Last visit was: 24 Apr 2026, 01:32 It is currently 24 Apr 2026, 01:32
Close
GMAT Club Daily Prep
Thank you for using the timer - this advanced tool can estimate your performance and suggest more practice questions. We have subscribed you to Daily Prep Questions via email.

Customized
for You

we will pick new questions that match your level based on your Timer History

Track
Your Progress

every week, we’ll send you an estimated GMAT score based on your performance

Practice
Pays

we will pick new questions that match your level based on your Timer History
Not interested in getting valuable practice questions and articles delivered to your email? No problem, unsubscribe here.
Close
Request Expert Reply
Confirm Cancel
Sub 505 (Easy)|   Word Problems|                                       
User avatar
Walkabout
Joined: 02 Dec 2012
Last visit: 04 Feb 2026
Posts: 172
Own Kudos:
29,267
 [47]
Given Kudos: 51
Products:
Posts: 172
Kudos: 29,267
 [47]
5
Kudos
Add Kudos
41
Bookmarks
Bookmark this Post
Most Helpful Reply
User avatar
Bunuel
User avatar
Math Expert
Joined: 02 Sep 2009
Last visit: 23 Apr 2026
Posts: 109,802
Own Kudos:
Given Kudos: 105,868
Products:
Expert
Expert reply
Active GMAT Club Expert! Tag them with @ followed by their username for a faster response.
Posts: 109,802
Kudos: 810,912
 [11]
6
Kudos
Add Kudos
5
Bookmarks
Bookmark this Post
General Discussion
User avatar
aeglorre
Joined: 12 Jan 2013
Last visit: 21 Sep 2014
Posts: 103
Own Kudos:
228
 [1]
Given Kudos: 47
Posts: 103
Kudos: 228
 [1]
1
Kudos
Add Kudos
Bookmarks
Bookmark this Post
User avatar
BrainLab
User avatar
Current Student
Joined: 10 Mar 2013
Last visit: 26 Jan 2025
Posts: 343
Own Kudos:
3,215
 [2]
Given Kudos: 200
Location: Germany
Concentration: Finance, Entrepreneurship
GMAT 1: 580 Q46 V24
GPA: 3.7
WE:Marketing (Telecommunications)
GMAT 1: 580 Q46 V24
Posts: 343
Kudos: 3,215
 [2]
Kudos
Add Kudos
2
Bookmarks
Bookmark this Post
It's also possible to solve with smart numbers
David has 120
Jeff 120/3 = 40
Paula 120*2 = 240
Total 400 Books --> 400/120 = 10/3
User avatar
luckyme17187
Joined: 07 Apr 2014
Last visit: 12 May 2015
Posts: 62
Own Kudos:
120
 [2]
Given Kudos: 81
Posts: 62
Kudos: 120
 [2]
1
Kudos
Add Kudos
1
Bookmarks
Bookmark this Post
Walkabout
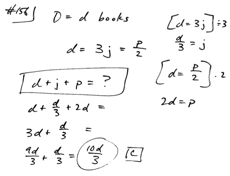
David has d books, which is 3 times as many as Jeff and 1/2 as many as Paula. How many books do the three of them have altogether, in terms of d?

(A) 5/6*d
(B) 7/3*d
(C) 10/3*d
(D) 7/2*d
(E) 9/2*d



David = d ; jeff=f ; paula = p


d=3j ; d=p(1/2)

d+j+p = d+ d/3 + 2d = 10d /3
avatar
PareshGmat
Joined: 27 Dec 2012
Last visit: 10 Jul 2016
Posts: 1,531
Own Kudos:
8,272
 [1]
Given Kudos: 193
Status:The Best Or Nothing
Location: India
Concentration: General Management, Technology
WE:Information Technology (Computer Software)
Posts: 1,531
Kudos: 8,272
 [1]
1
Kudos
Add Kudos
Bookmarks
Bookmark this Post
David ................ Jeff ................... Paula

d ........................ \(\frac{d}{3}\) ....................... 2d

\(Total = 3d + \frac{d}{3} = \frac{10d}{3}\)

Answer = C
User avatar
mcelroytutoring
Joined: 10 Jul 2015
Last visit: 19 Mar 2026
Posts: 1,206
Own Kudos:
2,675
 [3]
Given Kudos: 282
Status:Expert GMAT, GRE, and LSAT Tutor / Coach
Affiliations: Harvard University, A.B. with honors in Government, 2002
Location: United States (CO)
Age: 45 (10 years and counting on GMAT Club!)
GMAT 1: 770 Q47 V48
GMAT 2: 730 Q44 V47
GMAT 3: 750 Q50 V42
GMAT 4: 730 Q48 V42 (Online)
GRE 1: Q168 V169
GRE 2: Q170 V170
Expert
Expert reply
GMAT 4: 730 Q48 V42 (Online)
GRE 1: Q168 V169
GRE 2: Q170 V170
Posts: 1,206
Kudos: 2,675
 [3]
2
Kudos
Add Kudos
1
Bookmarks
Bookmark this Post
Attached is a visual that should help.
Attachments

Screen Shot 2016-05-25 at 9.42.32 PM.png
Screen Shot 2016-05-25 at 9.42.32 PM.png [ 110.22 KiB | Viewed 53756 times ]

User avatar
JeffTargetTestPrep
User avatar
Target Test Prep Representative
Joined: 04 Mar 2011
Last visit: 05 Jan 2024
Posts: 2,974
Own Kudos:
8,710
 [4]
Given Kudos: 1,646
Status:Head GMAT Instructor
Affiliations: Target Test Prep
Expert
Expert reply
Posts: 2,974
Kudos: 8,710
 [4]
1
Kudos
Add Kudos
3
Bookmarks
Bookmark this Post
Walkabout
David has d books, which is 3 times as many as Jeff and 1/2 as many as Paula. How many books do the three of them have altogether, in terms of d?

(A) 5/6*d
(B) 7/3*d
(C) 10/3*d
(D) 7/2*d
(E) 9/2*d

Although we could plug in a real value for d, the problem can be just as easily solved by setting up equations. However, let’s start by defining some variables. Since we are given that David has d books, we can use variable d to represent how many books David has.

number of books David has = d

number of books Jeff has = j

number of books Paula has = p

We are given that David has 3 times as many books as Jeff. We can now express this in an equation.

d = 3j

d/3 = j

We are also given that David has ½ as many books as Paula. We can also express this in an equation.

d = (1/2)p

2d = p

Notice that we immediately solved for j in terms of d and p in terms of d. Getting j and p in terms of d is useful when setting up our final expression. We need to determine, in terms of d, the sum of the number of books for David, Jeff, and Paula. Thus, we have:

d + d/3 + 2d

Getting a common denominator of 3, we have:

3d/3 + d/3 + 6d/3 = 10d/3 = 10/3*d

The answer is C.
User avatar
susheelh
Joined: 12 Jun 2016
Last visit: 13 Jun 2018
Posts: 144
Own Kudos:
298
 [1]
Given Kudos: 151
Location: India
Concentration: Technology, Leadership
WE:Sales (Telecommunications)
Posts: 144
Kudos: 298
 [1]
1
Kudos
Add Kudos
Bookmarks
Bookmark this Post
Hello Moderators,

Do you think the answers choices should be made math friendly? It will be helpful when solving.
User avatar
Bunuel
User avatar
Math Expert
Joined: 02 Sep 2009
Last visit: 23 Apr 2026
Posts: 109,802
Own Kudos:
Given Kudos: 105,868
Products:
Expert
Expert reply
Active GMAT Club Expert! Tag them with @ followed by their username for a faster response.
Posts: 109,802
Kudos: 810,912
Kudos
Add Kudos
Bookmarks
Bookmark this Post
susheelh
Hello Moderators,

Do you think the answers choices should be made math friendly? It will be helpful when solving.
_________________
Edited. Thank you.
User avatar
dave13
Joined: 09 Mar 2016
Last visit: 15 Mar 2026
Posts: 1,086
Own Kudos:
Given Kudos: 3,851
Posts: 1,086
Kudos: 1,137
Kudos
Add Kudos
Bookmarks
Bookmark this Post
JeffTargetTestPrep
Walkabout
David has d books, which is 3 times as many as Jeff and 1/2 as many as Paula. How many books do the three of them have altogether, in terms of d?

(A) 5/6*d
(B) 7/3*d
(C) 10/3*d
(D) 7/2*d
(E) 9/2*d

Although we could plug in a real value for d, the problem can be just as easily solved by setting up equations. However, let’s start by defining some variables. Since we are given that David has d books, we can use variable d to represent how many books David has.

number of books David has = d

number of books Jeff has = j

number of books Paula has = p

We are given that David has 3 times as many books as Jeff. We can now express this in an equation.

d = 3j

d/3 = j

We are also given that David has ½ as many books as Paula. We can also express this in an equation.

d = (1/2)p

2d = p

Notice that we immediately solved for j in terms of d and p in terms of d. Getting j and p in terms of d is useful when setting up our final expression. We need to determine, in terms of d, the sum of the number of books for David, Jeff, and Paula. Thus, we have:

d + d/3 + 2d

Getting a common denominator of 3, we have:

3d/3 + d/3 + 6d/3 = 10d/3 = 10/3*d

The answer is C.

Hi. Can you please explain what does "j in terms of d and p in terms of d " mean ? I cant somehow digest the meaning of " in terms of " :) Thanks!
User avatar
Bunuel
User avatar
Math Expert
Joined: 02 Sep 2009
Last visit: 23 Apr 2026
Posts: 109,802
Own Kudos:
810,912
 [1]
Given Kudos: 105,868
Products:
Expert
Expert reply
Active GMAT Club Expert! Tag them with @ followed by their username for a faster response.
Posts: 109,802
Kudos: 810,912
 [1]
Kudos
Add Kudos
1
Bookmarks
Bookmark this Post
dave13
JeffTargetTestPrep
Walkabout
David has d books, which is 3 times as many as Jeff and 1/2 as many as Paula. How many books do the three of them have altogether, in terms of d?

(A) 5/6*d
(B) 7/3*d
(C) 10/3*d
(D) 7/2*d
(E) 9/2*d

Although we could plug in a real value for d, the problem can be just as easily solved by setting up equations. However, let’s start by defining some variables. Since we are given that David has d books, we can use variable d to represent how many books David has.

number of books David has = d

number of books Jeff has = j

number of books Paula has = p

We are given that David has 3 times as many books as Jeff. We can now express this in an equation.

d = 3j

d/3 = j

We are also given that David has ½ as many books as Paula. We can also express this in an equation.

d = (1/2)p

2d = p

Notice that we immediately solved for j in terms of d and p in terms of d. Getting j and p in terms of d is useful when setting up our final expression. We need to determine, in terms of d, the sum of the number of books for David, Jeff, and Paula. Thus, we have:

d + d/3 + 2d

Getting a common denominator of 3, we have:

3d/3 + d/3 + 6d/3 = 10d/3 = 10/3*d

The answer is C.

Hi. Can you please explain what does "j in terms of d and p in terms of d " mean ? I cant somehow digest the meaning of " in terms of " :) Thanks!

Express x in terms of y means to write x = some equation with y. For example, in x = 12y^2 - 3, x is expressed in terms of y.
User avatar
EMPOWERgmatRichC
User avatar
Major Poster
Joined: 19 Dec 2014
Last visit: 31 Dec 2023
Posts: 21,777
Own Kudos:
13,047
 [2]
Given Kudos: 450
Status:GMAT Assassin/Co-Founder
Affiliations: EMPOWERgmat
Location: United States (CA)
GMAT 1: 800 Q51 V49
GRE 1: Q170 V170
Expert
Expert reply
GMAT 1: 800 Q51 V49
GRE 1: Q170 V170
Posts: 21,777
Kudos: 13,047
 [2]
1
Kudos
Add Kudos
1
Bookmarks
Bookmark this Post
Hi All,

To start, there's a typo in your transcription - it's supposed to read "...and 1/2 as many as Paula...."

We can answer this question by TESTing VALUES or by doing algebra...

IF...
Jeff = 2 books
David = 6 books = D books
Paula = 12 books

The total number of books = 2+6+12 = 20

So we're looking for an answer that equals 20 when D=6. There's only one answer that matches...

Final Answer:
GMAT assassins aren't born, they're made,
Rich
1
Kudos
Add Kudos
Bookmarks
Bookmark this Post
dave13
JeffTargetTestPrep
Walkabout
David has d books, which is 3 times as many as Jeff and 1/2 as many as Paula. How many books do the three of them have altogether, in terms of d?

(A) 5/6*d
(B) 7/3*d
(C) 10/3*d
(D) 7/2*d
(E) 9/2*d

Although we could plug in a real value for d, the problem can be just as easily solved by setting up equations. However, let’s start by defining some variables. Since we are given that David has d books, we can use variable d to represent how many books David has.

number of books David has = d

number of books Jeff has = j

number of books Paula has = p

We are given that David has 3 times as many books as Jeff. We can now express this in an equation.

d = 3j

d/3 = j

We are also given that David has ½ as many books as Paula. We can also express this in an equation.

d = (1/2)p

2d = p

Notice that we immediately solved for j in terms of d and p in terms of d. Getting j and p in terms of d is useful when setting up our final expression. We need to determine, in terms of d, the sum of the number of books for David, Jeff, and Paula. Thus, we have:

d + d/3 + 2d

Getting a common denominator of 3, we have:

3d/3 + d/3 + 6d/3 = 10d/3 = 10/3*d

The answer is C.

Hi. Can you please explain what does "j in terms of d and p in terms of d " mean ? I cant somehow digest the meaning of " in terms of " :) Thanks!
dave13
''In terms of d'' means--> You must keep the alphabet ''d'' in the answer options. You're NOT allowed to put the value of ''d'' in the answer option.
Kudos
Add Kudos
Bookmarks
Bookmark this Post
Quote:
David has d books, which is 3 times as many as Jeff and 1/2 as many as Paula. How many books do the three of them have altogether, in terms of d?


(A) \(\frac{5}{6}×d\)

(B) \(\frac{7}{3}×d\)

(C) \(\frac{10}{3}×d\)

(D) \(\frac{7}{2}×d\)

(E) \(\frac{9}{2}×d\)
Total books has to be more than \(d\) books. But, choice A carries less than \(d\) books because of proper fraction. So, we can cross choice A.
--AA
User avatar
keshavmishra
Joined: 13 Oct 2012
Last visit: 23 Nov 2020
Posts: 27
Own Kudos:
9
 [1]
Given Kudos: 56
Location: India
Schools: IIMA PGPX'22
WE:Operations (Manufacturing)
Schools: IIMA PGPX'22
Posts: 27
Kudos: 9
 [1]
1
Kudos
Add Kudos
Bookmarks
Bookmark this Post
given that
david = d books
jeff = d/3 books
paula = 2d

total books = d+(d/3)+2d
LCM --> 10d/3
Answer C
User avatar
avigutman
Joined: 17 Jul 2019
Last visit: 30 Sep 2025
Posts: 1,285
Own Kudos:
1,908
 [1]
Given Kudos: 66
Location: Canada
GMAT 1: 780 Q51 V45
GMAT 2: 780 Q50 V47
GMAT 3: 770 Q50 V45
Expert
Expert reply
GMAT 3: 770 Q50 V45
Posts: 1,285
Kudos: 1,908
 [1]
1
Kudos
Add Kudos
Bookmarks
Bookmark this Post
Video solution from Quant Reasoning:
Subscribe for more: https://www.youtube.com/QuantReasoning? ... irmation=1
User avatar
YuktiMaheshwari
Joined: 05 Jan 2023
Last visit: 17 Apr 2026
Posts: 31
Own Kudos:
Given Kudos: 15
Posts: 31
Kudos: 11
Kudos
Add Kudos
Bookmarks
Bookmark this Post
David = d books
Jeff = d/3 books
Paula = 2d

total books = d+(d/3)+2d = 10d/3 (C)

Posted from my mobile device
User avatar
DanTheGMATMan
Joined: 02 Oct 2015
Last visit: 23 Apr 2026
Posts: 380
Own Kudos:
Given Kudos: 9
Expert
Expert reply
Posts: 380
Kudos: 267
Kudos
Add Kudos
Bookmarks
Bookmark this Post
­No sweat. Just express everything in terms of d:

User avatar
totaltestprepNick
Joined: 25 Aug 2014
Last visit: 23 Apr 2026
Posts: 469
Own Kudos:
Given Kudos: 2
GMAT 1: 750 Q49 V42
GMAT 1: 750 Q49 V42
Posts: 469
Kudos: 4
Kudos
Add Kudos
Bookmarks
Bookmark this Post
Walkabout
David has d books, which is 3 times as many as Jeff and 1/2 as many as Paula. How many books do the three of them have altogether, in terms of d?


(A) \(\frac{5}{6}*d\)

(B) \(\frac{7}{3}*d\)

(C) \(\frac{10}{3}*d\)

(D) \(\frac{7}{2}*d\)

(E) \(\frac{9}{2}*d\)





Nick Slavkovich, GMAT/GRE tutor with 20+ years of experience

[email protected]
Moderators:
Math Expert
109802 posts
Tuck School Moderator
853 posts