Last visit was: 19 Nov 2025, 17:25 It is currently 19 Nov 2025, 17:25
Close
GMAT Club Daily Prep
Thank you for using the timer - this advanced tool can estimate your performance and suggest more practice questions. We have subscribed you to Daily Prep Questions via email.

Customized
for You

we will pick new questions that match your level based on your Timer History

Track
Your Progress

every week, we’ll send you an estimated GMAT score based on your performance

Practice
Pays

we will pick new questions that match your level based on your Timer History
Not interested in getting valuable practice questions and articles delivered to your email? No problem, unsubscribe here.
Close
Request Expert Reply
Confirm Cancel
User avatar
Bunuel
User avatar
Math Expert
Joined: 02 Sep 2009
Last visit: 19 Nov 2025
Posts: 105,390
Own Kudos:
778,370
 [9]
Given Kudos: 99,977
Products:
Expert
Expert reply
Active GMAT Club Expert! Tag them with @ followed by their username for a faster response.
Posts: 105,390
Kudos: 778,370
 [9]
Kudos
Add Kudos
9
Bookmarks
Bookmark this Post
User avatar
Archit3110
User avatar
Major Poster
Joined: 18 Aug 2017
Last visit: 19 Nov 2025
Posts: 8,422
Own Kudos:
4,982
 [1]
Given Kudos: 243
Status:You learn more from failure than from success.
Location: India
Concentration: Sustainability, Marketing
GMAT Focus 1: 545 Q79 V79 DI73
GMAT Focus 2: 645 Q83 V82 DI81
GPA: 4
WE:Marketing (Energy)
GMAT Focus 2: 645 Q83 V82 DI81
Posts: 8,422
Kudos: 4,982
 [1]
1
Kudos
Add Kudos
Bookmarks
Bookmark this Post
User avatar
LeopardLiu
Joined: 23 Aug 2021
Last visit: 05 Dec 2023
Posts: 94
Own Kudos:
145
 [2]
Given Kudos: 74
Posts: 94
Kudos: 145
 [2]
2
Kudos
Add Kudos
Bookmarks
Bookmark this Post
User avatar
Berdiyor
Joined: 02 Feb 2019
Last visit: 18 Sep 2025
Posts: 40
Own Kudos:
87
 [2]
Given Kudos: 14
Location: Uzbekistan
GMAT 1: 640 Q50 V25
GMAT 2: 670 Q51 V28
GPA: 3.4
GMAT 2: 670 Q51 V28
Posts: 40
Kudos: 87
 [2]
2
Kudos
Add Kudos
Bookmarks
Bookmark this Post
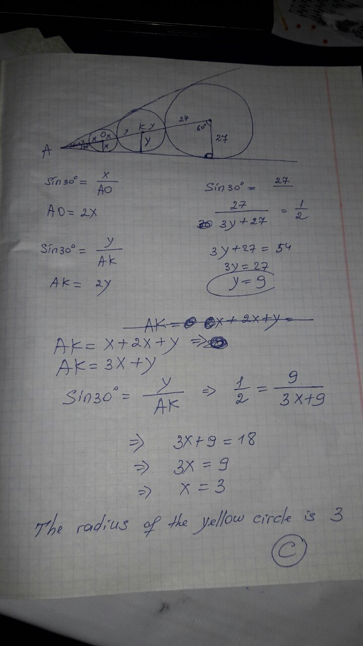
The correct answer is C.
The picture shows the detailed solution to the problem.
Attachments

6.jpg
6.jpg [ 114.56 KiB | Viewed 4463 times ]

User avatar
Iotaa
User avatar
LBS Moderator
Joined: 25 Apr 2020
Last visit: 15 Mar 2023
Posts: 134
Own Kudos:
154
 [2]
Given Kudos: 99
Location: India
Posts: 134
Kudos: 154
 [2]
2
Kudos
Add Kudos
Bookmarks
Bookmark this Post
Bunuel

Three tangent circles are inscribed in a 60° angle, as shown above. If the radius of the blue circle is 27, what is the radius of the yellow circle ?


A. \(1\)

B. \(\sqrt[4]{27}\)

C. \(3\)

D. \(\sqrt{27}\)

E. \(9\)


 


This question was provided by GMAT Club
for the GMAT Club World Cup Competition

Compete, Get Better, Win prizes and more

 




Attachment:
The attachment 1.png is no longer available


Referring to the picture attached, ACF is a 30-60-90 triangle, which makes the sides in the ratio of 2: sqr.3: 1. So AF = 2 * 27 = 54.

Now, triangle ACF & ABE are similar (Angle). So, CF/BE= AF/AE; 27/R = 54/ a+2r+R, So R= 2r+a ... (1)

Apply similarity in triangle ABE & smaller triangle, we will get r=a.

We also know AF = 54 = a+2r+2R+27; 27=3r + 6r; 9r=27

Therefore r= 27/9 = 3 (Option C)
Attachments

WhatsApp Image 2022-07-13 at 9.38.22 PM.jpeg
WhatsApp Image 2022-07-13 at 9.38.22 PM.jpeg [ 59.79 KiB | Viewed 4381 times ]

User avatar
NextGenNerd
Joined: 09 Jun 2021
Last visit: 28 Jan 2023
Posts: 44
Own Kudos:
60
 [2]
Given Kudos: 24
Location: India
GMAT 1: 690 Q49 V35
GMAT 2: 760 Q50 V42
GPA: 3.2
WE:Information Technology (Computer Software)
2
Kudos
Add Kudos
Bookmarks
Bookmark this Post
Correct answer : choice C

went with an intuitive approach:
So the line from the origin to the tangent of the circle forms 90 degrees
this means we have a 30 60 90 triangle with radius which is given as 27 opposite to the 30 degrees side.
this implies the line from the point to the center of blue circle is 54 by the property of 1 root(3) 2
now 27 is the radius of the circle , so the remaining line becomes 27

applying the same process , the remaining length becomes 9 for the second circle

applying the same process, the radius of the yellow circle becomes 3. hence choice C
User avatar
KabirKanha
Joined: 21 Jun 2022
Last visit: 01 May 2023
Posts: 32
Own Kudos:
9
 [2]
Given Kudos: 32
Location: India
GMAT 1: 780 Q51 V46
GPA: 3.84
GMAT 1: 780 Q51 V46
Posts: 32
Kudos: 9
 [2]
1
Kudos
Add Kudos
1
Bookmarks
Bookmark this Post
Attachment:
Three Circles.png
Three Circles.png [ 28.39 KiB | Viewed 4161 times ]
We know that if two tangents are drawn from an external point to a circle, the angle bisector of the angle made by these two lines passes through the centre of said circle.
In this case, it will pass through the centres of all three circles.

Consider the triangle ABC,
\(\sin 30^\circ{} = \frac{AB}{AC} = \frac{1}{2}\)

\(\Rightarrow \frac{27}{AC} = \frac{1}{2}\)

\(\Rightarrow AC = 54\)

Let us denote the radii of the three circles as \(r_1, r_2, r_3\) from smallest to largest.
Then we can see by extending the above logic that,
\(3r_1 = r_2\)
And
\(3r_2 = r_3\)

\(\Rightarrow r_1= \frac{r_3}{9} = 3\)

Option C
User avatar
dsp9846
Joined: 31 Jan 2022
Last visit: 24 Jul 2024
Posts: 18
Own Kudos:
33
 [2]
Given Kudos: 15
Posts: 18
Kudos: 33
 [2]
2
Kudos
Add Kudos
Bookmarks
Bookmark this Post
OA - C

as per the figure attached,

let's say smaller circle radius BC = r1

triangle ABC is 30-90-60 triangle , so based on the pythagorean theorem AC= 2*BC = 2*r1

Similarly, triangle ADE is also 30-90-60 triangle, so AE = 2* DE = 2*r2

now, AE = AC + CE = 2*r1 + r1 + r2
so 2*r1 + r1 + r2 = 2*r2
r2 = 3*r1

now triangle AFG is also 30-90-60 triangle, so AG = 2*GF = 2*r3

now, AG = AC + CE + FG = 2*r1 + r1 + r2 + r2 + r3 = 3*r1 + 2*r2 + r3
so 2*r3 = 3*r1 + 2*r2 +r3

r3 = 9*r1
now r3 = 27 given

so r1 = 3
User avatar
gmatophobia
User avatar
Quant Chat Moderator
Joined: 22 Dec 2016
Last visit: 19 Nov 2025
Posts: 3,170
Own Kudos:
10,423
 [1]
Given Kudos: 1,861
Location: India
Concentration: Strategy, Leadership
Posts: 3,170
Kudos: 10,423
 [1]
1
Kudos
Add Kudos
Bookmarks
Bookmark this Post
Let O be the circle of the blue circle -

In the figure shown below

Attachment:
Screenshot 2022-07-14 153150.png
Screenshot 2022-07-14 153150.png [ 54.28 KiB | Viewed 3874 times ]

\(\triangle PQR \)

\(\angle QRP = 60\)
\(\angle RPQ = 90\)
\(\angle PQR = 30\)

\(\triangle OMQ \)

\(\angle QOM = 60\)
\(\angle OMQ = 90\)
\(\angle OQM = 30\)

We know that OP = 27 ; OM = 27

From 30-60-90 triangles

OQ = 54; RP = RM = MQ = \(27\sqrt{3}\)

Therefore \(\angle ORM = \angle ORP = 30\)

Attachment:
Screenshot 2022-07-14 160423.png
Screenshot 2022-07-14 160423.png [ 61.71 KiB | Viewed 3887 times ]

OX = RX = 27

So, let the radius of the white circle be w

3w = 27

w = 9

Let the radius of the yellow circle be y

3y = 9

y = 3

IMO C
User avatar
bumpbot
User avatar
Non-Human User
Joined: 09 Sep 2013
Last visit: 04 Jan 2021
Posts: 38,588
Own Kudos:
Posts: 38,588
Kudos: 1,079
Kudos
Add Kudos
Bookmarks
Bookmark this Post
Hello from the GMAT Club BumpBot!

Thanks to another GMAT Club member, I have just discovered this valuable topic, yet it had no discussion for over a year. I am now bumping it up - doing my job. I think you may find it valuable (esp those replies with Kudos).

Want to see all other topics I dig out? Follow me (click follow button on profile). You will receive a summary of all topics I bump in your profile area as well as via email.
Moderators:
Math Expert
105390 posts
Tuck School Moderator
805 posts