Last visit was: 24 May 2026, 21:08 It is currently 24 May 2026, 21:08
Close
GMAT Club Daily Prep
Thank you for using the timer - this advanced tool can estimate your performance and suggest more practice questions. We have subscribed you to Daily Prep Questions via email.

Customized
for You

we will pick new questions that match your level based on your Timer History

Track
Your Progress

every week, we’ll send you an estimated GMAT score based on your performance

Practice
Pays

we will pick new questions that match your level based on your Timer History
Not interested in getting valuable practice questions and articles delivered to your email? No problem, unsubscribe here.
Close
Request Expert Reply
Confirm Cancel
User avatar
thelastskybender
Joined: 26 Dec 2022
Last visit: 10 May 2026
Posts: 127
Own Kudos:
76
 [1]
Given Kudos: 49
Location: India
GMAT 1: 710 Q50 V36
GMAT 1: 710 Q50 V36
Posts: 127
Kudos: 76
 [1]
1
Kudos
Add Kudos
Bookmarks
Bookmark this Post
User avatar
wwcd
Joined: 21 Apr 2024
Last visit: 12 May 2025
Posts: 46
Own Kudos:
Given Kudos: 83
Posts: 46
Kudos: 53
Kudos
Add Kudos
Bookmarks
Bookmark this Post
User avatar
VivekSri
Joined: 01 May 2022
Last visit: 05 Feb 2026
Posts: 468
Own Kudos:
779
 [1]
Given Kudos: 117
Location: India
WE:Engineering (Consulting)
Posts: 468
Kudos: 779
 [1]
1
Kudos
Add Kudos
Bookmarks
Bookmark this Post
User avatar
LUBABAYIMER
Joined: 01 Jul 2024
Last visit: 23 Sep 2024
Posts: 54
Own Kudos:
16
 [1]
Given Kudos: 3
Posts: 54
Kudos: 16
 [1]
1
Kudos
Add Kudos
Bookmarks
Bookmark this Post
(1) The probability that the mouse will find only one of the two treats is 1/5.
to find the probability that the mouse will find neither of the treats must requires additional information
so, statement (1) is not sufficient
(2) The probability that the mouse will find both treats is 3/10
to find the probability that the mouse will find neither of the treats must requires additional information
so, statement (2) is not sufficient
But it is possible to find a solution to the problem by combining both methods
P(N)+P(E)+P(B)=1 where P(N)=probability of neither of the two , p(E)= probability of either of the two , P(B)=probability of both treats
P(N)+1/5+3/10=1
P(N)=1-1/2
P(N)=1/2 or 50% chance
so, the answer is C BOTH statements (1) and (2) TOGETHER are sufficient to answer the question asked, but NEITHER statement ALONE is sufficient to answer the question asked.
User avatar
Argh123
Joined: 16 Aug 2022
Last visit: 06 Dec 2025
Posts: 24
Own Kudos:
Given Kudos: 120
Posts: 24
Kudos: 28
Kudos
Add Kudos
Bookmarks
Bookmark this Post
To find: probability (not finding both treats)

1. Probability of finding one treat is 1/5. So probability of finding both the treats 1/5*1/5. So probability of finding neither of the treat 1-1/25 . Sufficient.

2. Probability of finding both the treats 3/10 . probability of not finding both the treat 7/10 sufficient
User avatar
smile2
Joined: 17 Jul 2018
Last visit: 25 Mar 2026
Posts: 59
Own Kudos:
85
 [1]
Given Kudos: 29
Posts: 59
Kudos: 85
 [1]
1
Kudos
Add Kudos
Bookmarks
Bookmark this Post
Let's say A and B are two treats, and the combinations would be as follows
(I)    A         B
(II)   A         not B
(III)  not A   B
(IV)  not A   not B

We are asked to find probablity of (IV) 

Since we are asked to find the probability that the mouse will find neither of the treats, and the statement 1 gives us the probability that the mouse will find only one of the two treats.
Meaning, we are given probability of II and III, then we will not be able to compute IV without knowing III. 

Since we are asked to find the probability that the mouse will find neither of the treats, and the statement 2 gives us the probability that the mouse will find both treats.
Meaning, we are given probability of I, then we will not be able to compute IV without knowing II and III. 

When Statements 1 and 2 are combined, we will be able to compute IV as we now know I, II and III. (1 - (sum of both probabilities))

The right ans choice is C. 


 ­
User avatar
Suboopc
Joined: 14 Mar 2023
Last visit: 02 Jul 2025
Posts: 82
Own Kudos:
139
 [1]
Given Kudos: 5
Posts: 82
Kudos: 139
 [1]
1
Kudos
Add Kudos
Bookmarks
Bookmark this Post
­In a science experiment, a mouse is placed in a labyrinth with two different treats hidden in it. What is the probability that the mouse will find neither of the treats?

(1) The probability that the mouse will find only one of the two treats is 1/5.
(2) The probability that the mouse will find both treats is 3/10.

                    treat 1         not treat 1
     treat 2          a                    b  

not treat 2         c                    ?(x)

Statement 1: \(c + b = \frac{1}{5}\)

a+b+c+x = 1
a + 1/5 + x = 1 
a is unknown.
Insufficient.

Statement 2: \(a = \frac{3}{10}\)

a+b+c+x = 1
3/10 + b + c + x = 1
b+c is unknown.
Insufficient.

Both together.
x = 1/2
sufficient

C­
User avatar
CKHE
Joined: 11 Mar 2019
Last visit: 02 Jan 2025
Posts: 83
Own Kudos:
85
 [1]
Given Kudos: 199
Location: India
GMAT 1: 720 Q49 V39
GMAT 2: 690 Q49 V36
GMAT 2: 690 Q49 V36
Posts: 83
Kudos: 85
 [1]
1
Kudos
Add Kudos
Bookmarks
Bookmark this Post
(1) P(either I or II) = 1/5. Not sufficient
(2) P (I & II) = 3/10. Not sufficient

Probability of finding neither treats = 1- (P(I or II) +P (I &II))
Therefore Both together are sufficient.
Ans C
avatar
DG1989
Joined: 16 Feb 2023
Last visit: 24 Dec 2024
Posts: 140
Own Kudos:
314
 [1]
Given Kudos: 9
Location: India
Concentration: Finance, Technology
Schools: Kellogg '26
GPA: 4
Schools: Kellogg '26
Posts: 140
Kudos: 314
 [1]
1
Kudos
Add Kudos
Bookmarks
Bookmark this Post
­In a science experiment, a mouse is placed in a labyrinth with two different treats hidden in it. What is the probability that the mouse will find neither of the treats?

(1) The probability that the mouse will find only one of the two treats is \(\frac{1}{5}\)
(2) The probability that the mouse will find both treats is \(\frac{3}{10}\)

Solution: Let's denote
P(A) as the probability that the mouse will find treat A
P(B) as the probability that the mouse will find treat B
P(A∪B) as the probability that the mouse will find at least one treat
P(A∩B) as the probability that the mouse will find both treats

We need to find the probability that the mouse will not find either treat A or treat B.
P(neither A nor B) = 1 - P(A∪B)
So we need the value of P(A∪B)

Statement 1: The probability that the mouse will find only one of the two treats is \(\frac{1}{5}\)
This means, P(only one treat) = \(\frac{1}{5}\)
But P(only one treat) = P(A∪B) - P(A∩B)
P(A∪B) = P(A∩B) + \(\frac{1}{5}\)
We don't know P(A∩B)
INSUFFICIENT

Statement 2: The probability that the mouse will find both treats is 3/10
This means, P(A∩B) = \(\frac{3}{10}\)
As we know, P(A∪B) = P(A) + P(B) - P(A∩B)
P(A∪B) = P(A) + P(B) - \(\frac{3}{10}\)
We don't know P(A) or P(B)
INSUFFICIENT

Combining statements 1 & 2
P(A∪B) = P(A∩B) + P(only one treat)
P(A∪B) = \(\frac{3}{10}\) + \(\frac{1}{5}\)
P(A∪B) = \(\frac{1}{2}\)

Thus, P(neither A nor B) = 1 - P(A∪B)
P(neither A nor B) = 1 - \(\frac{1}{2}\)
P(neither A nor B) = \(\frac{1}{2}\)
SUFFICIENT

The correct answer is Option C­
User avatar
kavyavishnoi02
Joined: 09 Dec 2023
Last visit: 30 Jun 2025
Posts: 43
Own Kudos:
61
 [1]
Given Kudos: 7
Posts: 43
Kudos: 61
 [1]
1
Kudos
Add Kudos
Bookmarks
Bookmark this Post
­Let's define the events:

A = finding the first treat
B = finding the second treat

We want to find P(neither treat) = P(A' ∩ B')

Using the formula:

P(A' ∩ B') = 1 - P(A ∪ B)

We can find P(A ∪ B) using the formula:

P(A ∪ B) = P(A) + P(B) - P(A ∩ B)

We know:

P(A ∩ B) = 3/10 (from statement (2))

But we don't know P(A) or P(B) individually. We only know:

P(A ∪ B) - P(A ∩ B) = 1/5 (from statement (1))

Substituting, we get:

P(A ∪ B) = 1/5 + 3/10 = 1/2

Now, we can find P(A' ∩ B'):

P(A' ∩ B') = 1 - P(A ∪ B) = 1 - 1/2 = 1/2

Therefore, the probability that the mouse will find neither treat is 1/2.

Both statements together are sufficient to answer the question, but neither statement alone is sufficient. 
Thus, the answer is option (C)
User avatar
iabhish1509
Joined: 09 Jan 2024
Last visit: 01 Feb 2026
Posts: 125
Own Kudos:
63
 [1]
Given Kudos: 200
Location: India
GPA: 8
Posts: 125
Kudos: 63
 [1]
1
Kudos
Add Kudos
Bookmarks
Bookmark this Post
Statement (1) tells us the probability that the mouse finds only one of the treats is 1/5

Statement (2) tells us the probability that the mouse finds both treats is 3/10

Using both statements together:

We know the probability of finding only one treat is 1/5
.
We know the probability of finding both treats is 3/10
.
We find that the probability of finding at least one treat (i.e., P(A∪B)) is 1/2
.
So, the probability of finding neither treat is
1 − 1/2 = 1/2

Therefore, both statements together are sufficient to answer the question, but neither alone is sufficient.
User avatar
1111fate
Joined: 19 Oct 2021
Last visit: 24 May 2026
Posts: 90
Own Kudos:
Given Kudos: 1,123
Location: India
Products:
Posts: 90
Kudos: 63
Kudos
Add Kudos
Bookmarks
Bookmark this Post
The Answer is E
FIrst statement gives probability to find only 1 treat. If we subtract it from 1 we will get probability of 2nd treat/ Both treat/ Neither treat. Hence Insufficient
2nd Statement Gives probability of both treat. However By this information we can only find probability of either and neither.Hence insufficient.
Taking both statements, we still cannot find out the probability of neither. As both statements will give us probability of finding neither and 2nd treat. Hence insufficient.
User avatar
captain0612
Joined: 10 Apr 2020
Last visit: 24 May 2026
Posts: 111
Own Kudos:
124
 [1]
Given Kudos: 130
Location: India
GMAT Focus 1: 675 Q90 V82 DI78
GMAT 1: 690 Q48 V35
GPA: 7
Products:
GMAT Focus 1: 675 Q90 V82 DI78
GMAT 1: 690 Q48 V35
Posts: 111
Kudos: 124
 [1]
1
Kudos
Add Kudos
Bookmarks
Bookmark this Post
­Choice C

Given: Mouse is placed in a labyrinth with 2 different treats hidden.

Question: Probability that mouse will find neither of the treats?

We need to know either Individual probabilities of finding the treat (or) Probability of finding atleast one treat

P(finding atleast one treat) = 1-  P(Finding 1 treat) + P(Finding both the treats)

Statement 1:

Probability of finding only 1 treat = 1/5

From this statement we don't know the probability of the mouse finding both treats.

P(Finding neither treat) = 1-  P(Finding 1 treat) + P(Finding both the treats)

We only have 1 part of the equation, Hence InSufficient

Statement 2:


Probability of finding both the treats = 3/10

Here, again Probability of finding both the treats != (not equal) Probability of finding atleast one treat

Hence, InSufficient

Statement 1 and Statement 2:

From 1 and 2 we get individual entities of the equation:

P(Finding neither treat) = 1-  P(Finding 1 treat) + P(Finding both the treats)
= 1 -( 1/5 + 3/10)
= 1 -(5/10)
= 1- 1/2 = 1/2

Hence We need both statements Choice C
 
User avatar
Chimz
Joined: 19 May 2024
Last visit: 27 Nov 2025
Posts: 91
Own Kudos:
Given Kudos: 5
Location: India
Concentration: General Management, Sustainability
Posts: 91
Kudos: 52
Kudos
Add Kudos
Bookmarks
Bookmark this Post
Ans: E

This is independent event

the mouse will find neither of the treats = P(A'nB') = P(A')XP(B')

1) P(A).P(B')+P(A').P(B) = 1/5

2) P(AnB) = 3/10 : with this we cannot find P (A'nB')

Combining both is also insufficient to determine P(A').P(B')
avatar
d_patel
Joined: 16 May 2024
Last visit: 24 Nov 2024
Posts: 57
Own Kudos:
71
 [1]
Given Kudos: 13
GMAT Focus 1: 685 Q89 V84 DI79
GMAT Focus 1: 685 Q89 V84 DI79
Posts: 57
Kudos: 71
 [1]
1
Kudos
Add Kudos
Bookmarks
Bookmark this Post
From the question stem let's assume,
Mouse finds first treat = P(A)
Mouse finds second treat = P(B)
Mouse finds both treats = P(A ∩ B)
Mouse finds at least one treat = P(A U B)

Then, 
Mouse finds neither of the treats = 1 - P(A U B)

Statement-1
The probability that the mouse will find only one of the two treats is 1/5.
There are two cases - Mouse either finds first treat only or second treat only
P(A only) = P(A) - P(A ∩ B)
P(B only) = P(B) - P(A ∩ B)

P(A only) + P(B only) = 0.2
P(A) + P(B) - 2P(A ∩ B) = 0.2

We do not know any further values.

So, statement-1 is not sufficient

Statement-2

The probability that the mouse will find both treats is 3/10.

P(A ∩ B) = 0.3

We can't find P(A U B) from this.

So, statement-2 is not sufficient

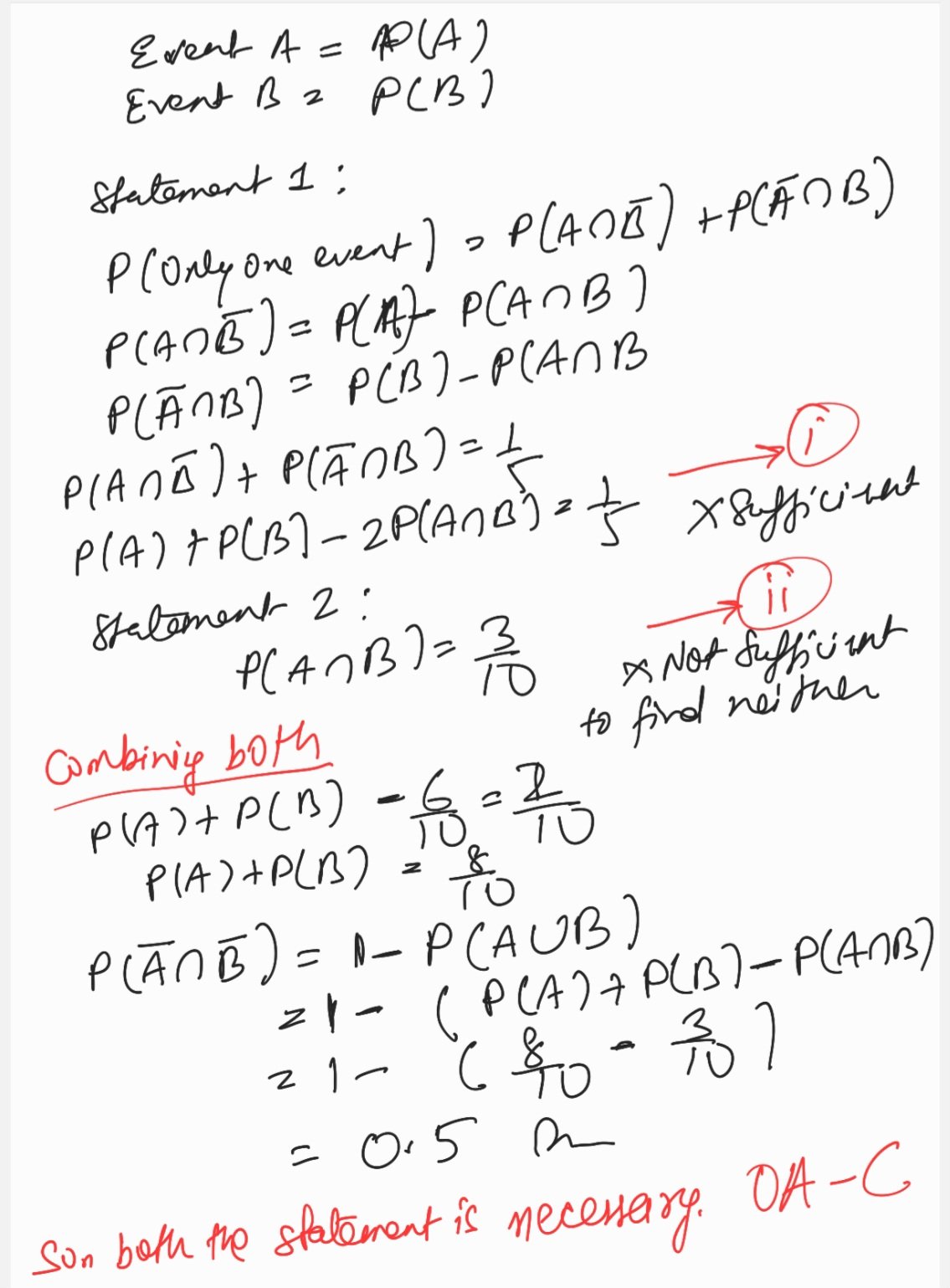
Combining statement-1 and statement-2

We know P(A ∩ B) = 0.3.

P(A) + P(B) - 2P(A ∩ B) = 0.2
P(A) + P(B) = 0.2 + 2 * 0.3
P(A) + P(B) = 0.8

And we know from set theory that,

P(A) + P(B) - P(A ∩ B) = P(A U B)
0.8 - 0.3 = P(A U B)
P(A U B) = 0.5

So, mouse finds neither of treats = 1 - P(A U B) = 1 - 0.5 = 0.5

Answer - C
 BOTH statements (1) and (2) TOGETHER are sufficient to answer the question asked, but NEITHER statement ALONE is sufficient to answer the question asked.­
User avatar
ananta9399
Joined: 30 Apr 2023
Last visit: 16 Mar 2026
Posts: 12
Own Kudos:
20
 [1]
Given Kudos: 25
Location: India
GMAT 1: 600 Q49 V23
GPA: 8.4
GMAT 1: 600 Q49 V23
Posts: 12
Kudos: 20
 [1]
1
Kudos
Add Kudos
Bookmarks
Bookmark this Post
Bunuel
­In a science experiment, a mouse is placed in a labyrinth with two different treats hidden in it. What is the probability that the mouse will find neither of the treats?

(1) The probability that the mouse will find only one of the two treats is 1/5.
(2) The probability that the mouse will find both treats is 3/10.

A. Statement (1) ALONE is sufficient, but statement (2) alone is not sufficient to answer the question asked.
B. Statement (2) ALONE is sufficient, but statement (1) alone is not sufficient to answer the question asked.
C. BOTH statements (1) and (2) TOGETHER are sufficient to answer the question asked, but NEITHER statement ALONE is sufficient to answer the question asked.
D. EACH statement ALONE is sufficient to answer the question asked.
E. Statements (1) and (2) TOGETHER are NOT sufficient to answer the question asked, and additional data specific to the problem are needed.

 


This question was provided by GMAT Club
for the GMAT Club Olympics Competition

Win over $30,000 in prizes such as Courses, Tests, Private Tutoring, and more

 

­
 ­
I. ­P(only 1) = 1/5 = 2/10   insufficient alone
II. P(both) = 3/10     insufficient alone
P(neither) = 1- P(only 1) - P(both) = 1-2/10 - 3/10 = 5/10 .... I&II sufficient together.
User avatar
Michael909
Joined: 13 Jun 2023
Last visit: 11 May 2026
Posts: 31
Own Kudos:
49
 [1]
Given Kudos: 73
Status:Aspirant
Location: Singapore
Concentration: Entrepreneurship, Strategy
WE:Asset Management (Finance)
Posts: 31
Kudos: 49
 [1]
1
Kudos
Add Kudos
Bookmarks
Bookmark this Post
Bunuel
­In a science experiment, a mouse is placed in a labyrinth with two different treats hidden in it. What is the probability that the mouse will find neither of the treats?

(1) The probability that the mouse will find only one of the two treats is 1/5.
(2) The probability that the mouse will find both treats is 3/10.

A. Statement (1) ALONE is sufficient, but statement (2) alone is not sufficient to answer the question asked.
B. Statement (2) ALONE is sufficient, but statement (1) alone is not sufficient to answer the question asked.
C. BOTH statements (1) and (2) TOGETHER are sufficient to answer the question asked, but NEITHER statement ALONE is sufficient to answer the question asked.
D. EACH statement ALONE is sufficient to answer the question asked.
E. Statements (1) and (2) TOGETHER are NOT sufficient to answer the question asked, and additional data specific to the problem are needed.

 


This question was provided by GMAT Club
for the GMAT Club Olympics Competition

Win over $30,000 in prizes such as Courses, Tests, Private Tutoring, and more

 

­
 ­
Say, P(A) = x, P(B) = y

Sentence 1: 
P(A).P(B')+P(A').P(B) = 1/5
x(1−y)+(1−x)y=1/5.......eq. 1

Sentence 2:
P(A∩B) = 3/10
P(AUB) = x+y-​P(A∩B)
P(AUB) = x+y-​​​​​​​​3/10.........eq. 2

Solving equation 1 and 2 will give the value of x and y and P(AUB).
We can find P(AUB) with values of x and y.
P(neither treat) = 1-P(AUB)
Therefore, option C is the correct answer.
User avatar
BGbogoss
Joined: 27 Jan 2024
Last visit: 07 Feb 2026
Posts: 38
Own Kudos:
58
 [1]
Given Kudos: 2
Posts: 38
Kudos: 58
 [1]
1
Kudos
Add Kudos
Bookmarks
Bookmark this Post
­In the science experiment, the mouse is placed in a labyrinth with two different treats hidden in it. The probability p that the mouse will find neither of the treats is : p = 1- (q+r)
with q The probability that the mouse will find only one treat
and r The probability that the mouse will find both treats is 3/10

(1) The probability that the mouse will find only one of the two treats is 1/5.
This statement alone gives us only q and we are left with r as an unknown.

(2) The probability that the mouse will find both treats is 3/10.
This statement alone gives us only r and we are left with q as an unknown.

Both statement together complete the equation and are sufficient to find p.
Answer C
User avatar
pianogirl
Joined: 28 Sep 2022
Last visit: 17 Feb 2026
Posts: 47
Own Kudos:
76
 [1]
Given Kudos: 6
Posts: 47
Kudos: 76
 [1]
1
Kudos
Add Kudos
Bookmarks
Bookmark this Post
We are looking for the probability that the mouse will find neither of the treats \( P(\overline{T_{1}}\ and\ \overline{T_{2}}) = P(\overline{T_{1}\ or\ T_{2}}) = 1-P(T_{1}\ or\ T_{2}\\
)= 1-P(T _{1}\ xor\ T_{2}) - P(T_{1}\ and\ T_{2})\)

(1) The probability that the mouse will find only one of the two treats is 1/5.

This gives us the value of \( P(T _{1}\ xor\ T_{2})\) but we still need the probability of the mouse finding them both
The statement (1) is not sufficient

(2) The probability that the mouse will find both treats is 3/10.

This gives us the value of \( P(T _{1}\ and\ T_{2})\) but we still need the probability of the mouse finding one of the treats.
The statement (1) is not sufficient


Combining the two statements allows us to compute the probability of finding neither of the treats. The right answer is C.

Posted from my mobile device
User avatar
YogeshBardia
Joined: 24 Jun 2023
Last visit: 19 Jan 2025
Posts: 21
Own Kudos:
41
 [1]
Given Kudos: 18
Schools: LBS MiM "26
GPA: 4
WE:Analyst (Consulting)
Schools: LBS MiM "26
Posts: 21
Kudos: 41
 [1]
1
Kudos
Add Kudos
Bookmarks
Bookmark this Post
­Option A talks about only one treat's probability. and so we don't know the probability of the mouse finding the other treat, and hence we cannot answer if the mouse will find the second treat or not.

Option B talks only about the probability of finding them both, but not the probability of mouse only finding either one of the treats and so we cannot answer the question.

Now by combining both the probabilities we can find out the probability of the mouse finding the other treat and then we can calculate the mouse finding neither of the treats. Hence Option-C imo.
   1   2   3   4   5   
Moderators:
Math Expert
110801 posts
502 posts
270 posts