
shivangi_31
Joined: 27 Nov 2023
Last visit: 11 Jun 2025
Posts: 41
Own Kudos:
Given Kudos: 14
Posts: 41
Kudos: 28
Kudos
Add Kudos
Bookmarks
Bookmark this Post
­According to me it should be option A<br />
<br />
As we know the speed of train 90m/s and it crosses bridge in 10 secs, hence length of bridge should be 90*10 = 900m<br />
<br />
from A we know length of bridge = 5* length of train and as we know length of bridge we can get length of train.<br />
<br />
from B there is not mention about the bridge, hence we cannot get the relation with the train A
User avatar
ThatIndianGuy
Joined: 18 Mar 2020
Last visit: 09 Apr 2026
Posts: 77
Own Kudos:
65
 [1]
Given Kudos: 385
Location: India
Concentration: Strategy, Technology
WE:General Management (Technology)
1
Kudos
Add Kudos
Bookmarks
Bookmark this Post
What is the length of a train traveling at a constant speed of 90 meters per second, if it crosses Bridge A in 10 seconds, from the moment it enters the bridge to the moment its last carriage exits the bridge?

(1) The length of Bridge A is five times the length of the train.
(2) During the journey, the train crosses Bridge B, which is four times the length of Bridge A, in 35 seconds.­

Formula:
Speed = Total length (L of train + L of bridge) / Total time to cross
90 = Lt + Lb / 10
Lt+Lb = 900 ----(1)


S1 says that Lb=5Lt
substituing,
6Lt = 900
Lt = 150 m
sufficient

S2 says Lb' = 4 Lb (Lb' = length of bridge B)
time = 35 s
90 = (Lt + 4Lb)/35
Lt + 4Lb = 3150 ----(2)

subtract (2) - (1)
3Lb = 3150 - 900
3Lb = 2250
Lb = 750m

Lt=900-750
Lt=150m

sufficient.

Option D.­
User avatar
rsrobin864
Joined: 21 Aug 2020
Last visit: 10 Jan 2025
Posts: 65
Own Kudos:
77
 [1]
Given Kudos: 60
Location: India
Products:
Posts: 65
Kudos: 77
 [1]
1
Kudos
Add Kudos
Bookmarks
Bookmark this Post
­The train travels at a constant speed of 90 meters per second and crosses Bridge A in 10 seconds. The total distance traveled by the train in crossing the bridge is the sum of the length of the train L and the length of the bridge A

From the given information, we know:

90 m/s×10 s=L+A

So,

900=L+A

We need to find the value of L

Statement (1): The length of Bridge A is five times the length of the train.

A=5L

Substituting this into the equation 900=L+A

900=L+5L900 = L + 5L900=L+5L

900=6L

L=150

So, the length of the train is 150 meters.

Thus, statement (1) alone is sufficient to determine the length of the train.

Statement (2): During the journey, the train crosses Bridge B, which is four times the length of Bridge A, in 35 seconds.

First, we need to express the length of Bridge B in terms of the length of Bridge A:

B=4

The total distance the train travels while crossing Bridge B is:

90 m/s×35 s=L+B

3150=L+4A

We already have:

900=L+A

We can use this equation to express A in terms of L:

A=900−L

Substitute A=900−L into the equation 3150=L+4A

3150=L+4(900−L)

L=150

So, the length of the train is 150 meters.

Thus, statement (2) alone is sufficient to determine the length of the train.

Since both statements independently suff

Therefore, the correct answer is:

D. EACH statement ALONE is sufficient to answer the question asked.
User avatar
sohailasif786
Joined: 13 May 2024
Last visit: 05 Jan 2026
Posts: 43
Own Kudos:
50
 [1]
Given Kudos: 3
Posts: 43
Kudos: 50
 [1]
1
Kudos
Add Kudos
Bookmarks
Bookmark this Post
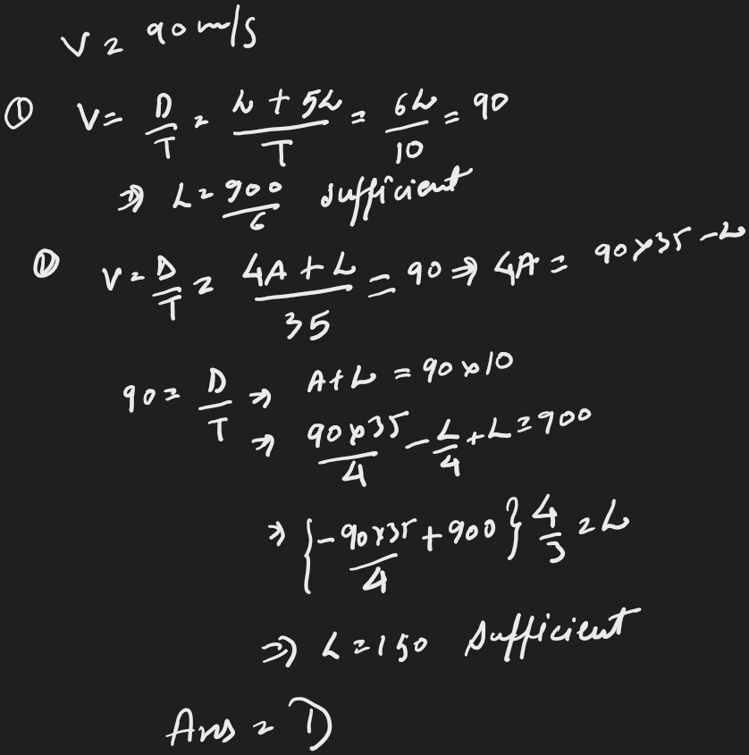
­
Attachment:
GMAT-Club-Forum-0crwii44.png
GMAT-Club-Forum-0crwii44.png [ 91.67 KiB | Viewed 1278 times ]
User avatar
JDEWERPEF
Joined: 15 Jun 2024
Last visit: 04 May 2025
Posts: 21
Own Kudos:
35
 [1]
Posts: 21
Kudos: 35
 [1]
1
Kudos
Add Kudos
Bookmarks
Bookmark this Post
lenght of train?

90 m/s train crosses bridge a in 10 seconds

bridge a + train = 900 m

1) bridge a = 5*train
6 train = 900 m
train=150 m

2) bridge b = 4 * bridge a

bridge b + train = 90 m/s * 35s = 3150 m

4*bridge a + train = 3150 m (-)
4*bridge a + 4 train = 3600 m (+)
3 train = 450 m
train = 150m

d. each statement alone is sufficient­
User avatar
GuadalupeAntonia
User avatar
Yale Moderator
Joined: 04 May 2024
Last visit: 07 Apr 2026
Posts: 59
Own Kudos:
66
 [1]
Given Kudos: 22
Location: Mexico
GMAT Focus 1: 665 Q84 V83 DI80
GPA: 3.5
GMAT Focus 1: 665 Q84 V83 DI80
Posts: 59
Kudos: 66
 [1]
1
Kudos
Add Kudos
Bookmarks
Bookmark this Post
v=d/t
90(mts/sec)=(bridge length+ bus lenght)mts/10sec

900mts=(bridge length+ bus lenght)mts

(1) The length of Bridge A is five times the length of the train.
bridge length = BL
bus lenght= x
BL=5x
substitude in 900mts=(bridge length+ bus lenght)mts

900=(5x+x)
900=6x
x=900/6=150 mts

(2) During the journey, the train crosses Bridge B, which is four times the length of Bridge A, in 35 seconds.­

90(mts/sec)=(bridge B length+ bus lenght)mts/35sec
3150mts=(bridge B length+ bus lenght)mts

bridge B length= L2
bus lenght=x

L2=4BL
substitute
3150mts=(4BL+x)
also from the statement we have
900mts=(bridge length+ bus lenght)mts
900mts=(BL+x)mts

now we have 2 incognitos and 2 eq
3150=(BL+x)+3BL
3150=900+3BL
BL=(3150-900)/3=
BL= 2250/3=750
BL=750
so
900=750+x
x=150
SUFFICIENT

ANS Letter D
User avatar
PK1
Joined: 11 Aug 2018
Last visit: 14 Jun 2025
Posts: 96
Own Kudos:
147
 [1]
Given Kudos: 47
Products:
Posts: 96
Kudos: 147
 [1]
1
Kudos
Add Kudos
Bookmarks
Bookmark this Post
Bunuel
What is the length of a train traveling at a constant speed of 90 meters per second, if it crosses Bridge A in 10 seconds, from the moment it enters the bridge to the moment its last carriage exits the bridge?

(1) The length of Bridge A is five times the length of the train.
(2) During the journey, the train crosses Bridge B, which is four times the length of Bridge A, in 35 seconds.­


A. Statement (1) ALONE is sufficient, but statement (2) alone is not sufficient to answer the question asked.
B. Statement (2) ALONE is sufficient, but statement (1) alone is not sufficient to answer the question asked.
C. BOTH statements (1) and (2) TOGETHER are sufficient to answer the question asked, but NEITHER statement ALONE is sufficient to answer the question asked.
D. EACH statement ALONE is sufficient to answer the question asked.
E. Statements (1) and (2) TOGETHER are NOT sufficient to answer the question asked, and additional data specific to the problem are needed.


­
 


This question was provided by GMAT Club
for the GMAT Club Olympics Competition

Win over $30,000 in prizes such as Courses, Tests, Private Tutoring, and more

 

­
train travelling at constant speed of 90m/s. it crosses bridge A in 10s from entry to exit .what is length of train?

Option 1:­The length of Bridge A is five times the length of the train.
distance travelled in 10s= length of bridge A + length of train = 90m/s *10s = 900m
6*length of train = 900
so length of train =150

Option 2:During the journey, the train crosses Bridge B, which is four times the length of Bridge A, in 35 seconds.­
Bridge A length +  length of train= distance travelled in 10s= 10*90m/s= 900m
Bridge B length = 4* Bridge A length 
Distance travelled in 35s = 90m/s*35= 3150s = Bridge B length + length of train
4*Bridge A length + train length = 3150
Bridge A length + train length = 900
3 bridge A length = 2250
BridgeA length = 750
so length of train = 900-750 =150m

So D is the answer



 
User avatar
Milkyway_28
Joined: 23 May 2024
Last visit: 19 Apr 2025
Posts: 50
Own Kudos:
57
 [1]
Given Kudos: 71
Location: Kazakhstan
Posts: 50
Kudos: 57
 [1]
1
Kudos
Add Kudos
Bookmarks
Bookmark this Post
A very straightforward way to answer this question is to try and solve the problem.

Here we have the following information.

The constant speed of the train - 90 m/s
The time it takes to travel the distance e.g. to cross Bridge A - 10 seconds

Now for the distance, when talking about a moving vehicle, we usually refer to them as a point. When measuring distance, therefore, we measure it with respect to the vehicle as a point. In this instance, the distance is not a single point on the train rather the "moment it enters the bridge" i.e. the front end and the "moment its last carriage exits the bridge" i.e. rear end. Therefore distance here refers to the distance of Bridge A the length of the train. 

Therefore we can write distance as = A (Bridge A) + T(Train)

Now to the two statements and how they impact the solution of the problem 

Statement (1): The length of Bridge A is five times the length of the train.

Since we know the distance is the length of Bridge A + the Train and that the bridge is five time the length of the train we can write the distance as 5T (T being the length of the Train) + T

Therefore we can write the equation as follows

\(6T = 90 m/s *10 s\)

\(6T = 900m\)

\(  T =\frac{900}{6} \)

\(  T=150m\)

So we can determine the length of the train with the information provided in statement (1)

Statement (2): During the journey, the train crosses Bridge B, which is four times the length of Bridge A, in 35 seconds.­

Once again we can use the information provided to write two equations 

The first equation can be written with the information provided in the question as

Distance: A + T
Speed: 90 m/s
Time: 10 seconds

\( A+T = 90m/s*10s\)
\( A+T = 900m\)

The second equation can be written with the information provided in statement (2) which states that Bridge B is four times the length of Bridge A or just 4*Bridge A and that the time of the journey is now 35 seconds instead of 10 seconds

Distance: 4*A + T
Speed: 90 m/s
Time: 35 seconds

\(4*A+T = 90m/s*35s\)
\(4*A+T = 3150m\)

We can create a system for the two equations as follows

\(4*A+T = 3150m\)
\(   A+T = 900m\)

Now lets subtract the bottom equation from the top.

\(3*A = 2250m\)
\(    A = 750m\)

Now that we know \( A = 750m\) we can quickly calculate that the Train is \( 900m-750m = 150m \)

Therefore we can calculate the length of the train with the information provided in Statement (2)

In conclusion, Statement (1) alone is sufficient as Statement (2) alone is sufficient.

The answer is D

Bunuel
What is the length of a train traveling at a constant speed of 90 meters per second, if it crosses Bridge A in 10 seconds, from the moment it enters the bridge to the moment its last carriage exits the bridge?

(1) The length of Bridge A is five times the length of the train.
(2) During the journey, the train crosses Bridge B, which is four times the length of Bridge A, in 35 seconds.­


A. Statement (1) ALONE is sufficient, but statement (2) alone is not sufficient to answer the question asked.
B. Statement (2) ALONE is sufficient, but statement (1) alone is not sufficient to answer the question asked.
C. BOTH statements (1) and (2) TOGETHER are sufficient to answer the question asked, but NEITHER statement ALONE is sufficient to answer the question asked.
D. EACH statement ALONE is sufficient to answer the question asked.
E. Statements (1) and (2) TOGETHER are NOT sufficient to answer the question asked, and additional data specific to the problem are needed.


­
 


This question was provided by GMAT Club
for the GMAT Club Olympics Competition

Win over $30,000 in prizes such as Courses, Tests, Private Tutoring, and more

 

­
­
User avatar
Shruuuu
Joined: 21 Nov 2023
Last visit: 19 Jan 2026
Posts: 70
Own Kudos:
95
 [1]
Given Kudos: 99
Location: India
Schools: ISB '27 (A)
GMAT Focus 1: 655 Q83 V86 DI78
Schools: ISB '27 (A)
GMAT Focus 1: 655 Q83 V86 DI78
Posts: 70
Kudos: 95
 [1]
1
Kudos
Add Kudos
Bookmarks
Bookmark this Post
­Let length of train be 't' and bridge be 'a'
speed = 90 m/s 
time taken = 10 secs 

i) a = 5t
Therefore, 90 = (t+a)/10 i.e. 90(10) = 6t & t = 150
Sufficient

ii) b = 4a
So, we have 2 equations & 2 variables - 
90 = (b+t)/35 & 90 = (a+t)/10 
After solving for t, we get t=150
Sufficient

IMO D
User avatar
wwcd
Joined: 21 Apr 2024
Last visit: 12 May 2025
Posts: 46
Own Kudos:
52
 [1]
Given Kudos: 83
Posts: 46
Kudos: 52
 [1]
1
Kudos
Add Kudos
Bookmarks
Bookmark this Post
 
Bunuel
What is the length of a train traveling at a constant speed of 90 meters per second, if it crosses Bridge A in 10 seconds, from the moment it enters the bridge to the moment its last carriage exits the bridge?

(1) The length of Bridge A is five times the length of the train.
(2) During the journey, the train crosses Bridge B, which is four times the length of Bridge A, in 35 seconds.­

 
x = length of the train
a = length of bridge A­
b = length of bridge B

x+a = 90 * 10 = 900
(when the last carriage of train exits the bridge - you add the length of the train to the length of the bridge) 


Statement 1 : a = 5x
x + 5x = 900. x = 150.
Sufficient



Statement 2 : 
  • x + b = 90 *35 = 3150
  • b = 4a
4a + x = 3150    -----1
a   + x = 900     ----- 2

eq 1 - eq 2 : a = 750. 
so, x = 900 - 750 = 150
Sufficient

OPTION D

            ­
User avatar
BGbogoss
Joined: 27 Jan 2024
Last visit: 07 Feb 2026
Posts: 38
Own Kudos:
58
 [1]
Given Kudos: 2
Posts: 38
Kudos: 58
 [1]
1
Kudos
Add Kudos
Bookmarks
Bookmark this Post
We have :
The train travels at 90 meters per second and crosses Bridge A in 10 seconds.
Suppose L = length of the train, B_A = length of Bridge A.
L + B_A = Total distance covered = 900 meters

Statement 1
Bridge A is five times the length of the train:
B_A = 5L
L + 5L = 900
L = 150
Statement 1 alone is sufficient.

Statement 2
Bridge B is four times the length of Bridge A and the train crosses it in 35 seconds:
L + B_B = L + 4B_A = 90*35 = 3150
And L + B_A = 900
Solving gives B_A = 750 and L = 150
Statement 2 alone is sufficient.

Answer: D­
User avatar
riturajsingh21
Joined: 12 Aug 2014
Last visit: 11 Jul 2025
Posts: 31
Own Kudos:
38
 [1]
Given Kudos: 165
Posts: 31
Kudos: 38
 [1]
1
Kudos
Add Kudos
Bookmarks
Bookmark this Post
Lets length of Bridge is B and length of train is T.

distance covered= B+T

Find T
B+T=90*10=900, any relation of B&T will help solve this equestion.

Option-1
B=5T
Sufficient

Option-2
4B+T=90*35
Sufficient

Ans-D
User avatar
drycoolnan
Joined: 01 Feb 2019
Last visit: 05 Sep 2024
Posts: 6
Own Kudos:
Given Kudos: 7
Posts: 6
Kudos: 2
Kudos
Add Kudos
Bookmarks
Bookmark this Post
Statement 1 is sufficient. 900/5 would give X which is length of the train. Statement 2 can help us solve for the distance of the bridge but not of the train without knowing Statement 1. 
   1   2   3   4   5   6   
Moderators:
Math Expert
109715 posts
498 posts
210 posts