Last visit was: 20 Apr 2026, 17:38 It is currently 20 Apr 2026, 17:38
Close
GMAT Club Daily Prep
Thank you for using the timer - this advanced tool can estimate your performance and suggest more practice questions. We have subscribed you to Daily Prep Questions via email.

Customized
for You

we will pick new questions that match your level based on your Timer History

Track
Your Progress

every week, we’ll send you an estimated GMAT score based on your performance

Practice
Pays

we will pick new questions that match your level based on your Timer History
Not interested in getting valuable practice questions and articles delivered to your email? No problem, unsubscribe here.
Close
Request Expert Reply
Confirm Cancel
User avatar
Archit3110
User avatar
Major Poster
Joined: 18 Aug 2017
Last visit: 20 Apr 2026
Posts: 8,625
Own Kudos:
Given Kudos: 243
Status:You learn more from failure than from success.
Location: India
Concentration: Sustainability, Marketing
GMAT Focus 1: 545 Q79 V79 DI73
GMAT Focus 2: 645 Q83 V82 DI81
GPA: 4
WE:Marketing (Energy)
Products:
GMAT Focus 2: 645 Q83 V82 DI81
Posts: 8,625
Kudos: 5,190
Kudos
Add Kudos
Bookmarks
Bookmark this Post
User avatar
FranCifu
Joined: 11 Jun 2024
Last visit: 24 Nov 2024
Posts: 44
Own Kudos:
Given Kudos: 1
Posts: 44
Kudos: 30
Kudos
Add Kudos
Bookmarks
Bookmark this Post
User avatar
boomer1ang
Joined: 13 Oct 2022
Last visit: 13 Apr 2026
Posts: 50
Own Kudos:
Given Kudos: 49
Posts: 50
Kudos: 57
Kudos
Add Kudos
Bookmarks
Bookmark this Post
User avatar
busygmatbee1290
Joined: 27 Dec 2023
Last visit: 23 Nov 2025
Posts: 50
Own Kudos:
Given Kudos: 116
Location: India
Concentration: Finance, Strategy
GMAT Focus 1: 755 Q87 V90 DI86
GPA: 10/10
GMAT Focus 1: 755 Q87 V90 DI86
Posts: 50
Kudos: 75
Kudos
Add Kudos
Bookmarks
Bookmark this Post
­\(\frac{R=300}{f00}\)
 To find female population in 2020, use the equation of percent change:
­\(­\frac{f20 - f00 * 100 }{ f00 = F}\)
­\(­\frac{m20 - m00 * 100 }{ m00 = M}\)
Rearrange the above equations to get values of f20 and m20 and the Ratio of 2020 will equal:
­\(­\frac{f20}{m20­} = ­\frac{f00}{m00}*­\frac{F+100}{M+100}­\)
User avatar
Raxit85
Joined: 22 Feb 2018
Last visit: 02 Aug 2025
Posts: 761
Own Kudos:
1,201
 [1]
Given Kudos: 135
Posts: 761
Kudos: 1,201
 [1]
1
Kudos
Add Kudos
Bookmarks
Bookmark this Post
F Percentage change in female voters,
M Percentage change in male voters.
Let F0 represent the number of female voters in the year 2000. Since R is the ratio of female to male voters in the year 2000, we have:
R= F0/3300
so. F0=R×3300
So, Number of Female Voters in 2000 = R×3300.

F2020 = number of female and male voters in 2020,
M2020 = number of male voters in 2020,­
F2020​=F0​×(1+F/100​)
M2020=3300×(1+M/100)F2020/M2020​​=F0​×(1+F/100​)/ 3300×(1+M/100​)

We can subsitute F0 as R×3300

F2020/M2020​​=​R×3300×(1+F/100​)/ 3300×(1+M/100​)
F2020/M2020​​=​R×(1+F/100​)/(1+M/100​)
Upon simiplification, we get the answer for Female to Male Voters in the Year 2020. 
F2020/M2020​​=​R×(100+F​)/(100+M​).
User avatar
xhym
Joined: 11 Jun 2024
Last visit: 20 Oct 2025
Posts: 65
Own Kudos:
Given Kudos: 7
Location: Canada
Products:
Posts: 65
Kudos: 83
Kudos
Add Kudos
Bookmarks
Bookmark this Post
 
Bunuel
In the town of Xionia, elections were held every 5 years, between the year 2000 to the year 2020. During the 5 elections held in this period, the number of female voters increased while the number of male voters decreased from 3300 in the year 2000.

In the given expressions, F and M represent the percentage change in the number of female and male voters, respectively, over the 5 elections, and R represents the ratio of female to male voters in the year 2000. The percentage change in voters is calculated as \(\frac{\text{number of new voters – number of old voters}}{\text{number of old voters}}* 100\).

Select the expression that represents the Number of female voters in the year 2000, and select the expression that represents the Ratio of female to male voters in the year 2020. Make only two selections, one in each column.
­
­
 


This question was provided by Experts' Global
for the GMAT Olympics 2024

Win over $30,000 in prizes such as Courses, Admissions Consulting, and more

 

­
­# of male voters in 2000 = 3300 voters
­# of female voters in 2000 = \(F_i\) voters
Ratio of female to male voters:\( R = \frac{F_i}{3300}\) so \(F_i = 3300R\)­ -> answer for number of female voters

Let F = % change in the number of female voters
Let M = % change in the number of male voters

Number of female voters in 2020 = \(F_i * (1 + \frac{F}{100})\)
Number of female voters in 2020 = \(3300R* (1 + \frac{F}{100})\)

Number of male voters in 2020 = \(3300* (1 - \frac{M}{100})\) (note: subtraction due to decrease in male voters)

Ratio of female to male voters in 2020 = \(3300R* (1 + \frac{F}{100}) / 3300* (1 - \frac{M}{100})\)­

Ratio of female to male voters in 2020 = \(R* (1 + \frac{F}{100}) / (1 - \frac{M}{100})\) -> answer for ratio of female to male voters in 2020

­
User avatar
Jolex
Joined: 26 Apr 2024
Last visit: 15 Oct 2024
Posts: 20
Own Kudos:
17
 [1]
Given Kudos: 2
Posts: 20
Kudos: 17
 [1]
1
Kudos
Add Kudos
Bookmarks
Bookmark this Post
1. Number of female voters in the year 2000: 3300R
This formula calculates how many female voters there were in 2000. We start with the number of male voters, which is 3300, and then multiply by the ratio of female to male voters, represented by R. This way, we find out how many female voters there were based on the number of male voters.

2.*Ratio of female to male voters in the year 2020: R * 100 + F / 100 + M**
This formula shows the ratio of female to male voters in 2020. It starts with the initial ratio of female to male voters (R), then adds the percentage changes in female voters (F) and male voters (M) over five elections. By doing this, the formula accounts for the changes in voter numbers and gives us the ratio of female to male voters in 2020.

Posted from my mobile device
User avatar
Anugmat740
Joined: 31 Aug 2021
Last visit: 19 Oct 2024
Posts: 95
Own Kudos:
117
 [1]
Given Kudos: 156
Posts: 95
Kudos: 117
 [1]
1
Kudos
Add Kudos
Bookmarks
Bookmark this Post
2000
M= 3300 , F=X= 3300R

R= X/3300
F=3300R

2020
M=2000= 3300(100+M), F= X(100+F) = 3300R(100+M)

Ratio = X(100+F)/ 3300(100+M)

Ratio= 3300R(100+F) / 3300(100+M)
Ratio = R*(100+F)/(100+M)

IMO
1- 3300R

2- R*(100+F)/(100+M)­
User avatar
Dee889
Joined: 12 Dec 2023
Last visit: 01 Jan 2025
Posts: 2
Own Kudos:
1
 [1]
Posts: 2
Kudos: 1
 [1]
1
Kudos
Add Kudos
Bookmarks
Bookmark this Post
­=11pt2000=11pt2020=11ptMale population: 3300 =11ptFrom 2000 to 2020 the number of females grew and the number of males decreased (so proportion of female to male over the latter years increased further) =11ptR = F:M  which is R=F/M 

=11ptR=F/3300 

=11pt3300R = F(number of females in 2000)=11pt%growth for female (1+additional %)

=11pt%growth for males (1-additional %) 

=11ptThus 

=11ptR=100+F/ 100-M
User avatar
Avicii
Joined: 04 Jul 2024
Last visit: 23 Jul 2024
Posts: 14
Own Kudos:
15
 [1]
Posts: 14
Kudos: 15
 [1]
1
Kudos
Add Kudos
Bookmarks
Bookmark this Post
Answer:

(i) Given ratio of female to male voters in 2000 is R and no. of male voters is 3300,
Number of female voters in the year 2000 = R*3300

(ii) Let f be the female population in 2020 and m be the male population in 2020,

Percentage change in female voters from 2000 to 2020 F = (f - 3300R)*100/3300R
Percentage change in male voters from 2000 to 2020 M = (m - 3300)*100/3300

f/m = R∗(100+F)/(100+M)


Ratio of female to male voters in the year 2020 = f/m
User avatar
thelastskybender
Joined: 26 Dec 2022
Last visit: 10 Feb 2026
Posts: 129
Own Kudos:
76
 [1]
Given Kudos: 50
Location: India
GMAT 1: 710 Q50 V36
GMAT 1: 710 Q50 V36
Posts: 129
Kudos: 76
 [1]
1
Kudos
Add Kudos
Bookmarks
Bookmark this Post
Since R represents the ratio of female to male voters in the year 2000, so #female in 2000=R*(#male)=>3300R -------[#x means number of x]
Now regarding the ratio of female to male in 2020, we know that it's not gonna be the one of first three. Let's focus on the last three options:

we know that ratio will increase as the percentage change in the number of female i.e. F will increase so It'll be +F in the numerator. We also know that ratio will increase if the percentage change in males (negative) will increase so in the denominator it has to be -M. Hence option 4 is the correct one.

Option 6 is wrong because as there is a negative sign before M and M is already negative. Hence any big negative change in M will decrease the ratio instead of increasing it.
User avatar
VivekSri
Joined: 01 May 2022
Last visit: 05 Feb 2026
Posts: 468
Own Kudos:
769
 [1]
Given Kudos: 117
Location: India
WE:Engineering (Consulting)
Posts: 468
Kudos: 769
 [1]
1
Kudos
Add Kudos
Bookmarks
Bookmark this Post
Bunuel
In the town of Xionia, elections were held every 5 years, between the year 2000 to the year 2020. During the 5 elections held in this period, the number of female voters increased while the number of male voters decreased from 3300 in the year 2000.

In the given expressions, F and M represent the percentage change in the number of female and male voters, respectively, over the 5 elections, and R represents the ratio of female to male voters in the year 2000. The percentage change in voters is calculated as \(\frac{\text{number of new voters – number of old voters}}{\text{number of old voters}}* 100\).

Select the expression that represents the Number of female voters in the year 2000, and select the expression that represents the Ratio of female to male voters in the year 2020. Make only two selections, one in each column.
­
­
 


This question was provided by Experts' Global
for the GMAT Olympics 2024

Win over $30,000 in prizes such as Courses, Admissions Consulting, and more

 

­
­
Attachments

Screenshot_20240709_141321_Samsung Notes.jpg
Screenshot_20240709_141321_Samsung Notes.jpg [ 225.68 KiB | Viewed 847 times ]

User avatar
iabhish1509
Joined: 09 Jan 2024
Last visit: 01 Feb 2026
Posts: 125
Own Kudos:
63
 [1]
Given Kudos: 200
Location: India
GPA: 8
Posts: 125
Kudos: 63
 [1]
1
Kudos
Add Kudos
Bookmarks
Bookmark this Post
Since ratio of female to male in 2000 is given = R
i.e. F_old / M_old = R

and M_old = 3300 (given)

Therefore, F_old = M_old * R -> F_old = 3300 * R

Given, percentage change of both male and female as M and F respectively.

We can then find out F_new and M_new by using percentage change formula given in question.

Final answer => F_new / M_new = R*(F+100) / (M+100)
User avatar
Catman
Joined: 03 Aug 2017
Last visit: 12 Feb 2025
Posts: 314
Own Kudos:
333
 [1]
Given Kudos: 219
Products:
Posts: 314
Kudos: 333
 [1]
1
Kudos
Add Kudos
Bookmarks
Bookmark this Post
In 2000
Male Voters = 3300
Female Voters = X

In 2020
Male Voters = \(\frac{3300* (100+M)}{100}\)

Female Voters = \(\frac{X* (100+F)}{100}\)

Also, R represents the ratio of female to male voters in the year 2000.
R= \(\frac{X}{3300}\)
X= 3300R

Number of female voters in the year 2000= 3300R


Ratio of female to male voters in the year 2020 = \(\frac{3300R*(100+F)}{ 3300(100+M) }\)= \(R∗\frac{(100+F)}{(100+M­)}\)­
User avatar
AviNFC
Joined: 31 May 2023
Last visit: 10 Apr 2026
Posts: 306
Own Kudos:
Given Kudos: 5
Posts: 306
Kudos: 366
Kudos
Add Kudos
Bookmarks
Bookmark this Post
If \(\frac{female}{3300}\) = R
female= 3300R

Female increases: (1 + \(\frac{F}{100}\) )*3300R
Male Decreases: (1- \(\frac{M}{100}\))*3300

Taking their ratio
R* \(\frac{ 100+F }{ 100-M} \)­

 ­
avatar
d_patel
Joined: 16 May 2024
Last visit: 24 Nov 2024
Posts: 57
Own Kudos:
71
 [1]
Given Kudos: 13
GMAT Focus 1: 685 Q89 V84 DI79
GMAT Focus 1: 685 Q89 V84 DI79
Posts: 57
Kudos: 71
 [1]
1
Kudos
Add Kudos
Bookmarks
Bookmark this Post
­Question stem looks a little hard to understand and options are big. 
Let's assume numbers to get our answers. 

We are given that,
population of male in 2000 = \(M_o\) = 3300.

Then, assume that
population of female in 2000 = \(W_o\) = 6600.

Ratio of female to male in 2000 
\(R_o\) = \(\frac{6600}{3300} = 2\)­

Answer-1
Number of female voters in the year 2000 = \(R*3300\) = \(2 * 3300 = 6600\) = \(W_o\)

Now, 
Population of men decreases and women increases from 2000 to 2020.
population of male in 2020 = \(M_n\) = 1650.
population of female in 2020 = \(W_n\) = 9900.
Ratio of female to male in 2020 
\(R_n\) = \(\frac{9900}{1650} = 6\)­

And
F = \(\frac{number of new female voters – number of old female voters }{ number of old female voters}∗100\) = \( 100 * \frac{(9900 - 6600) }{ 6600} \) = \(50\)

M = \(\frac{number of new male voters – number of old male voters }{ number of old male voters}∗100\) = \( 100 * \frac{(1650-3300) }{ 3300} \) = \(-50\)

We need new ratio to equal 6.
Using values of F and M into formula only 

\(R_o∗\frac{100+F}{100+M}\) gives us right answer.

= \(2 * \frac{100 + 50 }{ 100 - 50}\)
= \(6\)
 ­
 ­Final answers:
3300R and \(R_o∗\frac{100+F}{100+M}\)
 ­
avatar
DG1989
Joined: 16 Feb 2023
Last visit: 24 Dec 2024
Posts: 140
Own Kudos:
Given Kudos: 9
Location: India
Concentration: Finance, Technology
Schools: Kellogg '26
GPA: 4
Schools: Kellogg '26
Posts: 140
Kudos: 310
Kudos
Add Kudos
Bookmarks
Bookmark this Post
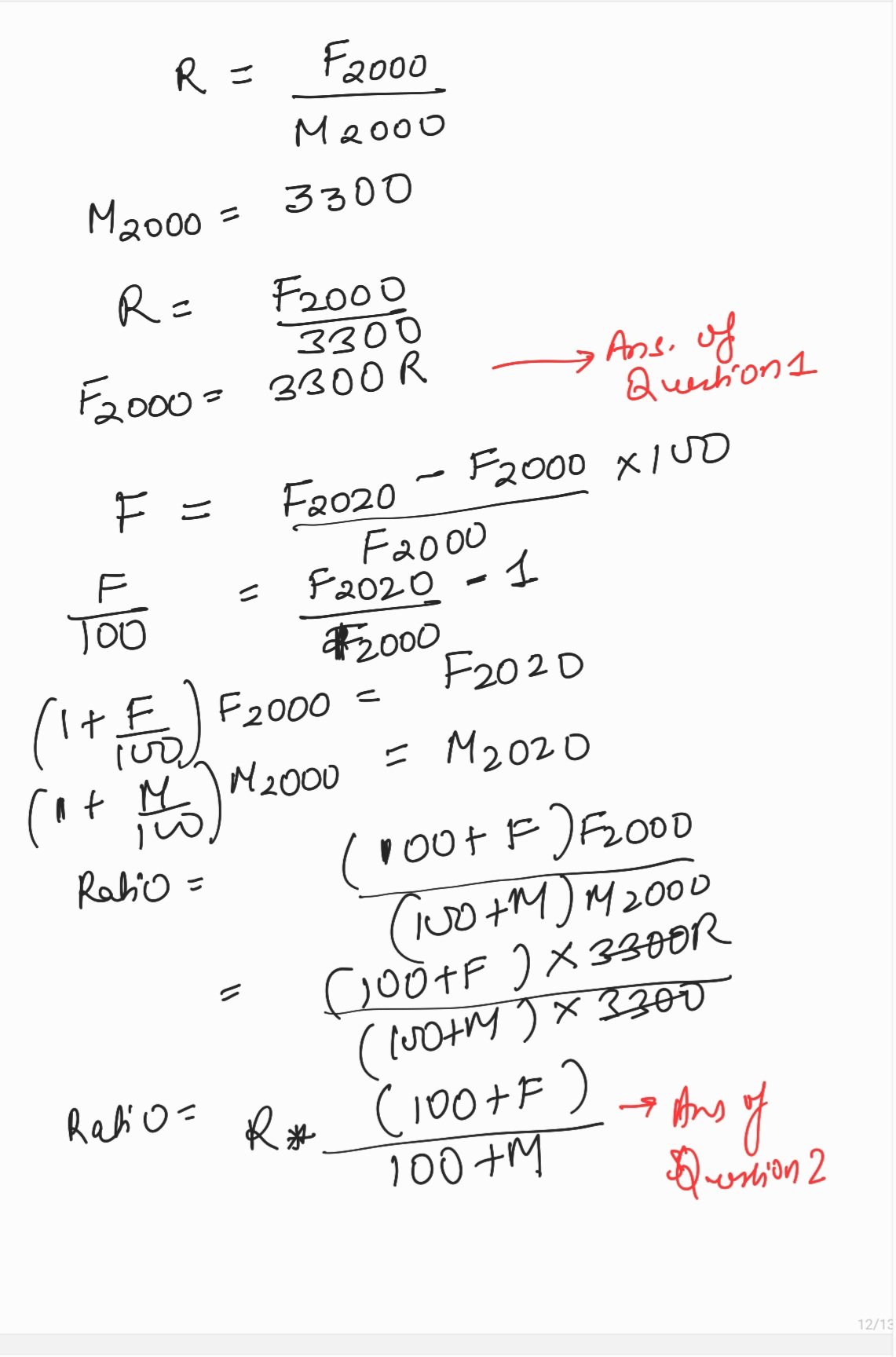
­In the town of Xionia, elections were held every 5 years, between the year 2000 to the year 2020. During the 5 elections held in this period, the number of female voters increased while the number of male voters decreased from 3300 in the year 2000.
In the given expressions, F and M represent the percentage change in the number of female and male voters, respectively, over the 5 elections, and R represents the ratio of female to male voters in the year 2000. The percentage change in voters is calculated as 

\(\frac{(number of new voters – number of old voters)}{(number of old voters)}\) * 100

Select the expression that represents the number of female voters in the year 2000, and select the expression that represents the ratio of female to male voters in the year 2020. Make only two selections, one in each column.­



Solution:
In 2000
No. of male voters = 3300
Let No. of female voters = x
Since R is the ratio of No. of Female voters to No. of male voters in 2000
Thus, R = x / 3300
x = 3300R

In 2020
Let No. of male voters = A
Let No. of female voters = B
Also, % change in male voters = M
% change in female voters = F
Since M = \(\frac{(number of new voters – number of old voters)}{(number of old voters)}\) * 100
Thus, M = \(\frac{(A - 3300) }{ 3300}\) * 100
Since no. of male voters decreased in 2020, we will take into account the sign change in the numerator
Thus, M = \(\frac{(3300 - A) }{ 3300}\) * 100
Thus A = 3300 - 33M

Also, F = \(\frac{(number of new voters – number of old voters)}{(number of old voters)}\) * 100
Thus, F = \(\frac{(B - 3300R) }{ 3300R}\) * 100
B = 33RF + 3300R

We need to find the ratio of female voters to male voters in 2020
i.e., \(\frac{B}{A}\) = \(\frac{(33RF + 3300R) }{ (3300 - 33M)}\)
\(\frac{B}{A}\) = \(\frac{33R(F + 100) }{ 33(100 - M)}\)
\(\frac{B}{A}\) = \(\frac{R(100 + F) }{ (100 - M)}\)
  • No. of Female voters in 2000 = 3300R
  • Ratio of Female voters to Male voters in 2020 = \(\frac{R(100 + F) }{ (100 - M)}\)




 ­
Attachment:
GMAT-Club-Forum-7bs7587f.png
GMAT-Club-Forum-7bs7587f.png [ 74.67 KiB | Viewed 439 times ]
User avatar
kavyavishnoi02
Joined: 09 Dec 2023
Last visit: 30 Jun 2025
Posts: 43
Own Kudos:
Given Kudos: 7
Posts: 43
Kudos: 61
Kudos
Add Kudos
Bookmarks
Bookmark this Post
We are given that in 2000, no. of males = 3300. And R = no. of females/ no. males. This gives us R = no. of females/ 3300. Thus, no. of females in 2000 = 3300R. Therefore, 1st question solved.

For the second part we need to find out the ratio of no. of females to that of males in 2020.
Let the no. of females in 2020 be x and males be y. Thus, we need to find out x/y.

Given that F is the % change in females from 2000 to 2020 and M is the % change in the males from 2000 to 2020.

Therefore, F = (x - 3300R)­/ 33R and M = (3300 - y)/ 33.

This gives us, x = F(33R) + 3300R and y = 3300 - 33M.

Now, x/y = [F(33R) + 3300R] / (3300 - 33M)
= 33R(F + 100) / 33(100 - M) 
= R * (F + 100) / (100 - M). 
User avatar
RishS94
Joined: 05 Jan 2020
Last visit: 27 Feb 2025
Posts: 266
Own Kudos:
Given Kudos: 118
Location: India
Concentration: Strategy, Sustainability
Schools: ISB '25 (D)
GMAT 1: 690 Q49 V35
GPA: 3.5
Products:
Schools: ISB '25 (D)
GMAT 1: 690 Q49 V35
Posts: 266
Kudos: 143
Kudos
Add Kudos
Bookmarks
Bookmark this Post
Something is wrong with question ?
User avatar
SomeOneUnique
Joined: 17 Mar 2019
Last visit: 26 Dec 2024
Posts: 119
Own Kudos:
126
 [1]
Given Kudos: 41
Location: India
Posts: 119
Kudos: 126
 [1]
1
Kudos
Add Kudos
Bookmarks
Bookmark this Post
­                   Female        Male
Year 2000                       3300
Year 2020      

As per given information, R=Female2000 /Male2000
Female2000 =RxMale2000
Female2000 =Rx(3300)
Number of female voters in the year 2000 = 3300R (Option A)



Now, for part 2: 
R2020 = Female2020/Male2020        equation (i)

We know
Female
2020= Female2000 + Female2000x%change
Female
2020= Female2000 + Female2000xF%
Female2020= Female2000(1 + F%)
Female2020= Female2000(1 + F/100)
Female
2020= Female2000(100 + F)/100       equation (ii)

Similarly,
Male
2020= Male2000 + Male2000x%change
Male
2020= Male2000Male2000xM%
Male2020= Male2000(1 + M%)
Male2020= Male2000(1 + M/100)
Male
2020= Male2000(100 + M)/100             equation (iii)

By substituting equations (ii) and (iii) in equation (i), we get
R2020 = {Female2000(100 + F)/100} / {Male2000(100 + M)/100}
R2020 = [Female2000(100 + F)]/[Male2000(100 + M)​​​​​​​]       (Cancelled 100 from numerator and denominator)
R2020 = R(100 + F)/(100 + M)​                                  (Substituted R in placce of Female2000 /Male2000 which was calculated above, for part 1)
Ratio of female to male voters in the year 2020 = R(100 + F)/(100 + M)  (Option D)
 
   1   2   3   4   5   
Moderators:
Math Expert
109701 posts
498 posts
210 posts