Last visit was: 18 May 2026, 04:55 It is currently 18 May 2026, 04:55
Close
GMAT Club Daily Prep
Thank you for using the timer - this advanced tool can estimate your performance and suggest more practice questions. We have subscribed you to Daily Prep Questions via email.

Customized
for You

we will pick new questions that match your level based on your Timer History

Track
Your Progress

every week, we’ll send you an estimated GMAT score based on your performance

Practice
Pays

we will pick new questions that match your level based on your Timer History
Not interested in getting valuable practice questions and articles delivered to your email? No problem, unsubscribe here.
Close
Request Expert Reply
Confirm Cancel
User avatar
Bunuel
User avatar
Math Expert
Joined: 02 Sep 2009
Last visit: 18 May 2026
Posts: 110,577
Own Kudos:
Given Kudos: 106,294
Products:
Expert
Expert reply
Active GMAT Club Expert! Tag them with @ followed by their username for a faster response.
Posts: 110,577
Kudos: 815,503
 [34]
5
Kudos
Add Kudos
28
Bookmarks
Bookmark this Post
Most Helpful Reply
User avatar
Bunuel
User avatar
Math Expert
Joined: 02 Sep 2009
Last visit: 18 May 2026
Posts: 110,577
Own Kudos:
815,503
 [4]
Given Kudos: 106,294
Products:
Expert
Expert reply
Active GMAT Club Expert! Tag them with @ followed by their username for a faster response.
Posts: 110,577
Kudos: 815,503
 [4]
1
Kudos
Add Kudos
3
Bookmarks
Bookmark this Post
General Discussion
User avatar
meet459
User avatar
Goizueta / Scheller Moderator
Joined: 03 Jun 2024
Last visit: 29 May 2025
Posts: 85
Own Kudos:
96
 [1]
Given Kudos: 32
Location: India
GMAT Focus 1: 675 Q90 V81 DI79
GPA: 8.55
Products:
1
Kudos
Add Kudos
Bookmarks
Bookmark this Post
User avatar
yipmewmew
Joined: 26 May 2021
Last visit: 15 Jul 2025
Posts: 227
Own Kudos:
Given Kudos: 789
Location: India
GMAT 1: 640 Q44 V33
GMAT 2: 730 Q48 V42
Products:
GMAT 2: 730 Q48 V42
Posts: 227
Kudos: 83
Kudos
Add Kudos
Bookmarks
Bookmark this Post
1) No of female voters = Male * R. R is female/male ratio in 2000.
We know males are 3300 in 2000. So females= 3300R. Answer is A.

2) Next we need to get to females in 2020/ males in 2020. Use the percentage changes given to calculate this, F and M.

F = (females in 2020 - 3300R)/3300R * 100. Likewise for M.

So this females in 2020/ males in 2020 become = R(33F + 3300)/(33M +3300) . Answer is D.­
User avatar
Kinshook
User avatar
Major Poster
Joined: 03 Jun 2019
Last visit: 18 May 2026
Posts: 6,005
Own Kudos:
5,878
 [1]
Given Kudos: 163
Location: India
GMAT 1: 690 Q50 V34
WE:Engineering (Transportation)
Products:
GMAT 1: 690 Q50 V34
Posts: 6,005
Kudos: 5,878
 [1]
1
Kudos
Add Kudos
Bookmarks
Bookmark this Post
Given: In the town of Xionia, elections were held every 5 years, between the year 2000 to the year 2020. During the 5 elections held in this period, the number of female voters increased while the number of male voters decreased from 3300 in the year 2000.
In the given expressions, F and M represent the percentage change in the number of female and male voters, respectively, over the 5 elections, and R represents the ratio of female to male voters in the year 2000. The percentage change in voters is calculated as \(\frac{\text{number of new voters – number of old voters}}{\text{number of old voters}}* 100\).

Asked: Select the expression that represents the Number of female voters in the year 2000, and select the expression that represents the Ratio of female to male voters in the year 2020. Make only two selections, one in each column.
Let the number of female voters in the year 2000 be x.
The number of male voters in the year 2000 = 3300
R represents the ratio of female to male voters in the year 2000 = R =  x/3300
The number of female voters in the year 2000  = x = 3300R 

Let the number of female voters and male voters in the year 2020 be f & m respectively
(f - 3300R)/3300R = F/100
f/3300R = (F+100)/100
f = 33R(F+100)

(m - 3300)/3300 = M/100
m/3300 = (M+100)/100
m = 33(M+100)

f/m = R(F+100)/(M+100)
Ratio of female to male voters in the year 2020 = f/m = R(F+100)/(M+100)
User avatar
arkanilchaki1204
Joined: 28 Jun 2023
Last visit: 13 Dec 2025
Posts: 20
Own Kudos:
15
 [1]
Given Kudos: 57
Location: India
Posts: 20
Kudos: 15
 [1]
1
Kudos
Add Kudos
Bookmarks
Bookmark this Post
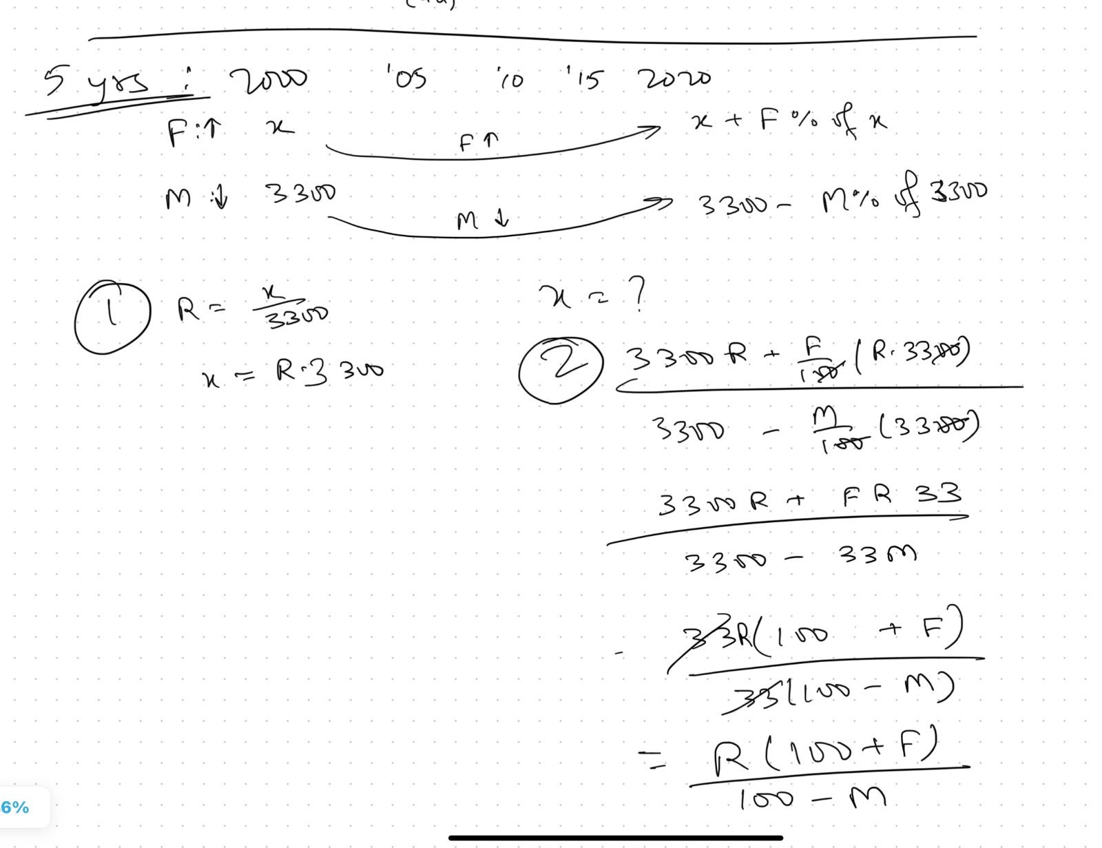
­The working is posted in the image
Attachments

image.jpg
image.jpg [ 3.52 MiB | Viewed 5714 times ]

User avatar
nisheshj
Joined: 15 Jan 2024
Last visit: 19 Apr 2026
Posts: 15
Own Kudos:
Given Kudos: 350
Location: Nepal
Concentration: General Management, Operations
GMAT Focus 1: 615 Q85 V79 DI77
GPA: 6.4/10
WE:Engineering (Manufacturing)
GMAT Focus 1: 615 Q85 V79 DI77
Posts: 15
Kudos: 11
Kudos
Add Kudos
Bookmarks
Bookmark this Post
Bunuel
In the town of Xionia, elections were held every 5 years, between the year 2000 to the year 2020. During the 5 elections held in this period, the number of female voters increased while the number of male voters decreased from 3300 in the year 2000.

In the given expressions, F and M represent the percentage change in the number of female and male voters, respectively, over the 5 elections, and R represents the ratio of female to male voters in the year 2000. The percentage change in voters is calculated as \(\frac{\text{number of new voters – number of old voters}}{\text{number of old voters}}* 100\).

Select the expression that represents the Number of female voters in the year 2000, and select the expression that represents the Ratio of female to male voters in the year 2020. Make only two selections, one in each column.
­
­
 


This question was provided by Experts' Global
for the GMAT Olympics 2024

Win over $30,000 in prizes such as Courses, Admissions Consulting, and more

 

­
­Hope below solved image will suffice. Do let me know if something's wrong!­
Attachments

WhatsApp Image 2024-07-08 at 8.51.28 PM.jpeg
WhatsApp Image 2024-07-08 at 8.51.28 PM.jpeg [ 237.87 KiB | Viewed 5556 times ]

User avatar
Purnank
Joined: 05 Jan 2024
Last visit: 29 Apr 2026
Posts: 680
Own Kudos:
622
 [1]
Given Kudos: 167
Location: India
Concentration: General Management, Strategy
GMAT Focus 1: 635 Q88 V76 DI80
Products:
GMAT Focus 1: 635 Q88 V76 DI80
Posts: 680
Kudos: 622
 [1]
1
Kudos
Add Kudos
Bookmarks
Bookmark this Post
­In the town of Xionia, elections were held every 5 years, between the year 2000 to the year 2020. During the 5 elections held in this period, the number of female voters increased while the number of male voters decreased from 3300 in the year 2000.

Year        2000 -- ------------------- -------------------- 2020
Males      3300                                                       ?
Females  3300*R

R represents the ratio of female to male voters in the year 2000.
R = (Female 2000) / (Male 2000)

Female 2000 = 3300*R

In the given expressions, F and M represent the percentage change in the number of female and male voters, respectively, The percentage change in voters is calculated as (number of new voters – number of old voters)∗100 / number of old voters = M or F

For M = ( (Male 2020) - (Male 2000) / (Male 2000) ) * 100
M = (Male 2020) - 3300 / 33
(Male 2020) = 33M + 3300
(Male 2020) = 33(M + 100) - Eq1
Similarly F = ( (Female 2020) - (Female 2000) / (Female 2000) ) * 100
F = (Female 2020) - 3300R / 33R
(Female 2020) = 33R (F + 100) - Eq2

Ratio of female to male voters in the year 2020
From equation 1 and 2
(Female 2020) / (Male 2020) = R (F + 100) / (M + 100)
User avatar
Abhijeet24
Joined: 06 Apr 2023
Last visit: 23 Feb 2025
Posts: 48
Own Kudos:
54
 [1]
Given Kudos: 30
GMAT Focus 1: 615 Q83 V79 DI80
GPA: 3.94
Products:
GMAT Focus 1: 615 Q83 V79 DI80
Posts: 48
Kudos: 54
 [1]
1
Kudos
Add Kudos
Bookmarks
Bookmark this Post
Bunuel
In the town of Xionia, elections were held every 5 years, between the year 2000 to the year 2020. During the 5 elections held in this period, the number of female voters increased while the number of male voters decreased from 3300 in the year 2000.

In the given expressions, F and M represent the percentage change in the number of female and male voters, respectively, over the 5 elections, and R represents the ratio of female to male voters in the year 2000. The percentage change in voters is calculated as \(\frac{\text{number of new voters – number of old voters}}{\text{number of old voters}}* 100\).

Select the expression that represents the Number of female voters in the year 2000, and select the expression that represents the Ratio of female to male voters in the year 2020. Make only two selections, one in each column.
­
­
 


This question was provided by Experts' Global
for the GMAT Olympics 2024

Win over $30,000 in prizes such as Courses, Admissions Consulting, and more

 

­


Attachment:
GMAT-Club-Forum-226dxe7o.png
GMAT-Club-Forum-226dxe7o.png [ 83.31 KiB | Viewed 1762 times ]
Attachment:
GMAT-Club-Forum-ly5dvssn.png
GMAT-Club-Forum-ly5dvssn.png [ 56.68 KiB | Viewed 1767 times ]
User avatar
Elite097
Joined: 20 Apr 2022
Last visit: 08 May 2026
Posts: 735
Own Kudos:
Given Kudos: 337
Location: India
GPA: 3.64
Posts: 735
Kudos: 570
Kudos
Add Kudos
Bookmarks
Bookmark this Post
1) Number of female voters in the year 2000:
Number of female voters in the year 2000/ Number of male voters in the year 2000= R
Thus, Number of female voters in the year 2000/3300=R
Number of female voters in the year 2000= 3300R
Ans A

2) Ratio of female to male voters in the year 2020
Let R= a/b where a= female voters in 2000 and b= male voters in 2000
New ratio= a(1+F/100)/b(1-M/100)= a(100+F)/b(100-M)= R*(100+F)/(100-M)
Ans E
User avatar
captain0612
Joined: 10 Apr 2020
Last visit: 17 May 2026
Posts: 111
Own Kudos:
Given Kudos: 130
Location: India
GMAT Focus 1: 675 Q90 V82 DI78
GMAT 1: 690 Q48 V35
GPA: 7
Products:
GMAT Focus 1: 675 Q90 V82 DI78
GMAT 1: 690 Q48 V35
Posts: 111
Kudos: 124
Kudos
Add Kudos
Bookmarks
Bookmark this Post
number of female voters in 2000 = 3300(R)
Ratio of female to male voters in the year 2020 = R(100 + F)/(100 - M)

­Given:
                 Voters in 2000                 Voters in 2020
Female                x                                    A
Male                  3300                                B

Let the population of female and male voters in 2020 be A and B respectively
F and M are percentage change in the voters respectively for male and female.
R = (x/3300)

Find:
1. Number of female voters in the year 2000
2. Ratio of female to male voters in the year 2020

number of female voters in 2000 = 3300(R)

Ratio of female to male in 2020 = A/B

F = ((A - x)/x)*100
A = F(x)/100 + x

M = ((3300 - B)/3300)*100
B = 3300 - M(3300)/100

A/B = (F(x)/100 + x)/(3300 - M(3300)/100)
Substitute x = 3300R to get

A/B = R(100 + F)/(100 - M)
Ratio of female to male voters in the year 2020 = R(100 + F)/(100 - M)
User avatar
devashish2407
Joined: 28 Jul 2022
Last visit: 06 Sep 2025
Posts: 58
Own Kudos:
Given Kudos: 139
Posts: 58
Kudos: 101
Kudos
Add Kudos
Bookmarks
Bookmark this Post
Bunuel
In the town of Xionia, elections were held every 5 years, between the year 2000 to the year 2020. During the 5 elections held in this period, the number of female voters increased while the number of male voters decreased from 3300 in the year 2000.

In the given expressions, F and M represent the percentage change in the number of female and male voters, respectively, over the 5 elections, and R represents the ratio of female to male voters in the year 2000. The percentage change in voters is calculated as \(\frac{\text{number of new voters – number of old voters}}{\text{number of old voters}}* 100\).

Select the expression that represents the Number of female voters in the year 2000, and select the expression that represents the Ratio of female to male voters in the year 2020. Make only two selections, one in each column.
­
­
 


This question was provided by Experts' Global
for the GMAT Olympics 2024

Win over $30,000 in prizes such as Courses, Admissions Consulting, and more

 

­
­Consider number of Female and Male in 2000 = a and b respectively. 
Consider number of Female and Male in 2020 = x and y respectively. 

Ratio Female to Male for 2000 = a/b = R.
Number of Male in 2000 = b = 3300. 

Now for 1st column to find the number of Female we will multiply Ratio with 3300. Thus

\(R = a/b\)
\(R= a/3300\)
Thus \(a =  R3300\)

For 2nd column we need to find new ratio that is x/y. 

to get the x from the question we will use the below formula. 

F = \(\frac{\text{x – a}}{\text{a}}* 100\)
thus solving the above equation we will get. 
\(x = (f(1+a))/100\)

Similarly will solve for M. 

We will get \(y = (b(1-M))/100\)
Note here when solving we need to consider that b>y thus we will have to change the signs. 

taking ratio of x/y, we will get 

\(a/b * (1+F)/(1-M)\)

thus \(R * (1+F)/(1-M).\)

Which is option E. 
User avatar
1616
Joined: 26 Apr 2024
Last visit: 26 Aug 2024
Posts: 40
Own Kudos:
Given Kudos: 25
Location: India
Concentration: Entrepreneurship, Strategy
Schools: HEC '26
GMAT Focus 1: 635 Q86 V79 DI79
GPA: 9.07
WE:Engineering (Manufacturing)
Schools: HEC '26
GMAT Focus 1: 635 Q86 V79 DI79
Posts: 40
Kudos: 28
Kudos
Add Kudos
Bookmarks
Bookmark this Post
­Here is my explanation : ­
Attachment:
GMAT-Club-Forum-n6i03vbu.png
GMAT-Club-Forum-n6i03vbu.png [ 418.46 KiB | Viewed 1737 times ]
User avatar
nikaro
Joined: 10 Dec 2023
Last visit: 20 Nov 2024
Posts: 178
Own Kudos:
274
 [1]
Given Kudos: 42
Location: India
GPA: 4
Products:
Posts: 178
Kudos: 274
 [1]
1
Kudos
Add Kudos
Bookmarks
Bookmark this Post
1- Number of female voters in 2000 = Ratio * number of male in 2000 = 3300R
2- (100+F)/100 = y (2020)/y(2000)
similarly, (100+M)/100 = x(2020)/x(2000)
Solving this, we get Ratio (2020) = R * (100+F)/(100+M)
User avatar
Suboopc
Joined: 14 Mar 2023
Last visit: 02 Jul 2025
Posts: 82
Own Kudos:
139
 [2]
Given Kudos: 5
Posts: 82
Kudos: 139
 [2]
2
Kudos
Add Kudos
Bookmarks
Bookmark this Post
Since we have the formula, we can assume that M will take care of the negative sign as well.

We are given R = No. of female voters/ No. of male voters=> No. of females = 3300R

using the given formula and calculating the number of voters in 2020 for both, we can get the ratio to be R*(100+F)/(100+M)
User avatar
sd2710
Joined: 11 Dec 2023
Last visit: 15 Apr 2026
Posts: 10
Own Kudos:
Given Kudos: 36
Location: India
Concentration: General Management, Finance
GPA: 2.9
WE:Design (Technology)
Posts: 10
Kudos: 6
Kudos
Add Kudos
Bookmarks
Bookmark this Post
­Males = 3300 2000
R=Ratio F/M 
Therefore, Females @2000= 3300*R__________________________1

2020
Males = 33M+3300
Females = 33RF+3300R, 

Dividing these two would lead to our ans. 
User avatar
vishal_gupta
Joined: 11 May 2023
Last visit: 14 Jun 2025
Posts: 77
Own Kudos:
118
 [1]
Given Kudos: 46
Location: India
Concentration: General Management, Strategy
GMAT Focus 1: 675 Q88 V81 DI82
GPA: 76%
WE:Engineering (Non-Profit and Government)
GMAT Focus 1: 675 Q88 V81 DI82
Posts: 77
Kudos: 118
 [1]
1
Kudos
Add Kudos
Bookmarks
Bookmark this Post
Bunuel
In the town of Xionia, elections were held every 5 years, between the year 2000 to the year 2020. During the 5 elections held in this period, the number of female voters increased while the number of male voters decreased from 3300 in the year 2000.

In the given expressions, F and M represent the percentage change in the number of female and male voters, respectively, over the 5 elections, and R represents the ratio of female to male voters in the year 2000. The percentage change in voters is calculated as \(\frac{\text{number of new voters – number of old voters}}{\text{number of old voters}}* 100\).

Select the expression that represents the Number of female voters in the year 2000, and select the expression that represents the Ratio of female to male voters in the year 2020. Make only two selections, one in each column.
­
­
 


This question was provided by Experts' Global
for the GMAT Olympics 2024

Win over $30,000 in prizes such as Courses, Admissions Consulting, and more

 

­
Number of male voters in the year 2000= 3300
Directly we can calculate,­
Number of female voters in the year 2000 = R * 3300
and Ratio of female to male voters in the year 2020 = 
R∗(100+F)/(100+M)
User avatar
KshtriyaNaveen
Joined: 19 Nov 2019
Last visit: 20 Nov 2024
Posts: 10
Own Kudos:
17
 [1]
Given Kudos: 33
Posts: 10
Kudos: 17
 [1]
1
Kudos
Add Kudos
Bookmarks
Bookmark this Post
­Let consider , 

 No. of. Female in 2000 = F1
 No. of Female in 2020 = F2 ( F2> F1 )
 No of males in 2000 = 3300
 No of males in 2020 = M2 ( M2 < 3300 )

 F= (F2-F1)/F1*100
 M= (M2-3300)/3300*100
 R= F1/3300 --> Equation (1)

Quesiton asked the Number of female voters in the year 2000, and select the expression that represents the Ratio of female to male voters in the year 2020. Make only two selections,

1. Number of female voters in the year 2000 = F1? 
    From Equation 1, F1= R*3300

2. ratio of female to male voters in the year 2020 ==> F2/M2?

    F2 = F1*F/100 + F1
    M2 = M*33+3300 = 33(M+100)
 
  F2/M2 = F1 /100( F+100) / 33 ( M +100) ==> F1(F +100 )/ 3300 ( M+100 ) = 
R∗100+F100+M
User avatar
OmerKor
Joined: 24 Jan 2024
Last visit: 20 Jan 2026
Posts: 127
Own Kudos:
Given Kudos: 150
Location: Israel
GMAT Focus 1: 675 Q85 V82 DI83
GMAT Focus 1: 675 Q85 V82 DI83
Posts: 127
Kudos: 152
Kudos
Add Kudos
Bookmarks
Bookmark this Post
Hello everyone,

Good luck and a great competition to everyone.
May the green team win :)
My explanation for this question:

my approach in TPA is to first jot down what the question is asking for.
here we need to find the number of Females in 2000 (#F) and the ratio of F:M in 2020.
alright, lets start with the easy one.
Since we wrote down what we are looking for, we have collected the relevant information to answer the question and have not been filled with details.
Number of men (#M) in 2000 = 3300.
R=the ratio (#F/#M)
Our equation: (#F/#M) = R (lets fill the #M in 3300)
(#F/3300) = R => #F = 3300R :) (Here is the first answer)

now comes the tricky part.
we know women went up and men went down.
R= is the ration of #F/#M in 2000.
M= the percent change of Men. (M is negative, such as -10%)
F= the percent change of Women. (F is positive such as +10%)

in order to get the new ratio of 2020. we need to multiply our Ratio of 2000 by our percent change.
i can think of 2 possible answers: D and F
Because we know that M if negative. we don't want to make him positive by double negative.
so F is the correct answer.
User avatar
palsg
Joined: 25 Apr 2023
Last visit: 17 Jan 2025
Posts: 5
Own Kudos:
5
 [1]
Given Kudos: 6
Posts: 5
Kudos: 5
 [1]
1
Kudos
Add Kudos
Bookmarks
Bookmark this Post
R= f 2000/ m 2000
R= f 2000/ 3300
So, f 2000= 3300 R

Solving equations
F = (f 2020 - 3300 R)/ 3300 R
M= (m 2020- 3300)/ 3300

We get f 2020/ m 2020 as R * ( (F+100)/ (M+100) )
 1   2   3   4   5   
Moderators:
Math Expert
110577 posts
498 posts
263 posts