Last visit was: 01 May 2026, 21:57 It is currently 01 May 2026, 21:57
Close
GMAT Club Daily Prep
Thank you for using the timer - this advanced tool can estimate your performance and suggest more practice questions. We have subscribed you to Daily Prep Questions via email.

Customized
for You

we will pick new questions that match your level based on your Timer History

Track
Your Progress

every week, we’ll send you an estimated GMAT score based on your performance

Practice
Pays

we will pick new questions that match your level based on your Timer History
Not interested in getting valuable practice questions and articles delivered to your email? No problem, unsubscribe here.
Close
Request Expert Reply
Confirm Cancel
User avatar
muuss
Joined: 10 Aug 2024
Last visit: 18 Apr 2026
Posts: 108
Own Kudos:
Given Kudos: 38
GMAT Focus 1: 615 Q84 V81 DI76
GMAT Focus 1: 615 Q84 V81 DI76
Posts: 108
Kudos: 83
Kudos
Add Kudos
Bookmarks
Bookmark this Post
User avatar
AVMachine
Joined: 03 May 2024
Last visit: 26 Mar 2026
Posts: 190
Own Kudos:
154
 [1]
Given Kudos: 40
Posts: 190
Kudos: 154
 [1]
1
Kudos
Add Kudos
Bookmarks
Bookmark this Post
User avatar
lvillalon
Joined: 29 Jun 2025
Last visit: 25 Aug 2025
Posts: 88
Own Kudos:
73
 [1]
Given Kudos: 14
Location: Chile
Concentration: Operations, Entrepreneurship
GPA: 3,3
WE:Consulting (Consulting)
1
Kudos
Add Kudos
Bookmarks
Bookmark this Post
User avatar
Tanish9102
Joined: 30 Jun 2025
Last visit: 20 Nov 2025
Posts: 59
Own Kudos:
49
 [1]
Posts: 59
Kudos: 49
 [1]
1
Kudos
Add Kudos
Bookmarks
Bookmark this Post
Correct Answer: No it cannot be greater than 1/20, we can answer this using each statement alone.
Given we have,
Total trees= 10
We assume oak tree= O
Other trees= 10-O

Now let's check the statements:

(1) The probability that two randomly selected trees are both oaks is 2/15.

Probability of two oak trees= O/10 * (O-1)/9= 2/15
O(O-1)/90 = 2/15
O(O-1)= 12
If O=4 than O(O-1)= 12
ow check all three oaks,
4/10 * 3/9 * 2/8= 24/720= 1/30
1/30<1/20
So probability is not greater than 1/20.

(2) There are 6 maple trees in the garden.

If there are 6 maple trees than oak trees will be 4.
Hence we know that probability is 1/30.
1/30<1/20
So in this case also probability is not greater than 1/20.

Hence both statements alone are sufficient to answer this question.
User avatar
Abhiswarup
Joined: 07 Apr 2024
Last visit: 12 Jan 2026
Posts: 198
Own Kudos:
172
 [1]
Given Kudos: 42
Location: India
Posts: 198
Kudos: 172
 [1]
1
Kudos
Add Kudos
Bookmarks
Bookmark this Post
Selection of 3 trees from 10 trees can be done in 10C3 ways= 10*9*8/1*2*3= 120

Let X be the no of trees so selection of 3trees from X oak trees= XC3= x*(x-1)*(x-2)/6

P(3 trees are X)= x*(x-1*(x-2)/720>1/20
solving x*(x-1)*(x-2)>36
clearly to make true the statement
X=>5

Now statement 1

The probability that two randomly selected trees are both oaks is 2/15.

P(2 of X)= Xc2/10C2= x*(x-1)/10*9=2/15
x2-x=12
x=4
so statement is sufficient as x=4 means P(3 of X)<1/20

(2) There are 6 maple trees in the garden.
So 4 are non maple trees and out of that 4,3,2,1 will be oak trees

again X<5
So so statement is sufficient as P(3 of X)<1/20

So answer is D
User avatar
dragobreathfire
Joined: 05 Jul 2025
Last visit: 14 Aug 2025
Posts: 34
Own Kudos:
17
 [1]
Given Kudos: 24
Location: India
GPA: 7.5
Posts: 34
Kudos: 17
 [1]
1
Kudos
Add Kudos
Bookmarks
Bookmark this Post
Bunuel
There are 10 trees in a garden, and a gardener randomly selects 3 different trees to prune. Is the probability that all 3 selected trees are oaks greater than 1/20?

(1) The probability that two randomly selected trees are both oaks is 2/15.
(2) There are 6 maple trees in the garden.


 


This question was provided by GMAT Club
for the GMAT Club Olympics Competition

Win over $30,000 in prizes such as Courses, Tests, Private Tutoring, and more

 

When we take equation 1, we come to conclusion that since probability of choosing 2 Oak out of 10 trees in a batch of 2 tress is 2/15 which will help us find in how many ways we can choose oak three, which come to 6. since 10C2 = 45 ( number of ways to select 2 tress out of 10).

now, let their be n Oak trees, so nC2 = 6, which gives us n either 4 or -3. Now since n cannot be negative it means their are 6 maple and 4 oak. and we can easily find ration. So A alone is sufficinet.


Simillarly, for equation 2, it is clear that their are 6 maple tree and number of oak will be equal or less than 4. now if we notice what will be probabilitu of 3 selected tree to be oak , it clearly comes down to less than 1/20 if n is less than or equal to 4. So, for any value of oak tree being less or equal to 4, probability is less than 1/20 only. So statement 2 is also sufficient to answer question.

So, D is correct that both equation alone are sufficient.
User avatar
Prathu1221
Joined: 19 Jun 2025
Last visit: 20 Jul 2025
Posts: 62
Own Kudos:
40
 [1]
Given Kudos: 1
Posts: 62
Kudos: 40
 [1]
1
Kudos
Add Kudos
Bookmarks
Bookmark this Post
We know that total are 10 trees, so we need to find thee distribution among various trees.
If probablity of 2 random trees are oaks is 2/15 so x/10*x-1*9=2/15
From this we get x=4 So there are 4 oaks. Now we can find probablity of 3 selected trees as oaks.
1 is sufficient.
From 2 we get there are 6 maple trees so the other 4 will be oaks.
2 is also sufficient.
Both statements independently are sufficient.
D
Bunuel
There are 10 trees in a garden, and a gardener randomly selects 3 different trees to prune. Is the probability that all 3 selected trees are oaks greater than 1/20?

(1) The probability that two randomly selected trees are both oaks is 2/15.
(2) There are 6 maple trees in the garden.


 


This question was provided by GMAT Club
for the GMAT Club Olympics Competition

Win over $30,000 in prizes such as Courses, Tests, Private Tutoring, and more

 

User avatar
sanjitscorps18
Joined: 26 Jan 2019
Last visit: 03 Mar 2026
Posts: 723
Own Kudos:
743
 [1]
Given Kudos: 130
Location: India
Schools: IMD'26
Products:
Schools: IMD'26
Posts: 723
Kudos: 743
 [1]
1
Kudos
Add Kudos
Bookmarks
Bookmark this Post
Bunuel
There are 10 trees in a garden, and a gardener randomly selects 3 different trees to prune. Is the probability that all 3 selected trees are oaks greater than 1/20?

(1) The probability that two randomly selected trees are both oaks is 2/15.
(2) There are 6 maple trees in the garden.


 


This question was provided by GMAT Club
for the GMAT Club Olympics Competition

Win over $30,000 in prizes such as Courses, Tests, Private Tutoring, and more

 


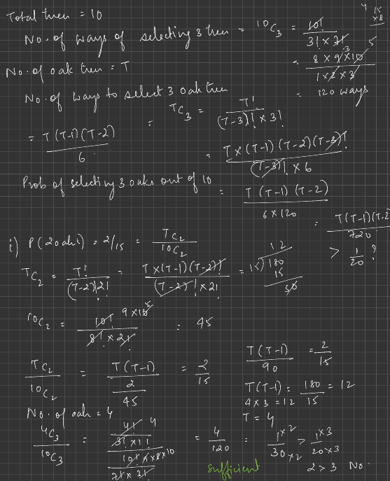
There are 10 trees in a garden
T = 10

and a gardener randomly selects 3 different trees to prune
Selection of 3 trees = 10C3

Is the probability that all 3 selected trees are oaks greater than 1/20?
Let say oak trees = x
Non-oak trees = 10 - x

Is \(\frac{{xC3}}{{10C3}}\) > 1/20?
Calculating \(\frac{{xC3}}{{10C3}}\) we get
=> \(\frac{x!}{{3!(x-3)!}}\) / \(\frac{10!}{3!7!}\)
=> \(\frac{x(x-1) (x-2) }{6}\) / \(\frac{10.9.8}{6}\)
=> \(\frac{x(x-1) (x-2) }{6}\) * \(\frac{6}{10.9.8}\)
=> \(\frac{x(x-1) (x-2)}{10.9.8}\)
Now
\(\frac{x(x-1) (x-2)}{10.9.8}\) > 1/20
=> \(x(x-1)(x-2)\) > \(\frac{10.9.8}{20}\)
=> \(x(x-1)(x-2)\) > \(36\)
=> x >= 5
So, we have to check if x >= 5?

(1) The probability that two randomly selected trees are both oaks is 2/15.
=> \(\frac{{xC2}}{{10C2}}\) = 2/15
=> \(\frac{x!}{{2!(x-2)!}}\) / \(\frac{10!}{2!8!}\) = 2/15
=> \(\frac{x(x-1) }{2}\) / \(\frac{10.9}{2}\) = 2/15
=> \(\frac{x(x-1)}{2}\) * \(\frac{2}{10.9}\) = 2/15
=> \(\frac{x(x-1)}{10.9}\) = 2/15
=> \(x(x-1)\) = 10.9.2/15
=> \(x(x-1)\) = 12
=> x = 4

Sufficient

(2) There are 6 maple trees in the garden.
The number of oak trees can be a maximum of 4
=> x <= 4

This is also sufficient

Option D
User avatar
Chibvike
Joined: 18 Mar 2024
Last visit: 15 Apr 2026
Posts: 47
Own Kudos:
Given Kudos: 307
Posts: 47
Kudos: 10
Kudos
Add Kudos
Bookmarks
Bookmark this Post
Here's my approach

Where the number of oak = x
Statement 1 alone;
(x/10)(x-1)/9=2/15
this simplifies to (x^2)-x=12
4 satisfies the equation. That is 4^2=16. 16-4=12
This sufficient to answer the question

Statement 2 alone only tells us nothing about the oak trees, not sufficient

Therefore A is the answer.
User avatar
SaanjK26
Joined: 08 Oct 2022
Last visit: 01 May 2026
Posts: 77
Own Kudos:
63
 [1]
Given Kudos: 76
Location: India
Posts: 77
Kudos: 63
 [1]
1
Kudos
Add Kudos
Bookmarks
Bookmark this Post
Let the number of oak trees = x

Statement 1: Sufficient

The probability that two randomly selected trees are both oaks is 2/15

From this, the probability of selecting 2 oaks from 2 trees is: p(2 oaks) = (x(x-1)/2)/45= 2/15.

So, there are 4 oaks.

P(3 oaks) =4/120=1/30.
1/30<1/20
Sufficient.

Statement 2: Sufficient

There are 6 maple trees in the garden.

So, of the 10 trees, 6 are maples, the remaining 4 are oaks.
P(3 oaks) =4/120
=1/30<1/20.
Sufficient.

Answer: D.
Each statement alone is sufficient.
User avatar
Suyash1331
Joined: 01 Jul 2023
Last visit: 20 Oct 2025
Posts: 121
Own Kudos:
Given Kudos: 22
Location: India
GMAT Focus 1: 575 Q65 V70 DI70
GMAT 1: 250 Q20 V34
GPA: 7
Products:
GMAT Focus 1: 575 Q65 V70 DI70
GMAT 1: 250 Q20 V34
Posts: 121
Kudos: 64
Kudos
Add Kudos
Bookmarks
Bookmark this Post
There are 10 trees in a garden, and a gardener randomly selects 3 different trees to prune. Is the probability that all 3 selected trees are oaks greater than 1/20?

(1) The probability that two randomly selected trees are both oaks is 2/15.
(2) There are 6 maple trees in the garden.


let us assume that there are x oak trees,
so based on statement 1,
xC2/10C2 = 2/15
(x(x-1)/2)/(10x9/2) = 2/15
x(x-1)15 = 10 x 9 x 2
x(x-1)= 2 x 3 x 2
x = 4

hence we can find out the probability,
so statement 1 is sufficient


Statement 2:

if we know 6 maple trees are there, then also we don't know the other 4 trees. whether they are oaks or not we don't know,
so insufficient.
User avatar
tgsankar10
Joined: 27 Mar 2024
Last visit: 28 Apr 2026
Posts: 281
Own Kudos:
Given Kudos: 85
Location: India
Products:
Posts: 281
Kudos: 401
Kudos
Add Kudos
Bookmarks
Bookmark this Post
Total trees \(= 10\), no of oak trees \(=k\)

Probability of all 3 selected trees are oaks, \(P_o=\frac{k}{10}*\frac{k-1}{9}*\frac{k-2}{8}\)

is \(P_o>\frac{1}{20}?\)

Statement 1: The probability that two randomly selected trees are both oaks is 2/15.

\(\frac{k}{10}*\frac{k-1}{9}=\frac{2}{15}\)

\(k(k-1)=12=4*3\)

\(k=4\)

\(P_o=\frac{4}{10}*\frac{3}{9}*\frac{2}{8}=\frac{1}{30}\)

Sufficient

Statement 2: There are 6 maple trees in the garden.


There are 4 non-maple trees in the garden. Out of those how many are oak trees is unknown

Not Sufficient

Answer: A
User avatar
D3N0
Joined: 21 Jan 2015
Last visit: 28 Apr 2026
Posts: 585
Own Kudos:
Given Kudos: 132
Location: India
Concentration: Operations, Technology
GMAT 1: 620 Q48 V28
GMAT 2: 690 Q49 V35
WE:Operations (Retail: E-commerce)
Products:
GMAT 2: 690 Q49 V35
Posts: 585
Kudos: 608
Kudos
Add Kudos
Bookmarks
Bookmark this Post
Ans: A [Statement 1 is sufficient]

10 trees --> how many oak, or any other type - we do not know
Gardner selects 3 diff trees to prune--> is P(all 3 are oks)>1/20

Statement: 1
P(2 random select are both oak) = 2/15
Let's say there are n oaks in 10 (n<=10)
P(selecting 2 out of n oak) = n*(n-1)/(10*9) = 2/15
This gives us n = 4 ; so there are 4 oak trees in 10 trees

is P(all 3 are oks)>1/20
P(3 oaks) = 4*3*2/10*9*8 = 1/30
1/30 < 1/20
is P(all 3 are oks)>1/20 [NO]

Statement 1 is sufficient

Statement: 2
There are 6 maple trees, but we are unsure about the remaining 4 trees. All 4 could be oak or not even 1 oak. We do not know.
[Not Sufficient]
User avatar
Rahilgaur
Joined: 24 Jun 2024
Last visit: 26 Jan 2026
Posts: 162
Own Kudos:
Given Kudos: 47
GMAT Focus 1: 575 Q81 V82 DI72
Products:
GMAT Focus 1: 575 Q81 V82 DI72
Posts: 162
Kudos: 125
Kudos
Add Kudos
Bookmarks
Bookmark this Post
Bunuel
There are 10 trees in a garden, and a gardener randomly selects 3 different trees to prune. Is the probability that all 3 selected trees are oaks greater than 1/20?

(1) The probability that two randomly selected trees are both oaks is 2/15.
(2) There are 6 maple trees in the garden.
Total ways to select 3 trees out of 10 = 10C3 = 10!/ 7! * 3! = 10*9*8/(3*2) = 10*3*4 = 120.

Let the number of Oak trees be x then the probability that all 3 selected trees are oaks = xC3/120 > 1/20 ???

1. Probability that two randomly selected trees are both oaks is 2/15 = xC2/120= 2/15
xC2/120= 2/15
x!/[120*2*(x-2)!] = 2/15
15* x * (x-1) * (x-2)! = 2 * 120*2*(x-2)!
x * (x-1) = 4 * 8 = 4 * 3
x=4

the probability that all 3 selected trees are oaks = 4C3/120 = 4!/ 120 * 1 * 3! = 4/ 120 = 1/30 << 1/20 Answer is No -- Sufficient.

2. Out of 10, 6 are maple trees = however we have no clue of other 4 trees all 4 can be oak trees or any other kind hence - Insufficient.

Only 1 is sufficient to solve. Hence, A
User avatar
Globethrotter
Joined: 12 Sep 2015
Last visit: 14 Nov 2025
Posts: 26
Own Kudos:
Given Kudos: 57
Posts: 26
Kudos: 18
Kudos
Add Kudos
Bookmarks
Bookmark this Post

There are 10 trees in a garden, and a gardener randomly selects 3 different trees to prune. Is the probability that all 3 selected trees are oaks greater than 1/20?

(1) The probability that two randomly selected trees are both oaks is 2/15.
(2) There are 6 maple trees in the garden.


Given:
Total no of trees = 10
Number of trees selected = 3

So, total ways to select 3 trees from 10 = 10C3 = 120

Question is if P(selecting 3 "Oak" trees) > 1/20 ?

Statement 1:

P(selecting 2 "Oak" trees) = 2/15
This will help us to find how many "Oak" trees are there in the 10 trees as follows:
Let there be n "Oak" trees, then P(selecting 2 "Oak" trees) = nC2 / 10C2
=> nC2 / 10C2 = 2/15 (given)
=> (n(n-1) / 2 ) / (( 10*9)/2))
=> n(n-1) = 12 = 4*3
=> n = 4 ("Oak" trees)


So, this statement is sufficient to find the required probability of P(selecting 3 "Oak" trees). Answer choice A or D.

Statement 2:

No of maple trees is 6 => Number of remaining types is 4 => Number of "Oaks" is at most 4.

But this does not assure remaining are all Oak trees. So not sufficient. Eliminate option D

Answer is A.
User avatar
shaliny
Joined: 30 Oct 2023
Last visit: 01 May 2026
Posts: 121
Own Kudos:
Given Kudos: 1,022
Products:
Posts: 121
Kudos: 26
Kudos
Add Kudos
Bookmarks
Bookmark this Post
let no. of oak tree= n
so the probability that all 3 selected trees are oaks greater than 1/20 would be,
nC3/10C3 >1/20
nC3 >6

statement 1- The probability that two randomly selected trees are both oaks is 2/15 would be,
nC2/10C2 = 2/15
nC2 = 6
n* n-1/2 =6
n*n-1 =12
so, n= 4
now we know the no. of oak tree so we can find out probability.
sufficient.

statement 2- we have no idea about the no. of oak tree because there can be other trees other than maple trees so Insufficient.
option A
Bunuel
There are 10 trees in a garden, and a gardener randomly selects 3 different trees to prune. Is the probability that all 3 selected trees are oaks greater than 1/20?

(1) The probability that two randomly selected trees are both oaks is 2/15.
(2) There are 6 maple trees in the garden.


 


This question was provided by GMAT Club
for the GMAT Club Olympics Competition

Win over $30,000 in prizes such as Courses, Tests, Private Tutoring, and more

 

User avatar
SRIVISHUDDHA22
Joined: 08 Jan 2025
Last visit: 01 May 2026
Posts: 94
Own Kudos:
60
 [1]
Given Kudos: 332
Location: India
Schools: ISB '26
GPA: 9
Products:
Schools: ISB '26
Posts: 94
Kudos: 60
 [1]
1
Kudos
Add Kudos
Bookmarks
Bookmark this Post


Bunuel
There are 10 trees in a garden, and a gardener randomly selects 3 different trees to prune. Is the probability that all 3 selected trees are oaks greater than 1/20?

(1) The probability that two randomly selected trees are both oaks is 2/15.
(2) There are 6 maple trees in the garden.


 


This question was provided by GMAT Club
for the GMAT Club Olympics Competition

Win over $30,000 in prizes such as Courses, Tests, Private Tutoring, and more

 

Attachment:
GMAT-Club-Forum-4iksflqu.png
GMAT-Club-Forum-4iksflqu.png [ 123.93 KiB | Viewed 255 times ]
Attachment:
GMAT-Club-Forum-yqbsuang.png
GMAT-Club-Forum-yqbsuang.png [ 19.53 KiB | Viewed 242 times ]
User avatar
GarvitGoel
Joined: 06 Aug 2024
Last visit: 30 Apr 2026
Posts: 69
Own Kudos:
Posts: 69
Kudos: 55
Kudos
Add Kudos
Bookmarks
Bookmark this Post
Option A is the correct answer.

Lets understand the information mentioned in the question before checking for the answer.

So the question starts by telling us that "There are 10 trees in a garden, the gardener is selecting 3 trees randomly to prune". Now the question asks us is the probability that all 3 selected trees are oaks greater than 1/20.

Lets checking the statements now and see which one of them help us to get our answer.

Statement 1: "The probability that two randomly selected trees are both oaks is 2/15". This statement tells us that the probability of selecting two oak trees is 2/15 which would mean that:
Lets take number of oak trees to be 'n' then the probability will be: (n/10)*((n-1)/9) = 2/15
=>(n*(n-1)/90) = 2/15
=>n^2 -n = 12
=>n^2 -n -12 = 0
=>n^2 -4n +3n -12 = 0
=> n(n-4) +3(n-4) = 0
=>(n+3)*(n-4) = 0
=>n = 4, we discarded the value of n = -3 because the number of trees can never be in negative.

From here after finding out that their are 4 oak trees out of 10 then from here we can easily calculate the probability that all 3 selected trees are oaks.
=>P(the probability that all 3 selected trees are oaks) = (4/10)*(3/9)*(2/8) => 1/30, which is less than 1/20.

So this statement is Sufficient to answer the question.


Statement 2: "There are 6 maple trees in the garden". This statement directly tells us the number of maple trees i.e. 6 but does not tell anything about the number of oak trees. Now here alot of us will assume that if there are 6 maple trees, it is obvious that there will be 4 oak trees and that's were mistake is made because if we read the question and this statement properly there is no information regarding how many types of trees are their in the garden. Maybe there are 3 type of tress i.e. maple, oak and mango or many be any other more than 3 as well. So if according to this statement 6 trees are maple then rest of the trees could all be oak or 2 oak & 2 mango and so on. So this statement does not give us any unique value. Eliminated

Now after solving for both the statements we can conclude that only 'Statement-1' gives us the unique value to answer the question that's why 'Option A' is our answer.

Bunuel
There are 10 trees in a garden, and a gardener randomly selects 3 different trees to prune. Is the probability that all 3 selected trees are oaks greater than 1/20?

(1) The probability that two randomly selected trees are both oaks is 2/15.
(2) There are 6 maple trees in the garden.


 


This question was provided by GMAT Club
for the GMAT Club Olympics Competition

Win over $30,000 in prizes such as Courses, Tests, Private Tutoring, and more

 

User avatar
Edwin555
Joined: 10 Aug 2023
Last visit: 30 Apr 2026
Posts: 88
Own Kudos:
Given Kudos: 17
Location: India
Posts: 88
Kudos: 54
Kudos
Add Kudos
Bookmarks
Bookmark this Post
Given, there are 10 trees in a garden, and a gardener randomly selects 3 different trees to prune.
We are asked to find is the probability that all 3 selected trees are oaks,P(nC3) > 1/20, where n is the number of oaks.

Statement 1,
The probability that two randomly selected trees are both oaks is 2/15.
We are given P(nC2) = 2/15
Total number of trees, T = 10
Probability of selecting 2 oak trees from n oak trees,
P(nC2) = nC2/Total number of possibilities of tree selection
(n(n - 1)/2)/10C2 = 2/15
n(n - 1)/2*45 = 2/15
n(n - 1) = 12; n = 4
P(nC3) = Total number of ways for selecting 3 oaks from 4 oaks/Total number of ways of selecting 3 trees from 10 trees = 4C3/10C3 = 4/120 - 1/30 < 1/20; Sufficient.

Statement 2,
There are 6 maple trees in the garden. - Does not provide information on oak trees.

Correct option is Option A
User avatar
Lemniscate
Joined: 28 Jun 2025
Last visit: 09 Nov 2025
Posts: 80
Own Kudos:
72
 [1]
Posts: 80
Kudos: 72
 [1]
1
Kudos
Add Kudos
Bookmarks
Bookmark this Post
Combination 10 trees in groups of three trees = 10C3 = 120
Combination n oaks in groups of three oaks = nC3

Probability = nC3/120 > 1/20 -> nC3 > 6

4C3=4 and 5C3=10

n>=5?

(1)
Combination 10 trees in groups of two trees = 10C2 = 45
Combination n oaks in groups of two oaks = nC2

Probability = nC2/45 = 2/15 -> nC2 = 6

4C2=6 -> n=4

Statement (1) alone is sufficient.

(2)
10-6=4
n is 4 or less.

Statement (2) alone is sufficient.

Answer is D
   1   2   3   4   
Moderators:
Math Expert
110001 posts
498 posts
215 posts