Oh yeah.. Day 3 and counting.
We got a really tough challenge with the Orange Team.
But we will make it. We will win, I'm sure.
Let's get started with our explanation for this topic on day three:
First step in Two Parts, before reading the text I understand what is the question and what is it asking for:
Rephrase the Question:We have P and Q.
P for times we get x
Q for times we get y
We have 1->6 answer choices.
Rephrase - Reading and Understanding the text:Ok, we got probabilty question.
we can see that is similar to dice with [1][/6] possibility. because each face is different.
we can see that we are looking for 'Agate' face so it is [1][/6] of picking it.
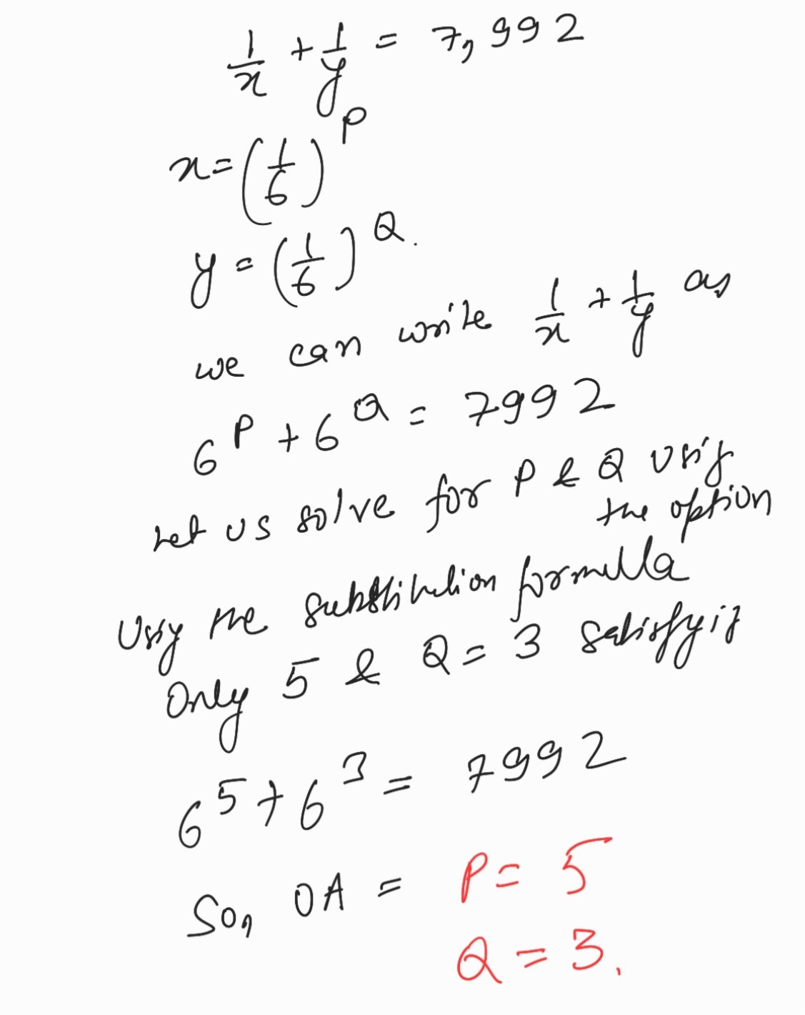
we see an equation given here: [1][/x] + [1][/y] = 7992 (if you don't fimiliar with that kind of equation, it is just implying that x and y are fractions)
and x<y - we need to be focus not being wrong with that x<y because they are fractions!
Let's try getting inside the head of the writer of that question. it is asking for possibilty. we know the possibilities here are [1][/6]. we have an equation.
let's see what happened if we finding the multiples of 6: 6 , 36 , 216 , 1296 , 7776 (for the last one I used a calculator)
Ok, now, can you think of adding two values to get 7992? Yes, we can

try 7776 + 216.
ok we know that 7776 is 6^5 so it is ([1][/6])^5 = [1][/7776], and 216 is 6^3 so it is ([1][/6])^3 = [1][/216]
[1][/7776] < [1][/216] - what is bigger? dont forget x<y
x y P=x Q=y P=5 tosses Q= 3 tosses
We have our answer
THE ENDI hope you liked the explanation, I have tried my best here.
Let me know if you have any questions about this question or my explanation.