Last visit was: 23 Apr 2026, 21:35 It is currently 23 Apr 2026, 21:35
Close
GMAT Club Daily Prep
Thank you for using the timer - this advanced tool can estimate your performance and suggest more practice questions. We have subscribed you to Daily Prep Questions via email.

Customized
for You

we will pick new questions that match your level based on your Timer History

Track
Your Progress

every week, we’ll send you an estimated GMAT score based on your performance

Practice
Pays

we will pick new questions that match your level based on your Timer History
Not interested in getting valuable practice questions and articles delivered to your email? No problem, unsubscribe here.
Close
Request Expert Reply
Confirm Cancel
User avatar
Bunuel
User avatar
Math Expert
Joined: 02 Sep 2009
Last visit: 23 Apr 2026
Posts: 109,785
Own Kudos:
Given Kudos: 105,853
Products:
Expert
Expert reply
Active GMAT Club Expert! Tag them with @ followed by their username for a faster response.
Posts: 109,785
Kudos: 810,886
 [48]
7
Kudos
Add Kudos
41
Bookmarks
Bookmark this Post
Most Helpful Reply
avatar
bluesquare
Joined: 29 Mar 2015
Last visit: 01 Dec 2016
Posts: 39
Own Kudos:
65
 [18]
Given Kudos: 9
Location: United States
Products:
Posts: 39
Kudos: 65
 [18]
9
Kudos
Add Kudos
9
Bookmarks
Bookmark this Post
User avatar
Harley1980
User avatar
Retired Moderator
Joined: 06 Jul 2014
Last visit: 14 Jun 2024
Posts: 997
Own Kudos:
6,769
 [9]
Given Kudos: 178
Location: Ukraine
Concentration: Entrepreneurship, Technology
GMAT 1: 660 Q48 V33
GMAT 2: 740 Q50 V40
GMAT 2: 740 Q50 V40
Posts: 997
Kudos: 6,769
 [9]
7
Kudos
Add Kudos
2
Bookmarks
Bookmark this Post
General Discussion
avatar
rajgurinder
Joined: 12 Feb 2013
Last visit: 15 Jun 2015
Posts: 17
Own Kudos:
82
 [4]
Given Kudos: 7
Posts: 17
Kudos: 82
 [4]
3
Kudos
Add Kudos
1
Bookmarks
Bookmark this Post
Ans is A

Please find the solution below in file attached.
Attachments

Capture2.PNG
Capture2.PNG [ 53.61 KiB | Viewed 15943 times ]

User avatar
balamoon
Joined: 26 Dec 2011
Last visit: 04 May 2025
Posts: 111
Own Kudos:
313
 [3]
Given Kudos: 91
Schools: HBS '18 IIMA
Schools: HBS '18 IIMA
Posts: 111
Kudos: 313
 [3]
2
Kudos
Add Kudos
1
Bookmarks
Bookmark this Post
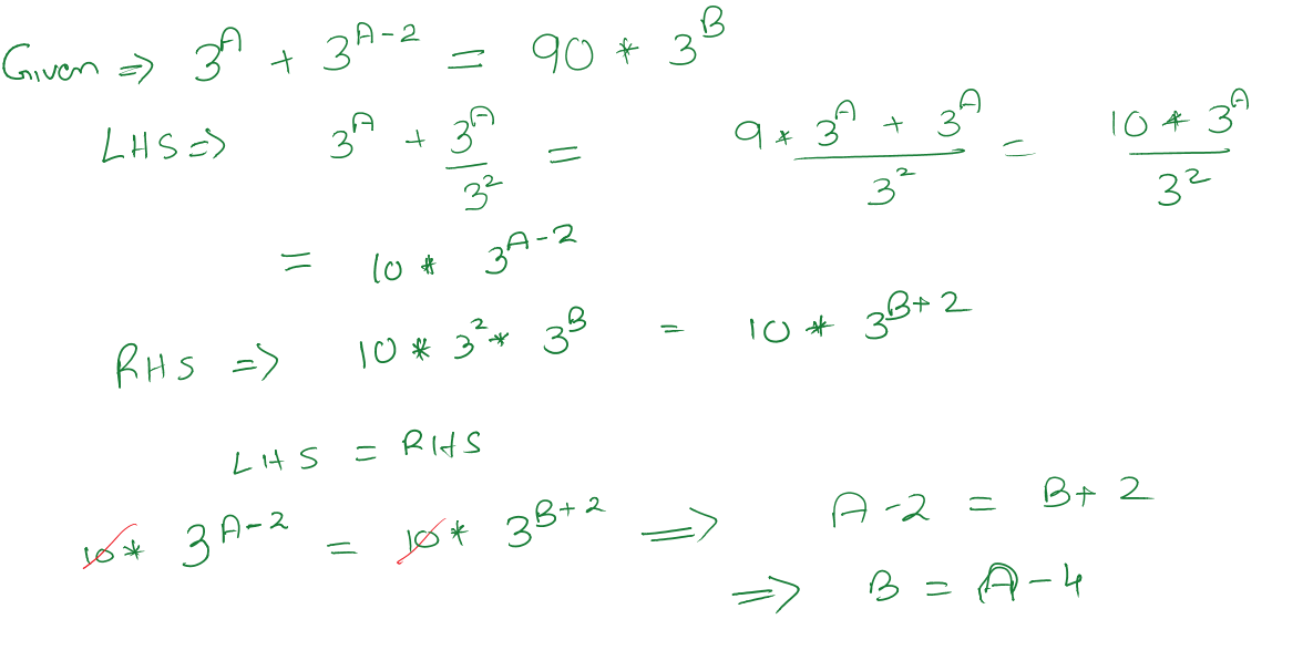
If 3^a + 3^(a - 2) = (90)(3^b), what is b in terms of a?


Lets take a=2. 3^2+3^0=(90)3^b -> 10/90=3^b --> 3^-2=3^b ---> b=-2.

Substitute a=2 in answer choices, only A fits correctly.

Thanks,

Please give me kudos.
User avatar
D3N0
Joined: 21 Jan 2015
Last visit: 19 Mar 2026
Posts: 585
Own Kudos:
607
 [1]
Given Kudos: 132
Location: India
Concentration: Operations, Technology
GMAT 1: 620 Q48 V28
GMAT 2: 690 Q49 V35
WE:Operations (Retail: E-commerce)
Products:
GMAT 2: 690 Q49 V35
Posts: 585
Kudos: 607
 [1]
1
Kudos
Add Kudos
Bookmarks
Bookmark this Post
Bunuel
If 3^a + 3^(a - 2) = (90)(3^b), what is b in terms of a?

(A) a – 4
(B) a – 2
(C) a + 4
(D) 3a + 2
(E) 3a + 4

Ans : A

Solution: generalizing both sides gives us

3^a-2 * 5*2 = 3^ b+2 * 5*2
means a-2=b+2
b= a-4
avatar
Vaibhav21
Joined: 01 Jan 2015
Last visit: 09 Oct 2019
Posts: 47
Own Kudos:
Given Kudos: 7
Posts: 47
Kudos: 14
Kudos
Add Kudos
Bookmarks
Bookmark this Post
3^(a-2) X (5*2) = 3^ (b+2) X (5*2)
a-2=b+2
b= a-4
Ans A
User avatar
pacifist85
Joined: 07 Apr 2014
Last visit: 20 Sep 2015
Posts: 322
Own Kudos:
Given Kudos: 169
Status:Math is psycho-logical
Location: Netherlands
GMAT Date: 02-11-2015
WE:Psychology and Counseling (Other)
Posts: 322
Kudos: 459
Kudos
Add Kudos
Bookmarks
Bookmark this Post
Harley1980
Bunuel
If 3^a + 3^(a - 2) = (90)(3^b), what is b in terms of a?

(A) a – 4
(B) a – 2
(C) a + 4
(D) 3a + 2
(E) 3a + 4


Kudos for a correct solution.

\(3^a + 3^{a - 2} =3^{a-2}(3^2+1)=3^{a-2}*10\)

\((90)(3^b)=3^2*10*3^b=3^{b+2}*10\)

so \(3^{a-2}*10=3^{b+2}*10\)

\(b+2=a-2\) --> \(b = a-4\)

Answer is A

Hello could you explain the part in red to me plz?
I understand that you took 3^a-2 as a common factor. But how did you get that taking the power of "a-2" from a power of "a" leaves a square?
User avatar
Harley1980
User avatar
Retired Moderator
Joined: 06 Jul 2014
Last visit: 14 Jun 2024
Posts: 997
Own Kudos:
6,769
 [1]
Given Kudos: 178
Location: Ukraine
Concentration: Entrepreneurship, Technology
GMAT 1: 660 Q48 V33
GMAT 2: 740 Q50 V40
GMAT 2: 740 Q50 V40
Posts: 997
Kudos: 6,769
 [1]
1
Kudos
Add Kudos
Bookmarks
Bookmark this Post
pacifist85
Harley1980
Bunuel
If 3^a + 3^(a - 2) = (90)(3^b), what is b in terms of a?

(A) a – 4
(B) a – 2
(C) a + 4
(D) 3a + 2
(E) 3a + 4


Kudos for a correct solution.

\(3^a + 3^{a - 2} =3^{a-2}(3^2+1)=3^{a-2}*10\)

\((90)(3^b)=3^2*10*3^b=3^{b+2}*10\)

so \(3^{a-2}*10=3^{b+2}*10\)

\(b+2=a-2\) --> \(b = a-4\)

Answer is A

Hello could you explain the part in red to me plz?
I understand that you took 3^a-2 as a common factor. But how did you get that taking the power of "a-2" from a power of "a" leaves a square?

Hello pacifist85
If you multiply \(3^{a-2}\) on \(3^2\) you receive \(3^{(a-2)+2}\) --> \(3^a\)
User avatar
pacifist85
Joined: 07 Apr 2014
Last visit: 20 Sep 2015
Posts: 322
Own Kudos:
Given Kudos: 169
Status:Math is psycho-logical
Location: Netherlands
GMAT Date: 02-11-2015
WE:Psychology and Counseling (Other)
Posts: 322
Kudos: 459
Kudos
Add Kudos
Bookmarks
Bookmark this Post
Oh ok I think i see it now. So, you basally want to take 3^a-2 out, as a common factor. You have 3^a, and from that power (a) you are subtracting a-2, as you have already taken this as a fator.

Then you would have 3^a-(a-2) = 3^a-a+2 = 3^2. I hope I got it right...
User avatar
GMATinsight
User avatar
Major Poster
Joined: 08 Jul 2010
Last visit: 23 Apr 2026
Posts: 6,976
Own Kudos:
Given Kudos: 128
Status:GMAT/GRE Tutor l Admission Consultant l On-Demand Course creator
Location: India
GMAT: QUANT+DI EXPERT
Schools: IIM (A) ISB '24
GMAT 1: 750 Q51 V41
WE:Education (Education)
Products:
Expert
Expert reply
Schools: IIM (A) ISB '24
GMAT 1: 750 Q51 V41
Posts: 6,976
Kudos: 16,908
Kudos
Add Kudos
Bookmarks
Bookmark this Post
pacifist85
Harley1980
Bunuel
If 3^a + 3^(a - 2) = (90)(3^b), what is b in terms of a?

(A) a – 4
(B) a – 2
(C) a + 4
(D) 3a + 2
(E) 3a + 4


Kudos for a correct solution.

\(3^a + 3^{a - 2} =3^{a-2}(3^2+1)=3^{a-2}*10\)

\((90)(3^b)=3^2*10*3^b=3^{b+2}*10\)

so \(3^{a-2}*10=3^{b+2}*10\)

\(b+2=a-2\) --> \(b = a-4\)

Answer is A

Hello could you explain the part in red to me plz?
I understand that you took 3^a-2 as a common factor. But how did you get that taking the power of "a-2" from a power of "a" leaves a square?

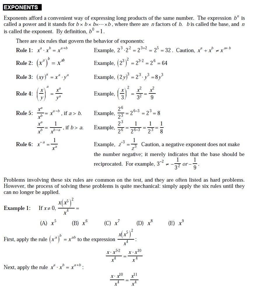
Hi pacifist,

Just for your information and better understanding here are Rules of exponents

The powers of the numbers add up for the same base when the numbers are multiplied i.e. \(a^x * a^y = a^{(x+y)}\)
Attachments

File comment: www.GMATinsight.com
Rules of Exponents.jpg
Rules of Exponents.jpg [ 197.99 KiB | Viewed 15071 times ]

avatar
xLUCAJx
Joined: 22 Apr 2015
Last visit: 05 Jan 2020
Posts: 37
Own Kudos:
29
 [1]
Given Kudos: 118
Location: United States
GMAT 1: 620 Q46 V27
GPA: 3.86
GMAT 1: 620 Q46 V27
Posts: 37
Kudos: 29
 [1]
Kudos
Add Kudos
1
Bookmarks
Bookmark this Post
Harley1980
Bunuel
If 3^a + 3^(a - 2) = (90)(3^b), what is b in terms of a?

(A) a – 4
(B) a – 2
(C) a + 4
(D) 3a + 2
(E) 3a + 4


Kudos for a correct solution.

\(3^a + 3^{a - 2} =3^{a-2}(3^2+1)=3^{a-2}*10\)

\((90)(3^b)=3^2*10*3^b=3^{b+2}*10\)

so \(3^{a-2}*10=3^{b+2}*10\)

\(b+2=a-2\) --> \(b = a-4\)

Answer is A

I am confused on the first step you took that factored out the \((3^2+1)\)
User avatar
mejia401
Joined: 15 Sep 2011
Last visit: 26 Nov 2018
Posts: 251
Own Kudos:
Given Kudos: 46
Location: United States
WE:Corporate Finance (Manufacturing)
Posts: 251
Kudos: 1,438
Kudos
Add Kudos
Bookmarks
Bookmark this Post
xLUCAJx
Harley1980
Bunuel
If 3^a + 3^(a - 2) = (90)(3^b), what is b in terms of a?

(A) a – 4
(B) a – 2
(C) a + 4
(D) 3a + 2
(E) 3a + 4


Kudos for a correct solution.

\(3^a + 3^{a - 2} =3^{a-2}(3^2+1)=3^{a-2}*10\)

\((90)(3^b)=3^2*10*3^b=3^{b+2}*10\)

so \(3^{a-2}*10=3^{b+2}*10\)

\(b+2=a-2\) --> \(b = a-4\)

Answer is A

I am confused on the first step you took that factored out the \((3^2+1)\)

Hi xLUCAJx,

They factored out the whole expression, \(3^{a-2}\), so that the \((3^{2}+1)\), or \(10\), would be isolated. Thinking forward, not one but two steps ahead, and it saved them from a fraction.
User avatar
ENGRTOMBA2018
Joined: 20 Mar 2014
Last visit: 01 Dec 2021
Posts: 2,319
Own Kudos:
Given Kudos: 816
Concentration: Finance, Strategy
GMAT 1: 750 Q49 V44
GPA: 3.7
WE:Engineering (Aerospace and Defense)
Products:
GMAT 1: 750 Q49 V44
Posts: 2,319
Kudos: 3,890
Kudos
Add Kudos
Bookmarks
Bookmark this Post
xLUCAJx
Harley1980
Bunuel
If 3^a + 3^(a - 2) = (90)(3^b), what is b in terms of a?

(A) a – 4
(B) a – 2
(C) a + 4
(D) 3a + 2
(E) 3a + 4


Kudos for a correct solution.

\(3^a + 3^{a - 2} =3^{a-2}(3^2+1)=3^{a-2}*10\)

\((90)(3^b)=3^2*10*3^b=3^{b+2}*10\)

so \(3^{a-2}*10=3^{b+2}*10\)

\(b+2=a-2\) --> \(b = a-4\)

Answer is A

I am confused on the first step you took that factored out the \((3^2+1)\)

Think of it in this way:

\(3^a+ 3^{a - 2} =3^{a+2-2}+3^{a-2}=3^{a-2}*3^{2}+ 3^{a-2} = 3^{a-2}(3^2+1)=3^{a-2}*10\)

Going from 1st part to the second, we added and subtracted 2 from a as we need the power of a-2 common. For the second part, we used the property \(a^{x+y} = a^x*a^y\), where x= a-2 and y = 2.

I hope this clears your doubt.
User avatar
ScottTargetTestPrep
User avatar
Target Test Prep Representative
Joined: 14 Oct 2015
Last visit: 23 Apr 2026
Posts: 22,283
Own Kudos:
26,531
 [1]
Given Kudos: 302
Status:Founder & CEO
Affiliations: Target Test Prep
Location: United States (CA)
Expert
Expert reply
Active GMAT Club Expert! Tag them with @ followed by their username for a faster response.
Posts: 22,283
Kudos: 26,531
 [1]
1
Kudos
Add Kudos
Bookmarks
Bookmark this Post
Bunuel
If 3^a + 3^(a - 2) = (90)(3^b), what is b in terms of a?

(A) a – 4
(B) a – 2
(C) a + 4
(D) 3a + 2
(E) 3a + 4

Simplifying, we have:

3^a + 3^a x 3^-2 = (90)(3^b)

3^a(1 + 3^-2) = 90(3^b)

3^a(1 + 1/9) = 90(3^b)

3^a(10/9) = 90(3^b)

3^a = 90(3^b) x 9/10

3^a = 9 x 3^b x 9

3^a = 81 x 3^b

3^a = 3^4 x 3^b

3^a = 3^(4 + b)

a = 4 + b

a - 4 = b

Answer: A
User avatar
jfranciscocuencag
Joined: 12 Sep 2017
Last visit: 17 Aug 2024
Posts: 227
Own Kudos:
Given Kudos: 132
Posts: 227
Kudos: 144
Kudos
Add Kudos
Bookmarks
Bookmark this Post
Good night!

Could someone please explain to me the following?


\(3^a + 3^{(a - 2)} = (3^2*10)(3^b)\)

\(3^a(1 + 3^{(-2)}) = (3^{(2+b)})(10)\)

From here...

Can we always just equal the powers of 3?

a - 2 = 2 + b

a - 4 = b???


Kind regards!
User avatar
RastogiSarthak99
Joined: 20 Mar 2019
Last visit: 10 Aug 2024
Posts: 139
Own Kudos:
Given Kudos: 282
Location: India
Posts: 139
Kudos: 26
Kudos
Add Kudos
Bookmarks
Bookmark this Post
While others have clearly done better ways of doing this, I would just like to point out that in exponents, it is easy to miss how to take out common items.

So always take common smaller units. Like with 3^a + 3^a-2 --> write as 3^a-2( 3^(a-(a-2) + 1) --> 3^a-2 * 10
User avatar
yashbabu
Joined: 01 Jan 2014
Last visit: 13 Dec 2022
Posts: 100
Own Kudos:
Given Kudos: 82
Location: India
GMAT 1: 690 Q48 V35
GPA: 3.82
Products:
GMAT 1: 690 Q48 V35
Posts: 100
Kudos: 38
Kudos
Add Kudos
Bookmarks
Bookmark this Post
Take a= 4
3^4 + 3^(4-2) = 3^(2+b) x 10

3^2 (3^2+1) = 3^(2+b) x 10

3^2 (10) = 3^(2+b) x 10
3^2 = 3^(2+b)

2=2+b
b=0


put a=4 in options only A goes with b=0
User avatar
bumpbot
User avatar
Non-Human User
Joined: 09 Sep 2013
Last visit: 04 Jan 2021
Posts: 38,963
Own Kudos:
Posts: 38,963
Kudos: 1,117
Kudos
Add Kudos
Bookmarks
Bookmark this Post
Automated notice from GMAT Club BumpBot:

A member just gave Kudos to this thread, showing it’s still useful. I’ve bumped it to the top so more people can benefit. Feel free to add your own questions or solutions.

This post was generated automatically.
Moderators:
Math Expert
109784 posts
Tuck School Moderator
853 posts