Last visit was: 21 Apr 2026, 11:17 It is currently 21 Apr 2026, 11:17
Close
GMAT Club Daily Prep
Thank you for using the timer - this advanced tool can estimate your performance and suggest more practice questions. We have subscribed you to Daily Prep Questions via email.

Customized
for You

we will pick new questions that match your level based on your Timer History

Track
Your Progress

every week, we’ll send you an estimated GMAT score based on your performance

Practice
Pays

we will pick new questions that match your level based on your Timer History
Not interested in getting valuable practice questions and articles delivered to your email? No problem, unsubscribe here.
Close
Request Expert Reply
Confirm Cancel
User avatar
Ryga
Joined: 12 Aug 2023
Last visit: 19 Aug 2025
Posts: 68
Own Kudos:
Given Kudos: 5
Location: India
Concentration: General Management, Leadership
GMAT Focus 1: 695 Q90 V80 DI83
GMAT Focus 1: 695 Q90 V80 DI83
Posts: 68
Kudos: 51
Kudos
Add Kudos
Bookmarks
Bookmark this Post
User avatar
Duongduong273
Joined: 08 Apr 2023
Last visit: 03 Feb 2026
Posts: 32
Own Kudos:
Given Kudos: 4
Posts: 32
Kudos: 32
Kudos
Add Kudos
Bookmarks
Bookmark this Post
User avatar
mvgkannan
Joined: 23 Apr 2025
Last visit: 30 Mar 2026
Posts: 57
Own Kudos:
36
 [1]
Given Kudos: 38
Location: India
Concentration: Finance, Entrepreneurship
GMAT Focus 1: 705 Q90 V85 DI80
WE:General Management (Government)
GMAT Focus 1: 705 Q90 V85 DI80
Posts: 57
Kudos: 36
 [1]
1
Kudos
Add Kudos
Bookmarks
Bookmark this Post
User avatar
lvillalon
Joined: 29 Jun 2025
Last visit: 25 Aug 2025
Posts: 88
Own Kudos:
Given Kudos: 14
Location: Chile
Concentration: Operations, Entrepreneurship
GPA: 3,3
WE:Consulting (Consulting)
Kudos
Add Kudos
Bookmarks
Bookmark this Post
Minivan=M
Sedan=S
Electric=E
Gasoline=G

M+S=1
E+G=1

Q: SE>MG?

Vehicle type and fuel type are independent, hence V1 OR F1 = V1+F1-V1F1

(1)
M+G-MG=2/5
Can't get the exact values, nor a concluding inequality, since you lack information about S and E.
-> Insufficient

(2)
S+E-SE=5/8
Can't get the exact values, nor a concluding inequality, since you lack information about M and G.
-> Insufficient

Together:
Sum statements:
M+G-MG + S+E-SE = 2/5 + 5/8
Reorder and replace:
(M+S) + (E+G) - MG - SE = 41/40
1 + 1 - 41/40 = MG + SE
39/40 = MG + SE

You are left with 2 variables (any could be bigger), hence, E. You need additional info.
Bunuel
A rental firm has only two distinct types of vehicles: minivans and sedans. Each vehicle runs on exactly one fuel type, either gasoline or electricity. If a vehicle is selected at random, is the probability that it is a sedan running on electricity greater than the probability that it is a minivan running on gasoline?

(1) The probability that a randomly selected vehicle is either a minivan or runs on gasoline is 2/5.
(2) The probability that a randomly selected vehicle is either a sedan or runs on electricity is 5/8.


 


This question was provided by GMAT Club
for the GMAT Club Olympics Competition

Win over $30,000 in prizes such as Courses, Tests, Private Tutoring, and more

 

User avatar
D3N0
Joined: 21 Jan 2015
Last visit: 19 Mar 2026
Posts: 585
Own Kudos:
Given Kudos: 132
Location: India
Concentration: Operations, Technology
GMAT 1: 620 Q48 V28
GMAT 2: 690 Q49 V35
WE:Operations (Retail: E-commerce)
Products:
GMAT 2: 690 Q49 V35
Posts: 585
Kudos: 607
Kudos
Add Kudos
Bookmarks
Bookmark this Post
Ans: E
A rental firm has only two distinct types of vehicles: minivans (m) and sedans (s). Each vehicle runs on exactly one fuel type, either gasoline (g) or electricity (e).
If a vehicle is selected at random,
Find out if the probability that it is a sedan running on electricity> Probability that it is a minivan running on gasoline
P(s and e) > P (m and g)

formula: P(A or B) = P(A) + P(B) - P(A and B)

(1) The probability that a randomly selected vehicle is either a minivan or runs on gasoline is 2/5.
given P(m or g) = 2/5
meaning P(m and g) = P(m) + P(g) - P(m or g)
P(m and g) = P(m) + P(g) - 2/5 = 3 unknown values and we also don't know anything about P(s) and P(e)
[not sufficient]

(2) The probability that a randomly selected vehicle is either a sedan or runs on electricity is 5/8.
same way as above P(m) and P(g) are unkown for the comparision
P(m and g) = P(m) + P(g) - 2/5

Together:
We know that if P(m) + P(s) = 1 (because a vehicle can not be both sedan and minivan)
same with P(g) + P(e) = 1
Replacing these and subtracting the resultant equations, we will get

P(m and g) = P(m) + P(g) - 2/5
P(m and g) = 1 - P(s) + 1 - P(e) - 2/5

P(m and g) = 2 - P(s) - P(e) - 2/5
P(s and e) = P(s) + P(e) - 5/8

adding these 2 equations

P(m and g) + P (s and e) = 39/40
can not say if P(s and e) > P (m and g) or not {Not sufficient}
User avatar
MBAChaser123
Joined: 19 Nov 2024
Last visit: 25 Dec 2025
Posts: 86
Own Kudos:
74
 [1]
Given Kudos: 7
Location: United States
GMAT Focus 1: 695 Q88 V83 DI82
GPA: 3
GMAT Focus 1: 695 Q88 V83 DI82
Posts: 86
Kudos: 74
 [1]
1
Kudos
Add Kudos
Bookmarks
Bookmark this Post
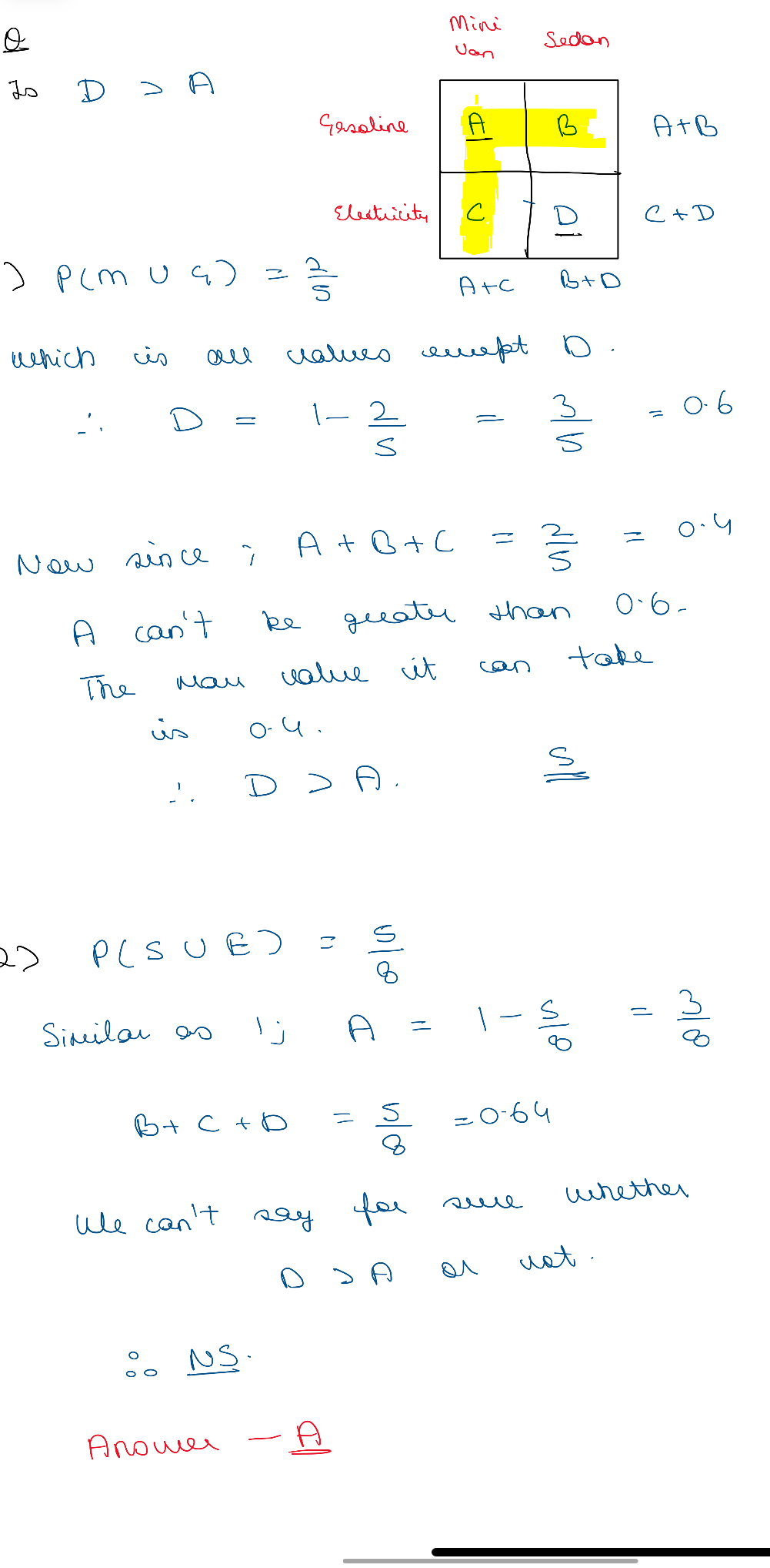
Minivan Sedan Total
GasolineAB
ElectricityCD
Total1


We assign letters A, B, C, and D to each of the probabilities as the table above shows. Also, we know that the sum of all of them equals 1.
The question asks if D is greater than A.

Statement 1: This statement includes the probabilities A, C, and B. So we know from this statement that A+C+B=2/5

So we can calculate D=3/5, since the sum of all is 1.
if D=3/5, we know that D is bigger than all of the rest, since the maximum for each of them is only 2/5.
So, Statement 1 is sufficient.


Statement 2: This statement includes the probabilities B, D, and C. So we know from this statement that B+D+C=5/8

So we can calculate A=3/8, since the sum of all is 1.
This is not enough information to compare A and D. D can be more than 3/8, less, or even equal.
So, statement 2 is not sufficient.


Option A is correct.
Bunuel
A rental firm has only two distinct types of vehicles: minivans and sedans. Each vehicle runs on exactly one fuel type, either gasoline or electricity. If a vehicle is selected at random, is the probability that it is a sedan running on electricity greater than the probability that it is a minivan running on gasoline?

(1) The probability that a randomly selected vehicle is either a minivan or runs on gasoline is 2/5.
(2) The probability that a randomly selected vehicle is either a sedan or runs on electricity is 5/8.


 


This question was provided by GMAT Club
for the GMAT Club Olympics Competition

Win over $30,000 in prizes such as Courses, Tests, Private Tutoring, and more

 

User avatar
praneethkarempudi
Joined: 23 Jul 2018
Last visit: 31 Oct 2025
Posts: 35
Own Kudos:
Given Kudos: 9
Location: India
GMAT 1: 690 Q50 V34
GPA: 85%
Products:
GMAT 1: 690 Q50 V34
Posts: 35
Kudos: 18
Kudos
Add Kudos
Bookmarks
Bookmark this Post
P(MV or G) = P(mv)[p(e) + p(g)] + p(g) [p(s)+p(mv)] - p(mv and g) = 2/5
P(S or E) = P(s)[p(e) + p(g)] + p(e) [p(s)+p(mv)] - p(s and e) = 5/8

p(e) + p(g) = 1 and p(s) + p(mv) = 1

and to know p(mv and g) and p(s and e), we need to know the actual probabilities. this information is not sufficient.
Bunuel
A rental firm has only two distinct types of vehicles: minivans and sedans. Each vehicle runs on exactly one fuel type, either gasoline or electricity. If a vehicle is selected at random, is the probability that it is a sedan running on electricity greater than the probability that it is a minivan running on gasoline?

(1) The probability that a randomly selected vehicle is either a minivan or runs on gasoline is 2/5.
(2) The probability that a randomly selected vehicle is either a sedan or runs on electricity is 5/8.


 


This question was provided by GMAT Club
for the GMAT Club Olympics Competition

Win over $30,000 in prizes such as Courses, Tests, Private Tutoring, and more

 

User avatar
AviNFC
Joined: 31 May 2023
Last visit: 10 Apr 2026
Posts: 306
Own Kudos:
Given Kudos: 5
Posts: 306
Kudos: 366
Kudos
Add Kudos
Bookmarks
Bookmark this Post
Let Minivans with gasoline & electric cars be p & q
let Sedan with gasoline & electric cars be r & s
Is s>p ??

1. p+q+r=2/5...NOT SUFFICIENT
2. r+s+q=5/8...NOT SUFFICIENT

together,
1-2
p-s=2/5-5/8=-ve..so s>p...YES..SUFFICIENT

Ans C
User avatar
HarshaBujji
Joined: 29 Jun 2020
Last visit: 05 Apr 2026
Posts: 723
Own Kudos:
Given Kudos: 247
Location: India
Products:
Posts: 723
Kudos: 906
Kudos
Add Kudos
Bookmarks
Bookmark this Post
Bunuel
A rental firm has only two distinct types of vehicles: minivans and sedans. Each vehicle runs on exactly one fuel type, either gasoline or electricity. If a vehicle is selected at random, is the probability that it is a sedan running on electricity greater than the probability that it is a minivan running on gasoline?

(1) The probability that a randomly selected vehicle is either a minivan or runs on gasoline is 2/5.
(2) The probability that a randomly selected vehicle is either a sedan or runs on electricity is 5/8.


 


This question was provided by GMAT Club
for the GMAT Club Olympics Competition

Win over $30,000 in prizes such as Courses, Tests, Private Tutoring, and more

 

Let's consider the number of vehicles for group MG - a, ME - b, SG - c, SE -d , where M,S represent minivans and sedans. G, E represents gasoline and electricity.

t = a+b+c+d.
We need to prove d/t > a/t => d > a , Need to be proven.

Stmt (1) The probability that a randomly selected vehicle is either a minivan or runs on gasoline is 2/5.
( a+b+c )/t = 2/5 => d/t = 3/5.
This is not sufficient.

Stmt (2) The probability that a randomly selected vehicle is either a sedan or runs on electricity is 5/8.
Similarly, (c+d+b)/t = 5/8 => a/t = 3/8.
This is also not sufficient.

If we combine both we have d = 8/5a Mean d>a, We can prove this. Hence IMO C
User avatar
asingh22
Joined: 31 Jul 2024
Last visit: 31 Mar 2026
Posts: 68
Own Kudos:
57
 [1]
Given Kudos: 8
Location: India
GMAT Focus 1: 635 Q84 V78 DI82
GMAT Focus 2: 655 Q89 V80 DI78
GPA: 2.5
1
Kudos
Add Kudos
Bookmarks
Bookmark this Post
Let denote Se = Sedan on electricity, Sg = sedan on gasoline
Me = Minivan on electricity, Mg minivan on gasoline
Total. = A

we are asked is Se/A > Mg/A, is Se>Mg

1. Given that (M +G)/A = 2/5
We can write M and G, Mg+Me+Mg+Sg-Mg( counted 2 times) = 2/5*A
Mg+Me+Sg = 2/5*A
A-(Sg+Se)+Sg = 2/5*A
Se = 3/5 (A), We know that (M+G)/A = 2/5 the Mg/A < 2/5 as M and Gasoline combined is equal to 2/5
For we can say that Se>mg

Sufficient

2. given that (S+E)/A = 5/8
So, Se+Sg+Me+Se - Se = 5/8(A)
A-(Me+Mg)+Me = 5/8
Mg = 3/8( A)
here we don't know is Se is less than or greater than 3/8 (A)

then Not sufficient
User avatar
Brownieeee
Joined: 24 Nov 2024
Last visit: 12 Apr 2026
Posts: 50
Own Kudos:
Given Kudos: 17
Posts: 50
Kudos: 31
Kudos
Add Kudos
Bookmarks
Bookmark this Post
we need to find:
Is there a chance of picking an electric sedan higher than that of picking a gasoline minivan?
So, we need to compare count of electric sedans vs count of gasoline minivans

But we’re not given any numbers — no info about:

  • Number of total vehicles there are
  • Total Numbers of minivans vs sedans
  • Total Numbers of gasoline vs electric

Without any data or conditions, we cannot determine which number is greater.
So, we can’t compare the two probabilities.

Final Answer: E
User avatar
FrontlineCulture
Joined: 18 Apr 2025
Last visit: 28 Jan 2026
Posts: 46
Own Kudos:
Given Kudos: 1
Posts: 46
Kudos: 19
Kudos
Add Kudos
Bookmarks
Bookmark this Post
statement 1: tells us that if there were 10 cars, 4 out of 10 would be either a minivan or run on gasoline, but it doesn't provide any information on how many belong to either category
i.e., are there 3 mini vans that run on electricity and 1 sedan that runs on gas, or are all 4 out of 10 cars minivans that run on gas --> insufficient


statement 2: tells us what we already know from statement 1 -- even though we should ignore that information

that is, it gives us the other side of the relationship: if 4 out of every 10 are minivans or run on gas, then 6 out of every 10 are sedans or electric --> insufficient

together: no other insights can be gleaned, so E -- neither statement is sufficient.
Bunuel
A rental firm has only two distinct types of vehicles: minivans and sedans. Each vehicle runs on exactly one fuel type, either gasoline or electricity. If a vehicle is selected at random, is the probability that it is a sedan running on electricity greater than the probability that it is a minivan running on gasoline?

(1) The probability that a randomly selected vehicle is either a minivan or runs on gasoline is 2/5.
(2) The probability that a randomly selected vehicle is either a sedan or runs on electricity is 5/8.


 


This question was provided by GMAT Club
for the GMAT Club Olympics Competition

Win over $30,000 in prizes such as Courses, Tests, Private Tutoring, and more

 

User avatar
Dereno
Joined: 22 May 2020
Last visit: 21 Apr 2026
Posts: 1,398
Own Kudos:
Given Kudos: 425
Products:
Posts: 1,398
Kudos: 1,373
Kudos
Add Kudos
Bookmarks
Bookmark this Post
Bunuel
A rental firm has only two distinct types of vehicles: minivans and sedans. Each vehicle runs on exactly one fuel type, either gasoline or electricity. If a vehicle is selected at random, is the probability that it is a sedan running on electricity greater than the probability that it is a minivan running on gasoline?

(1) The probability that a randomly selected vehicle is either a minivan or runs on gasoline is 2/5.
(2) The probability that a randomly selected vehicle is either a sedan or runs on electricity is 5/8.


 


This question was provided by GMAT Club
for the GMAT Club Olympics Competition

Win over $30,000 in prizes such as Courses, Tests, Private Tutoring, and more

 

There are two distinct types of vehicles : Minivans and Sedans . Let’s us name them as M and S.

They run on one fuel type : Gasoline or electricity. Let that be G and E.

is the probability that it is a sedan running on electricity greater than the probability that it is a minivan running on gasoline?

probabilty of ( S+ E) > probability of ( M+ G) ??

Statement 1:

(1) The probability that a randomly selected vehicle is either a minivan or runs on gasoline is 2/5.

ME + MG + SG = 2/5

hence insufficient

Statement 2:

(2) The probability that a randomly selected vehicle is either a sedan or runs on electricity is 5/8.

SE + SG + ME = 5/8

hence insufficient

Combining Statements 1 and 2, we get

subtract statement 2 and statement 1,

SE + SG + ME - ( ME + MG + SG) = 5/8 - 2/5

SE - MG = 9/40

SE = 9/40 + MG

thus , SE > MG

Option C
User avatar
iAkku
Joined: 25 Aug 2023
Last visit: 16 Aug 2025
Posts: 28
Own Kudos:
19
 [1]
Given Kudos: 11
Location: India
Posts: 28
Kudos: 19
 [1]
1
Kudos
Add Kudos
Bookmarks
Bookmark this Post


Bunuel
A rental firm has only two distinct types of vehicles: minivans and sedans. Each vehicle runs on exactly one fuel type, either gasoline or electricity. If a vehicle is selected at random, is the probability that it is a sedan running on electricity greater than the probability that it is a minivan running on gasoline?

(1) The probability that a randomly selected vehicle is either a minivan or runs on gasoline is 2/5.
(2) The probability that a randomly selected vehicle is either a sedan or runs on electricity is 5/8.


 


This question was provided by GMAT Club
for the GMAT Club Olympics Competition

Win over $30,000 in prizes such as Courses, Tests, Private Tutoring, and more

 

Attachment:
GMAT-Club-Forum-h0z1a54p.png
GMAT-Club-Forum-h0z1a54p.png [ 172.19 KiB | Viewed 251 times ]
User avatar
chasing725
Joined: 22 Jun 2025
Last visit: 13 Jan 2026
Posts: 176
Own Kudos:
173
 [1]
Given Kudos: 5
Location: United States (OR)
Schools: Stanford
Schools: Stanford
Posts: 176
Kudos: 173
 [1]
1
Kudos
Add Kudos
Bookmarks
Bookmark this Post
Bunuel
A rental firm has only two distinct types of vehicles: minivans and sedans. Each vehicle runs on exactly one fuel type, either gasoline or electricity. If a vehicle is selected at random, is the probability that it is a sedan running on electricity greater than the probability that it is a minivan running on gasoline?

(1) The probability that a randomly selected vehicle is either a minivan or runs on gasoline is 2/5.
(2) The probability that a randomly selected vehicle is either a sedan or runs on electricity is 5/8.


 


This question was provided by GMAT Club
for the GMAT Club Olympics Competition

Win over $30,000 in prizes such as Courses, Tests, Private Tutoring, and more

 


(1) The probability that a randomly selected vehicle is either a minivan or runs on gasoline is 2/5.

The only option left is sedan electric, whose probability is 1 - 2/5 = 3/5

Hence, Probability of electric sedan = 3/5. As probability of electric sedan is 3/5, the probability of gasoline minivan must be less than or equal to 2/5. Hence we can say Prob. of electric sedan > Prob. gasoline minivan.

Statement 1 is enough.

(2) The probability that a randomly selected vehicle is either a sedan or runs on electricity is 5/8.

The only option left is gasoline minivan, whose probability is 1 - 5/8 = 3/8

Now there can be multiple possibilities
1. Probability of electric sedan = 4/8

If so, Prob. of electric sedan > Prob. gasoline minivan.

2. Probability of electric sedan = 1/8

If so, Prob. of electric sedan < Prob. gasoline minivan.

We can have multiple answers. Statement 2 is not enough.

Option A
User avatar
missionmba2025
Joined: 07 May 2023
Last visit: 07 Sep 2025
Posts: 341
Own Kudos:
430
 [1]
Given Kudos: 52
Location: India
Posts: 341
Kudos: 430
 [1]
1
Kudos
Add Kudos
Bookmarks
Bookmark this Post
Bunuel
A rental firm has only two distinct types of vehicles: minivans and sedans. Each vehicle runs on exactly one fuel type, either gasoline or electricity. If a vehicle is selected at random, is the probability that it is a sedan running on electricity greater than the probability that it is a minivan running on gasoline?

(1) The probability that a randomly selected vehicle is either a minivan or runs on gasoline is 2/5.
(2) The probability that a randomly selected vehicle is either a sedan or runs on electricity is 5/8.


 


This question was provided by GMAT Club
for the GMAT Club Olympics Competition

Win over $30,000 in prizes such as Courses, Tests, Private Tutoring, and more

 


Assume

MG = minivan running on gasoline
ME = minivan running on electricity
SG = sedan running on gasoline
SE = sedan running on electricity

We know that

P(MG) + P(ME) + P(SG) + P(SE) = 1

Question: Is P(SE) > P(MG)?

Statement (1): The chance that a vehicle is either a minivan OR runs on gasoline is 2/5.

The only type of vehicle that is neither a minivan nor runs on gasoline is a sedan that runs on electricity. Therefore,

P(SE) = 1 - 2/5 = 3/5

Now, since the combined probability of all the other three categories (MG, ME, SG) is 2/5, it means

P(MG) + P(ME) + P(SG) = 2/5

So P(MG) is part of this 2/5, meaning it must be less than or equal to 2/5.

Hence, we can conclude that 3/5 is definitely greater than 2/5.

Statement (2): The chance that a vehicle is either a sedan OR runs on electricity is 5/8.

Now the only kind of vehicle that is not a sedan and doesn’t run on electricity is a minivan running on gasoline. Therefore,

P(MG) = 1 - 5/8 = 3/8

So now we know the probability of MG.

Is P(SE) > 3/8?

But we don’t know anything about P(SE) from this statement. It could be smaller than 3/8 or larger.

Hence, the statement alone is not sufficient.

Option A
User avatar
Gmatismybestie
Joined: 27 Jun 2025
Last visit: 01 Aug 2025
Posts: 29
Own Kudos:
Given Kudos: 2
Schools: UCR '27 (S)
Schools: UCR '27 (S)
Posts: 29
Kudos: 24
Kudos
Add Kudos
Bookmarks
Bookmark this Post
Bunuel
A rental firm has only two distinct types of vehicles: minivans and sedans. Each vehicle runs on exactly one fuel type, either gasoline or electricity. If a vehicle is selected at random, is the probability that it is a sedan running on electricity greater than the probability that it is a minivan running on gasoline?

(1) The probability that a randomly selected vehicle is either a minivan or runs on gasoline is 2/5.
(2) The probability that a randomly selected vehicle is either a sedan or runs on electricity is 5/8.


 


This question was provided by GMAT Club
for the GMAT Club Olympics Competition

Win over $30,000 in prizes such as Courses, Tests, Private Tutoring, and more

 

We have the probability: ES as (Electricity Sedan), GS as (Gas Sedan), EM as (Electricity Minivan), GM as (Gas Minivan). The Question is: ES > GM?
(1) The statement inferred: EM + GS - GM = 2/5 => not sufficient since no info about ES
(2) The statement inferred: GS + EM - ES = 5/8 => not sufficient since no info about GM

Combine (1) and (2):
(EM+GS) - GM =2/5=16/40
(EM+GS) - ES =5/8=25/40
=> GM > ES

Answer: C. BOTH statements TOGETHER are sufficient, but NEITHER statement ALONE is sufficient.
User avatar
Manu1995
Joined: 30 Aug 2021
Last visit: 17 Mar 2026
Posts: 81
Own Kudos:
Given Kudos: 18
Posts: 81
Kudos: 55
Kudos
Add Kudos
Bookmarks
Bookmark this Post
Let's assume Total vehicles =100

gasolineElectricTotal
SedanSGSES
MinivanMGMEM
TotalGE100

Asked: The number of sedans on electricity more than minivans on gasoline
i.e SE>MG?

Statement (1):
Vehicles that are minivans or use gasoline = 40%
==> MG +ME +SG = 40-----1

Statement(2):
Vehicles that are sedan or use electricity=62.5%
==> SG + SE + ME = 62.5-----2

Using both the statements : Subtracting eq2 - eq1
==> SE - MG = 22.5
That means sedans on electricity are more than minivans on gasoline by 22.5%

Both statements together are sufficient Option C
User avatar
DataGuyX
Joined: 23 Apr 2023
Last visit: 02 Apr 2026
Posts: 111
Own Kudos:
Given Kudos: 161
Location: Brazil
Concentration: Entrepreneurship, Technology
GMAT Focus 1: 675 Q79 V85 DI86
GPA: 7.3
Kudos
Add Kudos
Bookmarks
Bookmark this Post
"A rental firm has only two distinct types of vehicles: minivans and sedans. Each vehicle runs on exactly one fuel type, either gasoline or electricity. If a vehicle is selected at random, is the probability that it is a sedan running on electricity greater than the probability that it is a minivan running on gasoline?"

Let M = minivan, S = sedan, G = Gasoline, and E = electricity

We can rephrase the question to: P(S & E) > P(M & G)?

(1) The probability that a randomly selected vehicle is either a minivan or runs on gasoline is 2/5.
If P(M) OR P(G) = 2/5 then P(S & E) = 1 - (2/5) = 3/5. Now we know the P(S & E). Is it sufficient to answer the question? No, it is not. We can eliminate options A and D.

(2) The probability that a randomly selected vehicle is either a sedan or runs on electricity is 5/8.
If P(S) OR P(E) = 5/8 then P(M & G) = 1 - (5/8) = 3/8. Now we know the P(M & G). Is it sufficient to answer the question? No, it is not. We can eliminate option B.

Statements (1) and (2).
Together, we can infer the probabilities of both, P(S & E) and P(M & G). Is it sufficient to answer the question? Yes, it is. We can eliminate option E.

Answer = C.
User avatar
naman.goswami
Joined: 11 Jun 2023
Last visit: 17 Apr 2026
Posts: 35
Own Kudos:
Given Kudos: 65
Location: India
GMAT 1: 640 Q53 V25
GMAT 1: 640 Q53 V25
Posts: 35
Kudos: 29
Kudos
Add Kudos
Bookmarks
Bookmark this Post
S1 - P(minivan) + P (Gasoline) - P(Minivan U Gasoline) = 2/5
This gives us not info about P(Electic) and P(Sedan)
Not sufficient

S2 - P(sedan)+P(electricity) - P(sedan and electricity) = 5/8
This gives us not info about P(minivan) and P(Gasoline)
Not sufficient

S1+S2

P(minivan) + P (Gasoline) - P(Minivan U Gasoline) = 2/5
P(sedan)+P(electricity) - P(sedan and electricity) = 5/8

P(minivan and electric) + P (minivan and gasoline) + P (Sedan and electric) + P (Sedan and gasoline) =1

these three statements are not enough to tell us whether the probability that it is a sedan running on electricity greater than the probability that it is a minivan running on gasoline.

Answer = E
   1   2   3   4   5   6   
Moderators:
Math Expert
109729 posts
498 posts
211 posts