Last visit was: 09 May 2026, 01:48 It is currently 09 May 2026, 01:48
Close
GMAT Club Daily Prep
Thank you for using the timer - this advanced tool can estimate your performance and suggest more practice questions. We have subscribed you to Daily Prep Questions via email.

Customized
for You

we will pick new questions that match your level based on your Timer History

Track
Your Progress

every week, we’ll send you an estimated GMAT score based on your performance

Practice
Pays

we will pick new questions that match your level based on your Timer History
Not interested in getting valuable practice questions and articles delivered to your email? No problem, unsubscribe here.
Close
Request Expert Reply
Confirm Cancel
User avatar
KarishmaB
Joined: 16 Oct 2010
Last visit: 08 May 2026
Posts: 16,457
Own Kudos:
Given Kudos: 485
Location: Pune, India
Products:
Expert
Expert reply
Active GMAT Club Expert! Tag them with @ followed by their username for a faster response.
Posts: 16,457
Kudos: 79,558
Kudos
Add Kudos
Bookmarks
Bookmark this Post
User avatar
ameyaprabhu
Joined: 28 Apr 2016
Last visit: 09 Aug 2017
Posts: 66
Own Kudos:
Given Kudos: 79
Posts: 66
Kudos: 34
Kudos
Add Kudos
Bookmarks
Bookmark this Post
User avatar
KarishmaB
Joined: 16 Oct 2010
Last visit: 08 May 2026
Posts: 16,457
Own Kudos:
Given Kudos: 485
Location: Pune, India
Products:
Expert
Expert reply
Active GMAT Club Expert! Tag them with @ followed by their username for a faster response.
Posts: 16,457
Kudos: 79,558
Kudos
Add Kudos
Bookmarks
Bookmark this Post
User avatar
KarishmaB
Joined: 16 Oct 2010
Last visit: 08 May 2026
Posts: 16,457
Own Kudos:
79,558
 [2]
Given Kudos: 485
Location: Pune, India
Products:
Expert
Expert reply
Active GMAT Club Expert! Tag them with @ followed by their username for a faster response.
Posts: 16,457
Kudos: 79,558
 [2]
1
Kudos
Add Kudos
Bookmarks
Bookmark this Post
smritidabas
Could you explain the same by solving with just one of the examples but with |4-x|

I understood the concept you have explained... but I am confused how would it be solved if I dont convert it to |x-4|..

Thanks!
VeritasPrepKarishma
MadCowMartin
I am stuck on this part in the Gmat Club book. I do understand how the conditions are set. But I can't figure out how the values for x were determined in those conditions. Ill use just a and b:

a) x < -8. -(x+3) - (4-x) = -(8+x) --> x = -1. We reject the solution because our condition is not satisfied (-1 is not less than -8)
b) -8 <= x < -3. -(x+3) - (4-x) = (8+x) --> x = -15. We reject the solution because our condition is not satisfied (-15 is not within (-8,-3) interval.)

Where do the x = ' ' values come from? I have been staring at this for half an hour.
I understood the whole concept in the '3-steps approach' but the '3-steps approach for complex problems' has me stuck suddenly. There goes mij GMAT-Mojo! Anyone able to help me get it back? Thanks.


BTW: Is this 650+ level?

You solve the equation to get the x = values

First of all, you are given |x+3|-|4-x|=|8+x|
Convert this to |x+3|-|x-4|=|x+8| (since it is a mod, |4-x| is the same as |x-4|)

Now key points are -8, -3 and 4.

Case a: x< -8
When x < -8, all three expressions (x + 3), (x - 4) and (x + 8) are negative.

So |x+3| = - (x + 3) (using the definition of mod)
|x-4| = - (x - 4)
|x+8| = - (x + 8)

-(x+3) - [-(x-4)] = -(x+8)
-7 = -x - 8
x = -1
Condition not satisfied so rejected.

And no, it is 750+ level.


It doesn't matter whether you use |x - 4| or |4 - x|. The answer will stay the same.

I. Consider |x - 4|

When x >= 4, then (x - 4) is positive (try putting in x = 5) so
|x - 4| = x - 4

When x < 4, then (x - 4) is negative (try putting in x = 3) so
|x - 4| = -(x - 4) = 4 - x

II. Consider |4 - x|

When x >= 4, then (4 - x) is negative (try putting in x = 5 to see) so
|4 - x| = - (4 - x) = x - 4

When x< 4, then (4 - x) is positive (try putting in x = 3 to see) so
|4 - x| = 4 - x

Note that in both cases, when x >= 4, you get (x - 4) and when x < 4, you get (4 - x).
Just that case I is more intuitive so it's easier to flip first and then solve.
User avatar
msk0657
User avatar
Retired Moderator
Joined: 26 Nov 2012
Last visit: 14 Feb 2020
Posts: 455
Own Kudos:
Given Kudos: 46
Posts: 455
Kudos: 570
Kudos
Add Kudos
Bookmarks
Bookmark this Post
Bunuel
guerrero25
|x+3| – |4-x| = |8+x| How many solutions will this equation have?

A. 0
B. 1
C. 2
D. 3
E. 4


I am trying to understand the Modules questions - I took this from GMAT club's quant book .

Q. |x+3| - |4-x| = |8+x|. How many solutions does the equation have?

I could not follow why the equal signs are considered ? e.g -8 <= x < -3 , -3 <= x < 4, x >=4 ..Appreciate if someone can explain the logic?


Solution: There are 3 key points here: -8, -3, 4. So we have 4 conditions:

a) x < -8. -(x+3) - (4-x) = -(8+x) --> x = -1. We reject the solution because our condition is not satisfied (-1 is not less than -8)

b) -8 <= x < -3. -(x+3) - (4-x) = (8+x) --> x = -15. We reject the solution because our condition is not satisfied (-15 is not within (-8,-3) interval.)

c) -3 <= x < 4 (x+3) - (4-x) = (8+x) --> x = 9. We reject the solution because our condition is not satisfied (-15 is not within (-3,4) interval.)

d) x >=4. (x+3) + (4-x) = (8+x) --> x = -1. We reject the solution because our condition is not satisfied (-1 is not more than 4)

thanks !

Responding to pm.

Absolute value properties:

When \(x\leq{0}\) then \(|x|=-x\), or more generally when \(some \ expression\leq{0}\) then \(|some \ expression|={-(some \ expression)}\). For example: \(|-5|=5=-(-5)\);

When \(x\geq{0}\) then \(|x|=x\), or more generally when \(some \ expression\geq{0}\) then \(|some \ expression|={some \ expression}\). For example: \(|5|=5\).

STEP BY STEP SOLUTION:

We have three transition points for \(|x+3| - |4-x| = |8+x|\): -8, -3, and 4 (transition point is the value of x for which an expression in the modulus equals to zero). Thus we have four ranges to check:

1. \(x<-8\);
2. \(-8\leq{x}\leq{-3}\);
3. \(-3<x<4\)
4. \(x\geq{4}\)

Note that it does not matter in which range(s) you include the transition points with "=" sign as long you include them.

1. When \(x<-8\), then \(x+3\) is negative, \(4-x\) is positive and \(8+x\) is negative. Thus \(|x+3|=-(x+3)\), \(|4-x|=4-x\) and \(|8+x|=-(8+x)\).

Therefore for this range \(|x+3| - |4-x| = |8+x|\): transforms to \(-(x+3) - (4-x) =-(8+x)\): --> \(x=-1\). This solution is NOT OK, since \(x=-1\) is NOT in the range we consider (\(x<-8\)).

2. When \(-8\leq{x}\leq{-3}\), then \(x+3\) is negative, \(4-x\) is positive and \(8+x\) is positive. Thus \(|x+3|=-(x+3)\), \(|4-x|=4-x\) and \(|8+x|=8+x\).

Therefore for this range \(|x+3| - |4-x| = |8+x|\): transforms to \(-(x+3) - (4-x) =8+x\): --> \(x=-15\). This solution is NOT OK, since \(x=-15\) is NOT in the range we consider (\(-8\leq{x}\leq{-3}\)).

3. When \(-3<x<4\), then \(x+3\) is positive, \(4-x\) is positive and \(8+x\) is positive. Thus \(|x+3|=x+3\), \(|4-x|=4-x\) and \(|8+x|=8+x\).

Therefore for this range \(|x+3| - |4-x| = |8+x|\): transforms to \(x+3 - (4-x) =8+x\): --> \(x=9\). This solution is NOT OK, since \(x=9\) is NOT in the range we consider (\(-3<x<4\)).

4. When \(x\geq{4}\), then \(x+3\) is positive, \(4-x\) is negative and \(8+x\) is positive. Thus \(|x+3|=x+3\), \(|4-x|=-(4-x)=x-4\) and \(|8+x|=8+x\).

Therefore for this range \(|x+3| - |4-x| = |8+x|\): transforms to \(x+3 - (x-4) =8+x\): --> \(x=-1\). This solution is NOT OK, since \(x=-1\) is NOT in the range we consider (\(x\geq{4}\)).

Thus no value of x satisfies \(|x+3| - |4-x| = |8+x|\).

Answer: A.

Hope it's clear.


Hi Bunuel,

I am getting confused at the sign changes. Please explain a bit clearly.

We have three transition points for \(|x+3| - |4-x| = |8+x|\): -8, -3, and 4 (transition point is the value of x for which an expression in the modulus equals to zero). Thus we have four ranges to check:

1. \(x<-8\);
2. \(-8\leq{x}\leq{-3}\);
3. \(-3<x<4\)
4. \(x\geq{4}\)

Now we have four ranges:

As per property...................... |x| < 0 ... | some expression | = - some expression ---> Property 1
|x| > 0 ... | some expression | = some expression ----> Property 2.

Confirm the below:
Now case 1 : x < -8 then |x+3| = - (x+3) and |x-4| = - ( x-4) ( this has to -ve but you mentioned as positive ) and |x+8| = - (x +8 )

and confused for the other three ranges as well on how the expressions got +ve and -ve signs.
What all need to be checked to give positive and negative signs to the expressions, as you mentioned in the solution for the above four ranges.
User avatar
Bunuel
User avatar
Math Expert
Joined: 02 Sep 2009
Last visit: 09 May 2026
Posts: 110,207
Own Kudos:
813,761
 [4]
Given Kudos: 106,127
Products:
Expert
Expert reply
Active GMAT Club Expert! Tag them with @ followed by their username for a faster response.
Posts: 110,207
Kudos: 813,761
 [4]
2
Kudos
Add Kudos
2
Bookmarks
Bookmark this Post
msk0657
Bunuel
guerrero25
|x+3| – |4-x| = |8+x| How many solutions will this equation have?

A. 0
B. 1
C. 2
D. 3
E. 4


I am trying to understand the Modules questions - I took this from GMAT club's quant book .

Q. |x+3| - |4-x| = |8+x|. How many solutions does the equation have?

I could not follow why the equal signs are considered ? e.g -8 <= x < -3 , -3 <= x < 4, x >=4 ..Appreciate if someone can explain the logic?


Solution: There are 3 key points here: -8, -3, 4. So we have 4 conditions:

a) x < -8. -(x+3) - (4-x) = -(8+x) --> x = -1. We reject the solution because our condition is not satisfied (-1 is not less than -8)

b) -8 <= x < -3. -(x+3) - (4-x) = (8+x) --> x = -15. We reject the solution because our condition is not satisfied (-15 is not within (-8,-3) interval.)

c) -3 <= x < 4 (x+3) - (4-x) = (8+x) --> x = 9. We reject the solution because our condition is not satisfied (-15 is not within (-3,4) interval.)

d) x >=4. (x+3) + (4-x) = (8+x) --> x = -1. We reject the solution because our condition is not satisfied (-1 is not more than 4)

thanks !

Responding to pm.

Absolute value properties:

When \(x\leq{0}\) then \(|x|=-x\), or more generally when \(some \ expression\leq{0}\) then \(|some \ expression|={-(some \ expression)}\). For example: \(|-5|=5=-(-5)\);

When \(x\geq{0}\) then \(|x|=x\), or more generally when \(some \ expression\geq{0}\) then \(|some \ expression|={some \ expression}\). For example: \(|5|=5\).

STEP BY STEP SOLUTION:

We have three transition points for \(|x+3| - |4-x| = |8+x|\): -8, -3, and 4 (transition point is the value of x for which an expression in the modulus equals to zero). Thus we have four ranges to check:

1. \(x<-8\);
2. \(-8\leq{x}\leq{-3}\);
3. \(-3<x<4\)
4. \(x\geq{4}\)

Note that it does not matter in which range(s) you include the transition points with "=" sign as long you include them.

1. When \(x<-8\), then \(x+3\) is negative, \(4-x\) is positive and \(8+x\) is negative. Thus \(|x+3|=-(x+3)\), \(|4-x|=4-x\) and \(|8+x|=-(8+x)\).

Therefore for this range \(|x+3| - |4-x| = |8+x|\): transforms to \(-(x+3) - (4-x) =-(8+x)\): --> \(x=-1\). This solution is NOT OK, since \(x=-1\) is NOT in the range we consider (\(x<-8\)).

2. When \(-8\leq{x}\leq{-3}\), then \(x+3\) is negative, \(4-x\) is positive and \(8+x\) is positive. Thus \(|x+3|=-(x+3)\), \(|4-x|=4-x\) and \(|8+x|=8+x\).

Therefore for this range \(|x+3| - |4-x| = |8+x|\): transforms to \(-(x+3) - (4-x) =8+x\): --> \(x=-15\). This solution is NOT OK, since \(x=-15\) is NOT in the range we consider (\(-8\leq{x}\leq{-3}\)).

3. When \(-3<x<4\), then \(x+3\) is positive, \(4-x\) is positive and \(8+x\) is positive. Thus \(|x+3|=x+3\), \(|4-x|=4-x\) and \(|8+x|=8+x\).

Therefore for this range \(|x+3| - |4-x| = |8+x|\): transforms to \(x+3 - (4-x) =8+x\): --> \(x=9\). This solution is NOT OK, since \(x=9\) is NOT in the range we consider (\(-3<x<4\)).

4. When \(x\geq{4}\), then \(x+3\) is positive, \(4-x\) is negative and \(8+x\) is positive. Thus \(|x+3|=x+3\), \(|4-x|=-(4-x)=x-4\) and \(|8+x|=8+x\).

Therefore for this range \(|x+3| - |4-x| = |8+x|\): transforms to \(x+3 - (x-4) =8+x\): --> \(x=-1\). This solution is NOT OK, since \(x=-1\) is NOT in the range we consider (\(x\geq{4}\)).

Thus no value of x satisfies \(|x+3| - |4-x| = |8+x|\).

Answer: A.

Hope it's clear.


Hi Bunuel,

I am getting confused at the sign changes. Please explain a bit clearly.

We have three transition points for \(|x+3| - |4-x| = |8+x|\): -8, -3, and 4 (transition point is the value of x for which an expression in the modulus equals to zero). Thus we have four ranges to check:

1. \(x<-8\);
2. \(-8\leq{x}\leq{-3}\);
3. \(-3<x<4\)
4. \(x\geq{4}\)

Now we have four ranges:

As per property...................... |x| < 0 ... | some expression | = - some expression ---> Property 1
|x| > 0 ... | some expression | = some expression ----> Property 2.

Confirm the below:
Now case 1 : x < -8 then |x+3| = - (x+3) and |x-4| = - ( x-4) ( this has to -ve but you mentioned as positive ) and |x+8| = - (x +8 )

and confused for the other three ranges as well on how the expressions got +ve and -ve signs.
What all need to be checked to give positive and negative signs to the expressions, as you mentioned in the solution for the above four ranges.

When x<-8:
x+3 becomes negative, thus |x+3|=-(x+3);
x+8 becomes negative, thus |x+8|=-(x+8);
4-x becomes positive, thus |4-x|=4-x. For example, 4-(-9)=13=positive.

Theory on Absolute Values: math-absolute-value-modulus-86462.html
The E-GMAT Question Series on ABSOLUTE VALUE: the-e-gmat-question-series-on-absolute-value-198503.html
Properties of Absolute Values on the GMAT: properties-of-absolute-values-on-the-gmat-191317.html
Absolute Value: Tips and hints: absolute-value-tips-and-hints-175002.html

DS Absolute Values Questions to practice: search.php?search_id=tag&tag_id=37
PS Absolute Values Questions to practice: search.php?search_id=tag&tag_id=58

Hard set on Absolute Values: inequality-and-absolute-value-questions-from-my-collection-86939.html
User avatar
KarishmaB
Joined: 16 Oct 2010
Last visit: 08 May 2026
Posts: 16,457
Own Kudos:
Given Kudos: 485
Location: Pune, India
Products:
Expert
Expert reply
Active GMAT Club Expert! Tag them with @ followed by their username for a faster response.
Posts: 16,457
Kudos: 79,558
Kudos
Add Kudos
Bookmarks
Bookmark this Post
VeritasPrepKarishma
guerrero25
I am trying to understand the Modules questions - I took this from GMAT club's quant book .

Q. |x+3| - |4-x| = |8+x|. How many solutions does the equation have?

I could not follow why the equal signs are considered ? e.g -8 <= x < -3 , -3 <= x < 4, x >=4 ..Appreciate if someone can explain the logic?


Solution: There are 3 key points here: -8, -3, 4. So we have 4 conditions:

a) x < -8. -(x+3) - (4-x) = -(8+x) --> x = -1. We reject the solution because our condition is not satisfied (-1 is not less than -8)

b) -8 <= x < -3. -(x+3) - (4-x) = (8+x) --> x = -15. We reject the solution because our condition is not satisfied (-15 is not within (-8,-3) interval.)

c) -3 <= x < 4 (x+3) - (4-x) = (8+x) --> x = 9. We reject the solution because our condition is not satisfied (-15 is not within (-3,4) interval.)

d) x >=4. (x+3) + (4-x) = (8+x) --> x = -1. We reject the solution because our condition is not satisfied (-1 is not more than 4)

thanks !

|x| = x when x >= 0 (x is either positive or 0)
|x| = -x when x < 0 (note here that you can put the equal to sign here as well x <= 0 because if x = 0,
|0| = 0 = -0 (all are the same)
So the '=' sign can be put with x > 0 or with x < 0. We usually put it with 'x > 0' for consistency.

When we are considering ranges, say,
x < -8 ------ x is less than -8
-8 <= x < -3 ------- x is greater than or equal to -8 but less than -3
-3 <= x < 4 ------- x is greater than or equal to -3 but less than 4
x >=4 -------- x is greater than or equal to 4

We need to include the transition points (-8, -3, 4) somewhere so we include them with greater than sign.

Mind you, we could have taken the ranges as
x <= -8
-8 < x <= -3
-3 < x <= 4
x > 4

The only point is that we don't include the transition points twice.

Hope the role of '=' sign is clear.

Responding to a pm:
[quote]

Request you to throw some more light on this concept
I have confusion why we have taken x<-8 and why not x>-8

[/quote

The transition points are -8, -3 and 4.

Draw them on the number line:

------------------- (-8) ----------- (-3) --------------------------- (4) -------------

In different sections of this number line, the terms are going to behave differently.
When x < -8,
|x + 8| = - (x + 8)
For the other terms too, when we remove the absolute value sign, we need a negative sign.

At x = -8, the sign for |x +8| turns.
When x >= -8 but less than -3, then
|x+8| = x + 8
For the other terms, when we remove the absolute value sign, we need a negative sign.

Hence each of the four sections of the number line are considered separately.

For more on this, check: https://www.gmatclub.com/forum/veritas-prep-resource-links-no-longer-available-399979.html#/2014/06 ... -the-gmat/
User avatar
KarishmaB
Joined: 16 Oct 2010
Last visit: 08 May 2026
Posts: 16,457
Own Kudos:
79,558
 [1]
Given Kudos: 485
Location: Pune, India
Products:
Expert
Expert reply
Active GMAT Club Expert! Tag them with @ followed by their username for a faster response.
Posts: 16,457
Kudos: 79,558
 [1]
1
Kudos
Add Kudos
Bookmarks
Bookmark this Post
Responding to a pm:

Quote:

Will you please explain why you didn't take -(x+3) + (4-x)

Why you counted -(4-x)

It comes down to whether you understand why we take ranges and change signs. First check this post:
https://www.gmatclub.com/forum/veritas-prep-resource-links-no-longer-available-399979.html#/2014/06 ... -the-gmat/

Now take a simpler example:

|x - 2| + |x - 5| = 4

What do you need to consider here?
For |x - 2|, you have to think about x < 2 and x >= 2
For |x - 5|, you have to think about x < 5 and x >= 5

To consider both together, you have
one range x < 2.
Another is x >= 2 and x < 5 so this is 2 <= x < 5.
Yet another is x >= 5

Now, will you worry about x < 2 and at the same time, x > 5? No. There will not be such a value of x. This is where |x - 2| will open as -(x - 2) and |x - 5| will open as (x - 5). This doesn't exist.

So in a question like this: |x - 2| + |x - 5| = 4, you don't have 4 cases ((x - 2) positive or negative and (x - 5) positive or negative). You have only 3 cases. The 4th case will not exist.
avatar
kshitij89
Joined: 09 Feb 2013
Last visit: 17 Jun 2019
Posts: 16
Own Kudos:
Given Kudos: 63
Posts: 16
Kudos: 12
Kudos
Add Kudos
Bookmarks
Bookmark this Post
johnwesley
You do it in the proper way. This method is called the "critical values" method. And once you have the critical values (by doing each absolute term equal to zero), you have to place them in the Real numbers line to make all the possible intervals. Then you just do the intervals as follows: x<lowest number in your real line, and then you take the intervals from each critical value to before the next one: i.e. x<-8, -8<=x<-3, -3<=x<4, x<=4. Therefore, you are getting all the possible intervals in the real line, and splitting the intervals from one critical value (including it) to before the next critical value (not including it).

Then, as you have done, you just set the predominant sign for each term under each condition, you solve the equation, and finally you check if the result saqtisfies the condition.
--------------------------------------------------------------------------------

I find the above technique easier for these problems.

Can someone please confirm if my below approach is correct :

The roots/criticial values for the given equations are : -8,-3,4.

Now placing these values on the no. line we have four ranges & checking for each ranges :

1. For x greater than 4

Randomly selecting any value greater than 4 , lets say x = 10

|x+3| - |4-x| = |8+x|

|10+3| - |4-10| is not equal to |8+10|

So any value greater than 4 doesnot satisfy the equation.

2. For x between -3 & 4

Let x = 2
|x+3| - |4-x| = |8+x|

|2+3| - |4-2| is not equal to |8+2|

So any value between -3 & 4 doesnot satisfy the equation.

3. For x between -8 & -3,

Let x = -2

|x+3| - |4-x| = |8+x|

|-2+3| - |4-(-2)| is not equal to |8+(-2)|

So any value between -8 & -3 doesnot satisfy the equation.

4. For x lesser than -8,

Let x = -9

|x+3| - |4-x| = |8+x|

|-9+3| - |4-(-9)| is not equal to |8+(-9)|

So any value less than -8 doesnot satisfy the equation.

So the total solution is 0.

Please confirm if my above approach is correct .


Thanks
Kshitij
User avatar
KarishmaB
Joined: 16 Oct 2010
Last visit: 08 May 2026
Posts: 16,457
Own Kudos:
79,558
 [1]
Given Kudos: 485
Location: Pune, India
Products:
Expert
Expert reply
Active GMAT Club Expert! Tag them with @ followed by their username for a faster response.
Posts: 16,457
Kudos: 79,558
 [1]
1
Kudos
Add Kudos
Bookmarks
Bookmark this Post
kshitij89
johnwesley
You do it in the proper way. This method is called the "critical values" method. And once you have the critical values (by doing each absolute term equal to zero), you have to place them in the Real numbers line to make all the possible intervals. Then you just do the intervals as follows: x<lowest number in your real line, and then you take the intervals from each critical value to before the next one: i.e. x<-8, -8<=x<-3, -3<=x<4, x<=4. Therefore, you are getting all the possible intervals in the real line, and splitting the intervals from one critical value (including it) to before the next critical value (not including it).

Then, as you have done, you just set the predominant sign for each term under each condition, you solve the equation, and finally you check if the result saqtisfies the condition.
--------------------------------------------------------------------------------

I find the above technique easier for these problems.

Can someone please confirm if my below approach is correct :

The roots/criticial values for the given equations are : -8,-3,4.

Now placing these values on the no. line we have four ranges & checking for each ranges :

1. For x greater than 4

Randomly selecting any value greater than 4 , lets say x = 10

|x+3| - |4-x| = |8+x|

|10+3| - |4-10| is not equal to |8+10|

So any value greater than 4 doesnot satisfy the equation.

2. For x between -3 & 4

Let x = 2
|x+3| - |4-x| = |8+x|

|2+3| - |4-2| is not equal to |8+2|

So any value between -3 & 4 doesnot satisfy the equation.

3. For x between -8 & -3,

Let x = -2

|x+3| - |4-x| = |8+x|

|-2+3| - |4-(-2)| is not equal to |8+(-2)|

So any value between -8 & -3 doesnot satisfy the equation.

4. For x lesser than -8,

Let x = -9

|x+3| - |4-x| = |8+x|

|-9+3| - |4-(-9)| is not equal to |8+(-9)|

So any value less than -8 doesnot satisfy the equation.

So the total solution is 0.

Please confirm if my above approach is correct .


Thanks
Kshitij

Note that in this case, all values in the range will not satisfy the equation.
Say when you take x < -8, you could have got x = -9. But what if you had actually tried x = -10 only and decided that no value in the range satisfies?
User avatar
testcracker
Joined: 24 Mar 2015
Last visit: 02 Dec 2024
Posts: 199
Own Kudos:
Given Kudos: 541
Status:love the club...
Posts: 199
Kudos: 135
Kudos
Add Kudos
Bookmarks
Bookmark this Post
VeritasPrepKarishma
guerrero25
I am trying to understand the Modules questions - I took this from GMAT club's quant book .

Q. |x+3| - |4-x| = |8+x|. How many solutions does the equation have?

I could not follow why the equal signs are considered ? e.g -8 <= x < -3 , -3 <= x < 4, x >=4 ..Appreciate if someone can explain the logic?


Solution: There are 3 key points here: -8, -3, 4. So we have 4 conditions:

a) x < -8. -(x+3) - (4-x) = -(8+x) --> x = -1. We reject the solution because our condition is not satisfied (-1 is not less than -8)

b) -8 <= x < -3. -(x+3) - (4-x) = (8+x) --> x = -15. We reject the solution because our condition is not satisfied (-15 is not within (-8,-3) interval.)

c) -3 <= x < 4 (x+3) - (4-x) = (8+x) --> x = 9. We reject the solution because our condition is not satisfied (-15 is not within (-3,4) interval.)

d) x >=4. (x+3) + (4-x) = (8+x) --> x = -1. We reject the solution because our condition is not satisfied (-1 is not more than 4)

thanks !

|x| = x when x >= 0 (x is either positive or 0)
|x| = -x when x < 0 (note here that you can put the equal to sign here as well x <= 0 because if x = 0,
|0| = 0 = -0 (all are the same)
So the '=' sign can be put with x > 0 or with x < 0. We usually put it with 'x > 0' for consistency.

When we are considering ranges, say,
x < -8 ------ x is less than -8
-8 <= x < -3 ------- x is greater than or equal to -8 but less than -3
-3 <= x < 4 ------- x is greater than or equal to -3 but less than 4
x >=4 -------- x is greater than or equal to 4

We need to include the transition points (-8, -3, 4) somewhere so we include them with greater than sign.

Mind you, we could have taken the ranges as
x <= -8
-8 < x <= -3
-3 < x <= 4
x > 4

The only point is that we don't include the transition points twice.

Hope the role of '=' sign is clear.

hi mam

in "a" when assumed that x is less than -8, the RHS modulus (8+x) is correctly negated. I am okay with this operation. Side by side, however, the LHS modulus (x + 3) is also negated...

what is the main logic underlying this negation ..? is this such that to make the LHS negative, some number should be subtracted from some bigger negatives..? if so, how can we conclude that (x+3) is bigger in value than is (4-x) ..?

thanks in advance ...
User avatar
KarishmaB
Joined: 16 Oct 2010
Last visit: 08 May 2026
Posts: 16,457
Own Kudos:
79,558
 [2]
Given Kudos: 485
Location: Pune, India
Products:
Expert
Expert reply
Active GMAT Club Expert! Tag them with @ followed by their username for a faster response.
Posts: 16,457
Kudos: 79,558
 [2]
2
Kudos
Add Kudos
Bookmarks
Bookmark this Post
ssislam
VeritasPrepKarishma
guerrero25
I am trying to understand the Modules questions - I took this from GMAT club's quant book .

Q. |x+3| - |4-x| = |8+x|. How many solutions does the equation have?

I could not follow why the equal signs are considered ? e.g -8 <= x < -3 , -3 <= x < 4, x >=4 ..Appreciate if someone can explain the logic?


Solution: There are 3 key points here: -8, -3, 4. So we have 4 conditions:

a) x < -8. -(x+3) - (4-x) = -(8+x) --> x = -1. We reject the solution because our condition is not satisfied (-1 is not less than -8)

b) -8 <= x < -3. -(x+3) - (4-x) = (8+x) --> x = -15. We reject the solution because our condition is not satisfied (-15 is not within (-8,-3) interval.)

c) -3 <= x < 4 (x+3) - (4-x) = (8+x) --> x = 9. We reject the solution because our condition is not satisfied (-15 is not within (-3,4) interval.)

d) x >=4. (x+3) + (4-x) = (8+x) --> x = -1. We reject the solution because our condition is not satisfied (-1 is not more than 4)

thanks !

|x| = x when x >= 0 (x is either positive or 0)
|x| = -x when x < 0 (note here that you can put the equal to sign here as well x <= 0 because if x = 0,
|0| = 0 = -0 (all are the same)
So the '=' sign can be put with x > 0 or with x < 0. We usually put it with 'x > 0' for consistency.

When we are considering ranges, say,
x < -8 ------ x is less than -8
-8 <= x < -3 ------- x is greater than or equal to -8 but less than -3
-3 <= x < 4 ------- x is greater than or equal to -3 but less than 4
x >=4 -------- x is greater than or equal to 4

We need to include the transition points (-8, -3, 4) somewhere so we include them with greater than sign.

Mind you, we could have taken the ranges as
x <= -8
-8 < x <= -3
-3 < x <= 4
x > 4

The only point is that we don't include the transition points twice.

Hope the role of '=' sign is clear.

hi mam

in "a" when assumed that x is less than -8, the RHS modulus (8+x) is correctly negated. I am okay with this operation. Side by side, however, the LHS modulus (x + 3) is also negated...

what is the main logic underlying this negation ..? is this such that to make the LHS negative, some number should be subtracted from some bigger negatives..? if so, how can we conclude that (x+3) is bigger in value than is (4-x) ..?

thanks in advance ...


Consider this:
If x < -8 (i.e. x can be -9, -10, -11, -11.4, -20 and so on...),
what can you say about the sign of (x + 3) ?
Can we say that when x is less than -3, (x + 3) is negative? Sure. So if we know that x is less than -8, then obviously, it is less than -3 too. So in this case, (x+3) will certainly be negative.
Hence |x + 3| will also translate into -(x+3).

To see it easily, drawing a number line helps.

......................... (-8) ...................... (-3) ..................................................... (4) ...................................

For (x + 3), all values of x to the left of -3 will give |x + 3| = -(x + 3). So if x < -8, it is to the left of -3 and hence will lead to |x+3| = -(x + 3).
To the right of -3, all values of x will give |x + 3| = (x + 3).

For more on this, check: https://www.gmatclub.com/forum/veritas-prep-resource-links-no-longer-available-399979.html#/2014/0 ... -the-gmat/
avatar
parthabar
Joined: 20 Jul 2013
Last visit: 19 Apr 2020
Posts: 3
Own Kudos:
1
 [1]
Given Kudos: 61
GMAT Date: 09-30-2017
GRE 1: Q167 V156
Products:
GRE 1: Q167 V156
Posts: 3
Kudos: 1
 [1]
1
Kudos
Add Kudos
Bookmarks
Bookmark this Post
Hello Bunuel, Can you explain me the following.

When x >=4 ,
Then when we take x=4, we get
(x+3)-(4-x)=8+x i.e x=9 ,i am considering |x|=x,when x=0.
But when we take x=5, we get
(x+3)+(4-x)=x+5 i.e x=-1
How we decide now?

Posted from my mobile device
User avatar
Bunuel
User avatar
Math Expert
Joined: 02 Sep 2009
Last visit: 09 May 2026
Posts: 110,207
Own Kudos:
Given Kudos: 106,127
Products:
Expert
Expert reply
Active GMAT Club Expert! Tag them with @ followed by their username for a faster response.
Posts: 110,207
Kudos: 813,761
Kudos
Add Kudos
Bookmarks
Bookmark this Post
parthabar
Hello Bunuel, Can you explain me the following.

When x >=4 ,
Then when we take x=4, we get
(x+3)-(4-x)=8+x i.e x=9 ,i am considering |x|=x,when x=0.
But when we take x=5, we get
(x+3)+(4-x)=x+5 i.e x=-1
How we decide now?

Posted from my mobile device

When \(x\geq{4}\), then \(x+3\) is positive, \(4-x\) is negative and \(8+x\) is positive. Thus \(|x+3|=x+3\), \(|4-x|=-(4-x)=x-4\) and \(|8+x|=8+x\).

Therefore for this range \(|x+3| - |4-x| = |8+x|\): transforms to \(x+3 - (x-4) =8+x\): --> \(x=-1\). This solution is NOT OK, since \(x=-1\) is NOT in the range we consider (\(x\geq{4}\)).

Thus no value of x satisfies \(|x+3| - |4-x| = |8+x|\).

Check step-by-step solution here: https://gmatclub.com/forum/x-3-4-x-8-x- ... l#p1241355

Hope it helps.
avatar
parthabar
Joined: 20 Jul 2013
Last visit: 19 Apr 2020
Posts: 3
Own Kudos:
Given Kudos: 61
GMAT Date: 09-30-2017
GRE 1: Q167 V156
Products:
GRE 1: Q167 V156
Posts: 3
Kudos: 1
Kudos
Add Kudos
Bookmarks
Bookmark this Post
parthabar wrote:

Hello Bunuel, Can you explain me the following.

When x >=4 ,
Then when we take x=4, we get
(x+3)-(4-x)=8+x i.e x=9 ,i am considering |x|=x,when x=0.
But when we take x=5, we get
(x+3)+(4-x)=x+5 i.e x=-1
How we decide now?

Posted from my mobile device


When x≥4
x≥4
, then x+3
x+3
is positive, 4−x
4−x
is negative and 8+x
8+x
is positive. Thus |x+3|=x+3
|x+3|=x+3
, |4−x|=−(4−x)=x−4
|4−x|=−(4−x)=x−4
and |8+x|=8+x
|8+x|=8+x
.

Therefore for this range |x+3|−|4−x|=|8+x|
|x+3|−|4−x|=|8+x|
: transforms to x+3−(x−4)=8+x
x+3−(x−4)=8+x
: --> x=−1
x=−1
. This solution is NOT OK, since x=−1
x=−1
is NOT in the range we consider (x≥4
x≥4
).

Thus no value of x satisfies |x+3|−|4−x|=|8+x|
|x+3|−|4−x|=|8+x|
.

Hello Bunuel, Thanks for your reply.
I can understand the solution for x>4 , which turns out to be x=-1 and not in the range we considered.
But I am not able to understand the part when we take boundary value say x=4 , then 4-x=4-4=0 , and we know |x|=x ,x>=0, so why are we not considering this point in solution. So why are we considering |4-x| =-(4-x) only for x>4 ?
I think I am missing something here .Please explain.
User avatar
Bunuel
User avatar
Math Expert
Joined: 02 Sep 2009
Last visit: 09 May 2026
Posts: 110,207
Own Kudos:
Given Kudos: 106,127
Products:
Expert
Expert reply
Active GMAT Club Expert! Tag them with @ followed by their username for a faster response.
Posts: 110,207
Kudos: 813,761
Kudos
Add Kudos
Bookmarks
Bookmark this Post
parthabar
Hello Bunuel, Thanks for your reply.
I can understand the solution for x>4 , which turns out to be x=-1 and not in the range we considered.
But I am not able to understand the part when we take boundary value say x=4 , then 4-x=4-4=0 , and we know |x|=x ,x>=0, so why are we not considering this point in solution. So why are we considering |4-x| =-(4-x) only for x>4 ?
I think I am missing something here .Please explain.

The solution considers the range when x >= 4, so it must be true for x = 4 too bit let's still consider x = 4 case separately.

If x = 4, then |x+3|−|4−x|=|8+x| will be |4+3|−|4−4|=|8+4| --> |7|−|0|=|12| --> 7 = 12, which is NOT true, so x = 4 is not a solution for given equation. This is exactly what we got in the solution, when we considered x > = 4 range: NO solution in this range.
User avatar
Bhu750
Joined: 19 Nov 2020
Last visit: 12 Dec 2023
Posts: 85
Own Kudos:
Given Kudos: 121
Location: India
GMAT 1: 700 Q48 V38
GPA: 3.6
Kudos
Add Kudos
Bookmarks
Bookmark this Post
please advice.. I knew how to solve this question.. despite that I took 4 mins.. what do we do when such questions come up.. is there any faster way to do or do we solve or skip?
avatar
shubhamjha22
avatar
Current Student
Joined: 11 Dec 2016
Last visit: 11 May 2025
Posts: 27
Own Kudos:
Given Kudos: 60
Location: India
GMAT 1: 740 Q50 V41
GPA: 3
GMAT 1: 740 Q50 V41
Posts: 27
Kudos: 12
Kudos
Add Kudos
Bookmarks
Bookmark this Post
Hey Everyone,

I had a query.

|x+3| – |4-x| = |8+x|==> -|4-x|=|x+8|-|x+3|
Now the RHS of the equation is always 5 for all values of x
therefore,

-|4-x|=5

Solving for x we get x=-1 or x= 9

if x= -1
Equation==> |-1+3|-|4-(-1)|=|8-1|==> |2|-|5|=|7| LHS=/=RHS so not applicable

if x=9
Equation==> |9+3|-|4-9|=|8+9|==> |12|-|-5|=|17| LHS=/=RHS so not

There fore Option A is correct.

What is the flaw in this solution. and if there is no flaw then can I replicate this for other such questions? In what situations would this logic not work and why? Can anyone help?

Many thanks in advance
User avatar
sanjayparihar16
Joined: 12 Apr 2018
Last visit: 03 Dec 2024
Posts: 153
Own Kudos:
Given Kudos: 422
Posts: 153
Kudos: 146
Kudos
Add Kudos
Bookmarks
Bookmark this Post
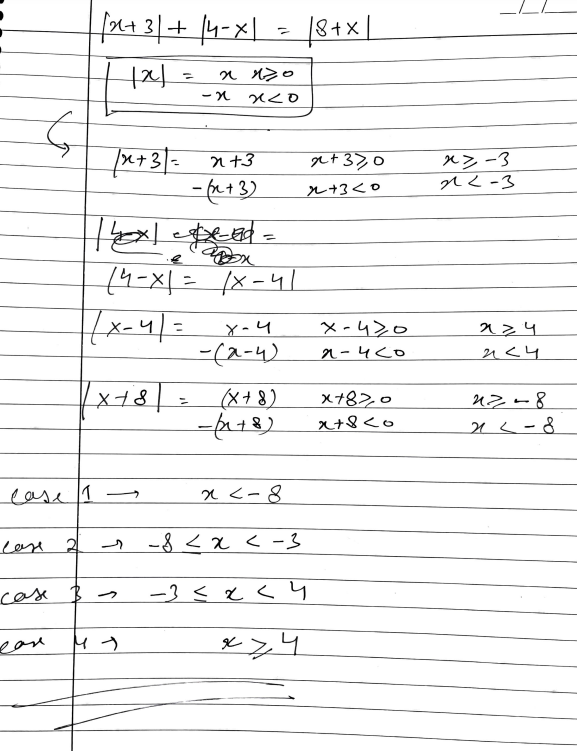
For the people who are confused about where to use equal sign, I have a possible solution. Always stick to the standard definition of mod.

|x| = x when x>=0 OR -x when x<0

Please see attached the snippet for reference
Attachments

Mod Soln.png
Mod Soln.png [ 149.5 KiB | Viewed 1960 times ]

File comment: Way to assign equal sign in mod
Mod Solution.pdf [367.63 KiB]
Downloaded 76 times

User avatar
sanjayparihar16
Joined: 12 Apr 2018
Last visit: 03 Dec 2024
Posts: 153
Own Kudos:
Given Kudos: 422
Posts: 153
Kudos: 146
Kudos
Add Kudos
Bookmarks
Bookmark this Post
shubhamjha22
Hey Everyone,

I had a query.

|x+3| – |4-x| = |8+x|==> -|4-x|=|x+8|-|x+3|
Now the RHS of the equation is always 5 for all values of x
therefore,

-|4-x|=5

Solving for x we get x=-1 or x= 9

if x= -1
Equation==> |-1+3|-|4-(-1)|=|8-1|==> |2|-|5|=|7| LHS=/=RHS so not applicable

if x=9
Equation==> |9+3|-|4-9|=|8+9|==> |12|-|-5|=|17| LHS=/=RHS so not

There fore Option A is correct.

What is the flaw in this solution. and if there is no flaw then can I replicate this for other such questions? In what situations would this logic not work and why? Can anyone help?

Many thanks in advance

Hello Shubham,
Your reasoning got flawed when you took RHS as always 5.
It depends on the range of x in which you're opening the mod.

You need to open the mod in all the 4 number line ranges I have drawn on the snippet.
Attachments

mod soln 2.png
mod soln 2.png [ 40.74 KiB | Viewed 1986 times ]

   1   2   3   
Moderators:
Math Expert
110207 posts
Tuck School Moderator
852 posts