Last visit was: 18 May 2026, 00:44 It is currently 18 May 2026, 00:44
Close
GMAT Club Daily Prep
Thank you for using the timer - this advanced tool can estimate your performance and suggest more practice questions. We have subscribed you to Daily Prep Questions via email.

Customized
for You

we will pick new questions that match your level based on your Timer History

Track
Your Progress

every week, we’ll send you an estimated GMAT score based on your performance

Practice
Pays

we will pick new questions that match your level based on your Timer History
Not interested in getting valuable practice questions and articles delivered to your email? No problem, unsubscribe here.
Close
Request Expert Reply
Confirm Cancel
User avatar
bebu24
Joined: 19 May 2025
Last visit: 20 Jan 2026
Posts: 61
Own Kudos:
Given Kudos: 12
Posts: 61
Kudos: 35
Kudos
Add Kudos
Bookmarks
Bookmark this Post
User avatar
andreagonzalez2k
Joined: 15 Feb 2021
Last visit: 26 Jul 2025
Posts: 307
Own Kudos:
503
 [1]
Given Kudos: 14
Posts: 307
Kudos: 503
 [1]
1
Kudos
Add Kudos
Bookmarks
Bookmark this Post
User avatar
MBAChaser123
Joined: 19 Nov 2024
Last visit: 25 Dec 2025
Posts: 86
Own Kudos:
74
 [1]
Given Kudos: 7
Location: United States
GMAT Focus 1: 695 Q88 V83 DI82
GPA: 3
GMAT Focus 1: 695 Q88 V83 DI82
Posts: 86
Kudos: 74
 [1]
1
Kudos
Add Kudos
Bookmarks
Bookmark this Post
User avatar
cabii
Joined: 30 Jul 2024
Last visit: 21 Sep 2025
Posts: 29
Own Kudos:
18
 [1]
Given Kudos: 2
Posts: 29
Kudos: 18
 [1]
1
Kudos
Add Kudos
Bookmarks
Bookmark this Post
escalator speed(s)
i) 80/3-s = 4*80/2+s i.e., s=2 steps/sec.

ii) time for alice to reach top (Ta)
Ta= 80/2+2= 20 sec.

iii) time when Alice and Bob meet (t)
Alice position (2+2)t= 4t
Bob's position 80-(3-2)t = 80-t
set equal : 4t= 80-t
t= 16 sec.

2) steps Alice walks(n)
n= 2*Ta= 2*20=40 steps

t(meeting time) = 16
n( steps Alice walks)= 40
User avatar
DungThuy
Joined: 18 Dec 2024
Last visit: 11 May 2026
Posts: 10
Own Kudos:
9
 [1]
Given Kudos: 5
Posts: 10
Kudos: 9
 [1]
1
Kudos
Add Kudos
Bookmarks
Bookmark this Post
Bunuel
 


This question was provided by GMAT Club
for the GMAT Club Olympics Competition

Win over $30,000 in prizes such as Courses, Tests, Private Tutoring, and more

 



Alice and Bob are on an escalator with 80 steps from bottom to top. The escalator moves upward at a constant rate of s steps per second.

Alice starts from the bottom and walks upward at a constant rate of 2 steps per second relative to the escalator. Bob starts from the top and walks downward at a constant rate of 3 steps per second relative to the escalator.

Bob takes four times as long to reach the bottom as Alice takes to reach the top.

Select for t the time in seconds after which Alice and Bob meet, and select for n the number of steps Alice would have walked on the escalator by the time she reaches the top. Make only two selections, one in each column.
Let the time after which Alice and Bod meet be t. We have: 80 = (s+2)*t + (3-s)*t => 80 = 5*t => t=16
Let the time Alice takes to reach the top be ta, the time Bod takes to reach the bottom be tb.
We have: ta = 80/(s+2)
tb = 80/(3-s)
tb = 4*ta
=> 80/(3-s) = 4*80/(s+2) => s=2
Now find number of steps Alice walked on the escalator:
  • Alice walks 2 steps/sec relative to escalator
  • She took ta = 80/(s+2) = 80/4 = 20
  • So total number of steps she walked on the escalator is: n = 20*2 = 40
User avatar
A_Nishith
Joined: 29 Aug 2023
Last visit: 12 Nov 2025
Posts: 451
Own Kudos:
204
 [1]
Given Kudos: 16
Posts: 451
Kudos: 204
 [1]
1
Kudos
Add Kudos
Bookmarks
Bookmark this Post
Let's denote:

N=80 as the total number of steps on the escalator.

s as the speed of the escalator in steps per second.

Alice's Journey:

Alice's speed relative to the escalator:
Va =2 steps/second (upward).

Alice's effective speed relative to the ground:
Va,eff = Va +s = 2+s steps/second (since she walks in the same direction as the escalator).

Time taken by Alice to reach the top:
tA = ​N / (Va,eff) = 80/ (2+s) seconds.

Number of steps Alice walks on the escalator:
nA =Va × tA =2× 80/ (2+s) = 160 /(2+s)

Bob's Journey:
Bob's speed relative to the escalator: Vb =3 steps/second (downward).

Bob's effective speed relative to the ground:
Vb,eff = Vb −s=3−s steps/second (since he walks against the escalator).
For Bob to reach the bottom, Vb >s, so 3>s.

Time taken by Bob to reach the bottom:
tB = N/ Vb,eff = 80/ (3-s) seconds.

Given Condition:
Bob takes four times as long as Alice:
tB =4×tA
By solving , we get: s=2 steps per second.

Now we ca calculate tA and nA :
By solving: tA= 20 Sec ; nA= 40 steps

So, the number of steps Alice would have walked on the escalator by the time she reaches the top is n=40.

When Alice and Bob Meet:
Let t be the time when Alice and Bob meet.

In time t, Alice covers a distance of (2+s)t steps from the bottom.

In time t, Bob covers a distance of (3−s)t steps from the top.

When they meet, the sum of the distances they covered must equal the total length of the escalator.
(2+s)t+(3−s)t=N
Substitute s=2:
(2+2)t+(3−2)t=80
4t+1t=80
5t=80
t = 80/5 =16 seconds.

So, the time after which Alice and Bob meet is t=16 seconds.

Final Answer: t= 16 sec & n= 40 steps
User avatar
naman.goswami
Joined: 11 Jun 2023
Last visit: 16 May 2026
Posts: 35
Own Kudos:
29
 [1]
Given Kudos: 65
Location: India
GMAT 1: 640 Q53 V25
GMAT 1: 640 Q53 V25
Posts: 35
Kudos: 29
 [1]
1
Kudos
Add Kudos
Bookmarks
Bookmark this Post
Velocity of Alice = s+2
velocity of Bob = 3-s

4(80/s+2)= 80/3-s
12-3s=2s+2
s=2

time taken for Alice and Bob to meet = 80/(Relative velocity of Alice and Bob
t = 80/(4+1) = 16

Time for alice to reach the top = 80/4 = 20 sec
number of steps Alice would have walked on the escalator by the time she reaches the top = 20*2 = 40
User avatar
lvillalon
Joined: 29 Jun 2025
Last visit: 25 Aug 2025
Posts: 88
Own Kudos:
Given Kudos: 14
Location: Chile
Concentration: Operations, Entrepreneurship
GPA: 3,3
WE:Consulting (Consulting)
Kudos
Add Kudos
Bookmarks
Bookmark this Post
80 = dA + dB

where d are the distances traveled by each before meeting.

distance = speed * time
dA = (2+s) * t
dB = (3-s) * t
80 = t * (2+s+3-s)
t = 80/5 = 20

4 * TA = TB
80 = (2+s) * TA
80 = (3-s) * TB
(2+s) * TA = (3-s) * 4 * TA
2+s = 12-4s
5s = 10
s = 2
TA = 20
n = 2 (Alice's steps per second) * 20 (total time it takes Alice) = 40

Bunuel
 


This question was provided by GMAT Club
for the GMAT Club Olympics Competition

Win over $30,000 in prizes such as Courses, Tests, Private Tutoring, and more

 



Alice and Bob are on an escalator with 80 steps from bottom to top. The escalator moves upward at a constant rate of s steps per second.

Alice starts from the bottom and walks upward at a constant rate of 2 steps per second relative to the escalator. Bob starts from the top and walks downward at a constant rate of 3 steps per second relative to the escalator.

Bob takes four times as long to reach the bottom as Alice takes to reach the top.

Select for t the time in seconds after which Alice and Bob meet, and select for n the number of steps Alice would have walked on the escalator by the time she reaches the top. Make only two selections, one in each column.
User avatar
TrinhNguyen157
Joined: 28 Mar 2025
Last visit: 17 May 2026
Posts: 15
Own Kudos:
11
 [1]
Given Kudos: 4
Location: United States
Posts: 15
Kudos: 11
 [1]
1
Kudos
Add Kudos
Bookmarks
Bookmark this Post
The escalator moves upward at a constant rate of s steps per second.
1/ Alice walks upward at a constant rate of 2 steps per second=> her total constant rate will be (2+s) steps per second. And the time tA for Alice to reach the top is 80/ (2+s)
2/ Bob walks downward at a constant rate of 3 steps per second => his total constant rate will be (3-s) steps per second. (He need to walk at the rate bigger than the escalator constant rate to reach the bottom. And the time tB for Bob to reach the bottom is 80/ (3-s)

We have tB =4 tA, 80 /(3-s)= 4 x 80/ (2+s) => s =2

tA= 80/(2+2)=20s. Each second Alice will walk 2 steps so the number of steps Alice would have walked on the escalator by the time she reaches the top will be 40 steps. n =40

If t is the time in seconds after which Alice and Bob meet, we have s1 (the steps that Alice need to walk to meet Bob) +s2 (the steps that Bob need to walk to meet Alice) =80 => 4t+t=80=> t=16

Bunuel
 


This question was provided by GMAT Club
for the GMAT Club Olympics Competition

Win over $30,000 in prizes such as Courses, Tests, Private Tutoring, and more

 



Alice and Bob are on an escalator with 80 steps from bottom to top. The escalator moves upward at a constant rate of s steps per second.

Alice starts from the bottom and walks upward at a constant rate of 2 steps per second relative to the escalator. Bob starts from the top and walks downward at a constant rate of 3 steps per second relative to the escalator.

Bob takes four times as long to reach the bottom as Alice takes to reach the top.

Select for t the time in seconds after which Alice and Bob meet, and select for n the number of steps Alice would have walked on the escalator by the time she reaches the top. Make only two selections, one in each column.
User avatar
Minionion
Joined: 23 Jun 2025
Last visit: 05 Jan 2026
Posts: 31
Own Kudos:
15
 [1]
Given Kudos: 10
Location: Korea, Republic of
Posts: 31
Kudos: 15
 [1]
1
Kudos
Add Kudos
Bookmarks
Bookmark this Post
Alice total steps/sec = (2 + s) / sec
Bob = (3 - s) / sec
If Alice took A seconds, because Bob took 4x of it, total steps = 80 = (2+s)*A = (3-s)*4A <=> 2+s = (3-s)*4, s=2

Alice: 4 steps/ sec with s=2, so it took 80/4 = 20 seconds to top
For this 20 seconds, her own steps (2 steps/sec) = 2 * 20 = 40 steps

Alice going up: +4 steps / sec (=lets say 4x)
Bob coming down: -1 step / sec from 80 (=lets say 80-1*x)
When they meet: 4x = 80-x; x=16 sec
User avatar
Tanish9102
Joined: 30 Jun 2025
Last visit: 20 Nov 2025
Posts: 59
Own Kudos:
49
 [1]
Posts: 59
Kudos: 49
 [1]
1
Kudos
Add Kudos
Bookmarks
Bookmark this Post
Correct Answer: n=40, t=16
Assume escalator speed= s
Speed of Alice= s+2
Speed of Bob= 3-s
S can be <3
So take S=2
Speed of Alice= 4
Speed of Bob= 1
Time taken by Alice= 20 seconds
Time takes by Bob= 80 seconds
So we have got the correct value of s and time takes by Alice and Bob
Now find the answers
1) Time in seconds after which Alice and Bob meet
Total Steps= 80
Relative speed= 5 (opposite direction movement)
Time will be 80/5= 16 seconds
2) Number of steps Alice would have walked on the escalator by the time she reaches the top
Alice total time= 20 seconds
Alice Speed= 2 steps per seconds
Total steps Alice walked= 20*2= 40
User avatar
Praveena_10
Joined: 01 Jan 2024
Last visit: 15 May 2026
Posts: 46
Own Kudos:
47
 [1]
Given Kudos: 24
Location: India
GPA: 7.3
WE:Engineering (Energy)
Posts: 46
Kudos: 47
 [1]
1
Kudos
Add Kudos
Bookmarks
Bookmark this Post
Speed of Alice= S+2 steps/sec
Speed of Bob= 3-S steps/sec

Time taken by Bob= 4 time taken by alice
80/3-s=4*80/S+2
Solving this we get s=2steps/sec

let t be the time after they meet
4t=80-t
t=16 sec

If Alice on elevator the time taken to reach top=80/2=40 steps.
User avatar
LunaticMaestro
Joined: 02 Jul 2023
Last visit: 01 May 2026
Posts: 44
Own Kudos:
Given Kudos: 106
Posts: 44
Kudos: 26
Kudos
Add Kudos
Bookmarks
Bookmark this Post
my findings

let elevator move at "e" speed (e steps per second)

A moves at (2 + e) speed
B moves at (3 - e) speed ( e < 3, otherwise B would not have reached down)

given

(b's time) = 4 * a's time
80/(3 - e) = 4 * 80 / (2 + e)
2 + e = 12 - 4e
e = 2 steps per second

A's net speed = (2 + 2) = 4 steps per sec
B's net speed = (3 - 2) = 1 step per sec

A will take 80/4 = 20 step to reach top

A-B together moving = 4 + 1 = 5 steps per sec
To cover 80; 80/5 = 16 step to meet each other.
User avatar
sanjitscorps18
Joined: 26 Jan 2019
Last visit: 03 Mar 2026
Posts: 723
Own Kudos:
746
 [1]
Given Kudos: 130
Location: India
Schools: IMD'26
Products:
Schools: IMD'26
Posts: 723
Kudos: 746
 [1]
1
Kudos
Add Kudos
Bookmarks
Bookmark this Post
Bunuel
 


This question was provided by GMAT Club
for the GMAT Club Olympics Competition

Win over $30,000 in prizes such as Courses, Tests, Private Tutoring, and more

 



Alice and Bob are on an escalator with 80 steps from bottom to top. The escalator moves upward at a constant rate of s steps per second.

Alice starts from the bottom and walks upward at a constant rate of 2 steps per second relative to the escalator. Bob starts from the top and walks downward at a constant rate of 3 steps per second relative to the escalator.

Bob takes four times as long to reach the bottom as Alice takes to reach the top.

Select for t the time in seconds after which Alice and Bob meet, and select for n the number of steps Alice would have walked on the escalator by the time she reaches the top. Make only two selections, one in each column.


Escalator steps = 80
Let escalator's rate = E

Let Alice's rate = A
Let Alice's time = TA

A = 2/sec relative to the escalator
=> A = 2 + E
Also, TA = 80/A
=> TA = \(\frac{80}{(2 + E)}\)

Let Bob's rate = B
Let Bob's time = TB

B = 3/sec relative to the escalator
=> B = 3 - E [since Bob reaches the end of the escalator]
Also, TB = 80/B
=> TB = \(\frac{80}{(3 - E)}\)

It is given Bob takes four times as long to reach the bottom as Alice takes to reach the top.
=> TB = 4 * TA
=> \(\frac{80}{(3 - E)}\) = 4 * \(\frac{80}{(2 + E)}\)
=> 2 + E = 12 - 4E
=> 5E = 10
=> E = 2


Part (i)
Time taken for Alice and Bob to meet = \(\frac{80 }{ (Relative speed)}\)
\(\frac{80 }{ (2 + E + 3 - E)}\)
Hence Time = 80/5 = 16 seconds

Part (ii)
TA = \(\frac{80}{(2+E)}\)
=> TA = \(\frac{80}{(2+2)}\)
=> TA = 80/4 = 20 seconds

Steps taken by Alice = TA * A = 20 * 2 = 40 steps

Hence
Part (i)
t = 16

Part (ii)
n = 40
User avatar
ledzep10
Joined: 13 May 2025
Last visit: 18 May 2026
Posts: 104
Own Kudos:
59
 [1]
Given Kudos: 49
GMAT Focus 1: 645 Q87 V81 DI78
Products:
GMAT Focus 1: 645 Q87 V81 DI78
Posts: 104
Kudos: 59
 [1]
1
Kudos
Add Kudos
Bookmarks
Bookmark this Post
Ve = 2 steps/sec

Va = s+2 steps/sec
Vb = 3-s steps/sec

Tb = 4Ta

T = W/R

80 / (3-s) = 4 (80 / (s+2))

=> s = 2 steps/sec

On meeting => Da = 80 - Db, Ta = Tb
Da/Va = Db/Vb
Da/ 4 = 80-Da/1

Da = 64
Ta = 64/4 = 16 sec (Meeting time)

Number of steps walked to the top = 80/2 = 40 steps. The movement of the escalator traverses the other 40 steps.

Ans. t = 16 , n = 40
User avatar
Rahul_Sharma23
Joined: 05 Aug 2023
Last visit: 07 May 2026
Posts: 121
Own Kudos:
Given Kudos: 17
Location: India
GMAT Focus 1: 695 Q87 V83 DI83
GPA: 2.5
Products:
GMAT Focus 1: 695 Q87 V83 DI83
Posts: 121
Kudos: 83
Kudos
Add Kudos
Bookmarks
Bookmark this Post
I believe in this question Bob speed of 3 steps per second should be relative to steady reference point instead of relative to escalator.

Alice climbing up with s+2 steps /sec
BoB coming down with 3-s steps /sec

4*(80/(s+2)) = (80/(3-s))

solving we get s = 2 steps/ sec which is speed of elevator

suppose Alice and BoB meet after Alice climbed up n steps therefore BoB has to come down 80-n steps

n/(s+2) = (80-n)/(3-s), putting s = 2 we get n =64

64/(s+2) = 64/4 = 16 seconds ; t = 16

To reach to the top Alice takes 80/(s+2) seconds, that is 20 seconds

and in this 20 seconds Alice will walk 20*2 = 40 steps
Bunuel
 


This question was provided by GMAT Club
for the GMAT Club Olympics Competition

Win over $30,000 in prizes such as Courses, Tests, Private Tutoring, and more

 



Alice and Bob are on an escalator with 80 steps from bottom to top. The escalator moves upward at a constant rate of s steps per second.

Alice starts from the bottom and walks upward at a constant rate of 2 steps per second relative to the escalator. Bob starts from the top and walks downward at a constant rate of 3 steps per second relative to the escalator.

Bob takes four times as long to reach the bottom as Alice takes to reach the top.

Select for t the time in seconds after which Alice and Bob meet, and select for n the number of steps Alice would have walked on the escalator by the time she reaches the top. Make only two selections, one in each column.
User avatar
Abhiswarup
Joined: 07 Apr 2024
Last visit: 04 May 2026
Posts: 198
Own Kudos:
172
 [1]
Given Kudos: 42
Location: India
Posts: 198
Kudos: 172
 [1]
1
Kudos
Add Kudos
Bookmarks
Bookmark this Post
Alice and Bob are on an escalator with 80 steps from bottom to top. The escalator moves upward at a constant rate of s steps per second.

Alice starts from the bottom and walks upward at a constant rate of 2 steps per second relative to the escalator. Bob starts from the top and walks downward at a constant rate of 3 steps per second relative to the escalator.

Bob takes four times as long to reach the bottom as Alice takes to reach the top.

Select for t the time in seconds after which Alice and Bob meet, and select for n the number of steps Alice would have walked on the escalator by the time she reaches the top. Make only two selections, one in each column.

Escalator speed be s steps/sec which is upward

Alice speed is 2 steps relative to escalator upward i.e. Alice speed = 2+s steps/sec

Bob speed is 3 steps relative to escalator downward i.e. Bob speed= 3-s steps/sec ( Bob speed should be greater than escalator to go down)

No of steps= 80

Time taken by Alice= t Time taken by Bob =4t

t=80/2+s, 4t=80/3-s

4*80/(2+s)= 80/(3-s)

solving s = 2 steps/sec

t= 80/4= 20 sec
Steps taken by Alice= 20*2= 40 steps

Now both Bob & Alice moves towards each other, relative speed becomes= 4+1= 5 steps/sec

So time taken to meet= 80/5 = 16 sec

so answer is t=16sec & n=40 steps

I hope I am right
avatar
Nipunh
Joined: 15 Jun 2024
Last visit: 17 May 2026
Posts: 165
Own Kudos:
142
 [1]
Given Kudos: 532
Location: India
Concentration: Strategy, Finance
GMAT Focus 1: 635 Q85 V84 DI75
GPA: 3.556
WE:Research (Consulting)
GMAT Focus 1: 635 Q85 V84 DI75
Posts: 165
Kudos: 142
 [1]
1
Kudos
Add Kudos
Bookmarks
Bookmark this Post
let alice walks upward at 2 steps per second relative to escalator, and escalator itself moves at s steps per second upward
so alice’s speed relative to ground is 2 + s

bob walks downward at 3 steps per second relative to escalator, so his speed relative to ground is 3 − s
since he’s walking against the escalator, net speed is slower

the escalator has 80 steps

let t be the time in seconds when they meet

distance between them is 80 steps
they are approaching each other, so combined speed is (2 + s) + (3 − s) = 5 steps per second
so time to meet is t = 80 / 5 = 16 seconds

so first answer: t = 16

now let’s find how many steps alice would walk on the escalator (i.e. relative to escalator) to reach the top

let time taken by alice to reach top = a seconds
her total speed is 2 + s
so (2 + s) × a = 80
so a = 80 / (2 + s)

we want to find how many steps she walked relative to escalator → that’s just 2 × a = n

so n = 2 × (80 / (2 + s)) = 160 / (2 + s)

now, use bob’s info to find s
bob takes 4 times as long as alice
bob’s speed = 3 − s
time taken by bob = b = 4 × a = 4 × (80 / (2 + s))

bob starts at top and walks down 80 steps, so:
(3 − s) × b = 80
substitute b: (3 − s) × 4 × (80 / (2 + s)) = 80

multiply both sides: (3 − s) × 4 × 80 = 80 × (2 + s)
cancel 80 from both sides: (3 − s) × 4 = (2 + s)
expand: 12 − 4s = 2 + s
10 = 5s → s = 2

now plug s = 2 into alice’s time:
a = 80 / (2 + 2) = 80 / 4 = 20 seconds

n = 2 × 20 = 40 steps

final answers:
t = 16
n = 40
User avatar
SRIVISHUDDHA22
Joined: 08 Jan 2025
Last visit: 15 May 2026
Posts: 94
Own Kudos:
60
 [1]
Given Kudos: 334
Location: India
Schools: ISB '26
GPA: 9
Products:
Schools: ISB '26
Posts: 94
Kudos: 60
 [1]
1
Kudos
Add Kudos
Bookmarks
Bookmark this Post
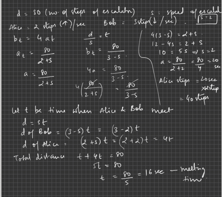
Bunuel
 


This question was provided by GMAT Club
for the GMAT Club Olympics Competition

Win over $30,000 in prizes such as Courses, Tests, Private Tutoring, and more

 



Alice and Bob are on an escalator with 80 steps from bottom to top. The escalator moves upward at a constant rate of s steps per second.

Alice starts from the bottom and walks upward at a constant rate of 2 steps per second relative to the escalator. Bob starts from the top and walks downward at a constant rate of 3 steps per second relative to the escalator.

Bob takes four times as long to reach the bottom as Alice takes to reach the top.

Select for t the time in seconds after which Alice and Bob meet, and select for n the number of steps Alice would have walked on the escalator by the time she reaches the top. Make only two selections, one in each column.

Attachment:
GMAT-Club-Forum-8xocw8r0.png
GMAT-Club-Forum-8xocw8r0.png [ 214.38 KiB | Viewed 275 times ]
User avatar
SaanjK26
Joined: 08 Oct 2022
Last visit: 13 May 2026
Posts: 77
Own Kudos:
63
 [1]
Given Kudos: 77
Location: India
Posts: 77
Kudos: 63
 [1]
1
Kudos
Add Kudos
Bookmarks
Bookmark this Post
Let s = escalator speed (steps/sec) upward

Alice's speed = 2 steps/sec relative to escalator → upward effective = 2 + s

Bob's speed = 3 steps/sec relative to escalator downward effective = 3 - S

Given: Bob takes 4x the time Alice takes

80/ 3-s = 4 × (80/ 2+s)
s = 2 steps/ sec.

Alice's time to top = 80/2+2 = 20 sec

Alice's own steps n = 2 × 20 = 40

They meet when combined distance = 80
t = 80/4+1 = 16 sec.

t= 16 sec
n = 40.
   1   2   3   4   5   
Moderators:
Math Expert
110574 posts
498 posts
263 posts