nishanfaith
I dont understand how you explain this without having statement numbers 1) and 2)..
Please be kind enough to explain me the explicit way to solve this.
I need your help also
mikemcgarry
Dear
nishanfaith,
I'm happy to respond.

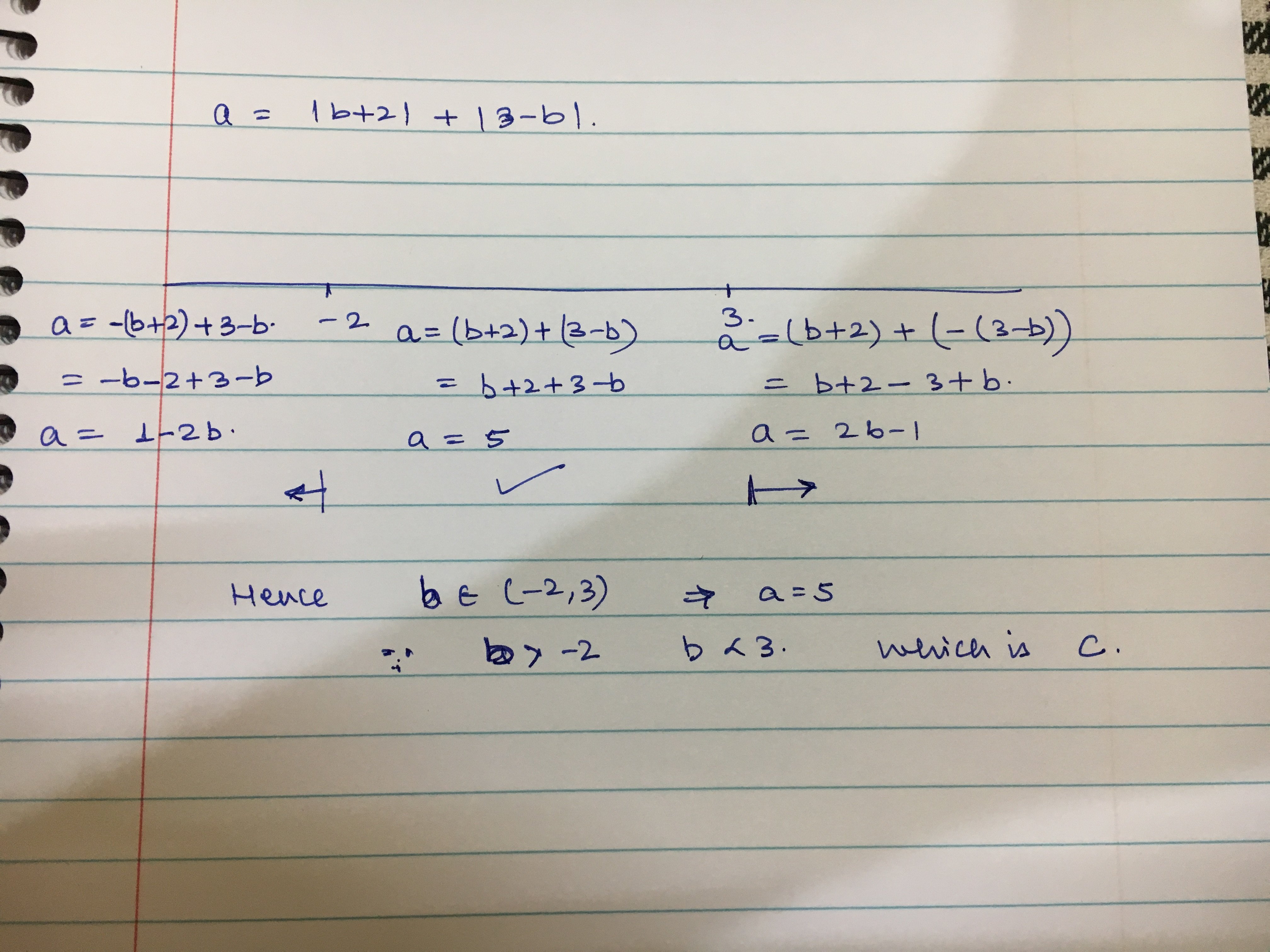
First of all, my friend, I would urge you to read through my algebraic solution step-by-step, because if you understand that, then you really will understand this problem deeply. If you understand what I did there, you will understand what I concluded about the statements individually.
I will also show the basics of a picking numbers approach. Simply notice that at b = +3, the insides of one of the absolute values is zero, and at b = -2, the insides of the other absolute value is zero. Points that make the insides equal to zero tend to be "behavior change" points for absolute values.
Statement #1:
b < 3Try b = 0
a = |b + 2| + |3 – b| = |2| + |3| = 2 + 3 = 5
This choice produces a "yes" to the prompt question.
Try b = -10 (a point on the other side of the "behavior change" point at x = -2)
a = |b + 2| + |3 – b| = |-10 + 2| + |3 - (-10)| = |-8| + |13| = 8 + 21 = 21
This choice produces a "no" to the prompt question.
As soon as we have two different choices producing two different answers, we know that the statement is
not sufficient.
Statement #2:
b > –2Again, use b = 0.
We know from the previous case that this makes a = 5.
This choice produces a "yes" to the prompt question.
Try b = +10 (a point on the other side of the "behavior change" point at x = +3)
a = |b + 2| + |3 – b| = |10 + 2| + |3 - 10| =|12| + |-7| = 12 + 7 = 19
This choice produces a "no" to the prompt question.
Again, we have two different choices producing two different answers, so we know that the statement is
not sufficient.
The individual statements are insufficient, so we have to combine the statements.
Combined statements:
-2 < b < 3 We already know that b = 0 means a = 5, which produces a "yes" to the prompt question.
Try b = +2
a = |b + 2| + |3 – b| = |2 + 2| + |3 – 2| = |4| + |1| = 4 + 1 = 5
That also produces a "yes" answer.
Try b = -1
a = |b + 2| + |3 – b| = |-1 + 2| + |3 – (-1)| = |1| + |4| = 1 + 4 = 5
That one also produces a "yes" answer.
OK, here's the issue. Picking numbers is an excellent way to demonstrate something is
not sufficient, because if we can produce two different answers to the prompt question, we know it's not sufficient.
Picking numbers categorically cannot demonstrate that something is sufficient. You see, there are an infinite number of fractions and decimals between -2 and +3, and of course we can't try every single case. We have shown that it produces the same answer for three cases, and that's certainly suggestive, but we can't be certain that there's not some decimal value somewhere in there that would produce a different answer. At this point, we would have to use either algebra (as I did above) or logic. I suggest that this is the best place to go back and look at the algebra above for what happens on this interval.
Does all this make sense?
Mike