Last visit was: 23 Apr 2026, 21:58 It is currently 23 Apr 2026, 21:58
Close
GMAT Club Daily Prep
Thank you for using the timer - this advanced tool can estimate your performance and suggest more practice questions. We have subscribed you to Daily Prep Questions via email.

Customized
for You

we will pick new questions that match your level based on your Timer History

Track
Your Progress

every week, we’ll send you an estimated GMAT score based on your performance

Practice
Pays

we will pick new questions that match your level based on your Timer History
Not interested in getting valuable practice questions and articles delivered to your email? No problem, unsubscribe here.
Close
Request Expert Reply
Confirm Cancel
505-555 (Easy)|   Sequences|                  
User avatar
blog
Joined: 23 Jan 2008
Last visit: 11 Feb 2008
Posts: 68
Own Kudos:
1,038
 [108]
Posts: 68
Kudos: 1,038
 [108]
7
Kudos
Add Kudos
99
Bookmarks
Bookmark this Post
Most Helpful Reply
User avatar
netcaesar
Joined: 22 Sep 2005
Last visit: 15 Oct 2014
Posts: 148
Own Kudos:
1,239
 [19]
Given Kudos: 1
Posts: 148
Kudos: 1,239
 [19]
13
Kudos
Add Kudos
6
Bookmarks
Bookmark this Post
User avatar
Testluv
User avatar
Kaplan GMAT Instructor
Joined: 21 Jun 2010
Last visit: 10 Dec 2010
Posts: 55
Own Kudos:
499
 [13]
Given Kudos: 2
Location: Toronto
Posts: 55
Kudos: 499
 [13]
7
Kudos
Add Kudos
6
Bookmarks
Bookmark this Post
General Discussion
User avatar
maratikus
Joined: 01 Jan 2008
Last visit: 22 Jul 2010
Posts: 257
Own Kudos:
347
 [3]
Given Kudos: 1
Posts: 257
Kudos: 347
 [3]
2
Kudos
Add Kudos
1
Bookmarks
Bookmark this Post
D is the answer

a(n) = a(n-1) + d

1) b(n) = 2*a(n) = 2*a(n-1)+2*d = b(n-1)+2*d -> arithmetic (d_new = 2*d)
2) b(n) = a(n) - c = a(n-1)+d-c = a(n-1)-c+d = b(n-1) + d -> arithmetic
3) b(n) = a(n)^2 = a(n-1)^2 + 2*a(n-1)*d + d^2 = b(n-1) + 2*a(n-1)*d + d^2 <> b(n-1) + const -> not arithmetic
User avatar
jpr200012
Joined: 30 May 2010
Last visit: 10 Oct 2011
Posts: 135
Own Kudos:
Given Kudos: 32
Posts: 135
Kudos: 844
Kudos
Add Kudos
Bookmarks
Bookmark this Post
From the definition you can clearly see that II is an arithmetic sequence. III is clearly not.

Option I is a trap! If you expand it to \(p+p, r+r, s+s, t+t, u+u\) it appears it doesn't increase by a constant.

If you rewrite the original sequence with an increase of \(n\) you get, \(p, p + n, p + 2n, p+3n, p+4n\).

Now multiply it by 2, and get \(2p, 2p + 2n, 2p + 4n, 2p + 6n, 2p + 8n\). Now you can see that I increases by \(2n\)!
User avatar
Sachin9
Joined: 22 Jul 2012
Last visit: 25 Dec 2015
Posts: 349
Own Kudos:
175
 [7]
Given Kudos: 562
Status:Gonna rock this time!!!
Location: India
GMAT 1: 640 Q43 V34
GMAT 2: 630 Q47 V29
WE:Information Technology (Computer Software)
GMAT 2: 630 Q47 V29
Posts: 349
Kudos: 175
 [7]
4
Kudos
Add Kudos
3
Bookmarks
Bookmark this Post
1) multiples all the terms by 2
2) subtracts all the terms by 3..

They gotto be in arithmetic sequence

whereas 3 squares .. anythign when squared will increase the value by a huge value. . and arithmetic sequence may not be maintained
User avatar
rajathpanta
Joined: 13 Feb 2010
Last visit: 24 Apr 2015
Posts: 142
Own Kudos:
495
 [1]
Given Kudos: 282
Status:Prevent and prepare. Not repent and repair!!
Location: India
Concentration: Technology, General Management
GPA: 3.75
WE:Sales (Telecommunications)
Posts: 142
Kudos: 495
 [1]
1
Kudos
Add Kudos
Bookmarks
Bookmark this Post
I followed a mixed approach. Started by picking numbers and realized soon that option 3 would not give me the results
User avatar
russ9
Joined: 15 Aug 2013
Last visit: 20 Apr 2015
Posts: 170
Own Kudos:
426
 [1]
Given Kudos: 23
Posts: 170
Kudos: 426
 [1]
1
Kudos
Add Kudos
Bookmarks
Bookmark this Post
Hi,

Can someone please clarify a nagging issue:

For a sequence to be an arithmetic sequence, does the different between the units have to be constant? To elaborate, are all three examples below considered arithmetic sequences?

-[2,4,6,8] = difference of 2
-[3,9,81...] = all the units are squared but the differences are not constant
-[2, 5, 9, 14]= the difference is 2+1 so (5= 2 + 3), (9=3+4), (14 = 9 + 5)
User avatar
Bunuel
User avatar
Math Expert
Joined: 02 Sep 2009
Last visit: 23 Apr 2026
Posts: 109,787
Own Kudos:
Given Kudos: 105,857
Products:
Expert
Expert reply
Active GMAT Club Expert! Tag them with @ followed by their username for a faster response.
Posts: 109,787
Kudos: 810,888
 [13]
1
Kudos
Add Kudos
12
Bookmarks
Bookmark this Post
russ9
Hi,

Can someone please clarify a nagging issue:

For a sequence to be an arithmetic sequence, does the different between the units have to be constant? To elaborate, are all three examples below considered arithmetic sequences?

-[2,4,6,8] = difference of 2
-[3,9,81...] = all the units are squared but the differences are not constant
-[2, 5, 9, 14]= the difference is 2+1 so (5= 2 + 3), (9=3+4), (14 = 9 + 5)

Arithmetic Progression is a special type of sequence in which the difference between successive terms is constant.

{2, 4, 6, 8} is an arithmetic progression (the difference = 2).
{3, 9, 81} is neither arithmetic not geometric progression.
{2, 5, 9, 14} is neither arithmetic not geometric progression.

Theory on sequences problems: sequences-progressions-101891.html

All DS sequences problems to practice: search.php?search_id=tag&tag_id=111
All PS sequences problems to practice: search.php?search_id=tag&tag_id=112
User avatar
PerfectScores
Joined: 20 Dec 2013
Last visit: 29 Nov 2025
Posts: 103
Own Kudos:
281
 [3]
Given Kudos: 1
Expert
Expert reply
Posts: 103
Kudos: 281
 [3]
2
Kudos
Add Kudos
Bookmarks
Bookmark this Post
blog
p, r, s, t, u

An arithmetic sequence is a sequence in which each term after the first term is equal to the sum of the preceding term and a constant. If the list of numbers shown above is an arithmetic sequence, which of the following must also be an arithmetic sequence?

I. 2p, 2r, 2s, 2t, 2u
II. p-3, r-3, s-3, t-3, u-3
III. p^2, r^2, s^2, t^2, u^2

(A) I only
(B) II only
(C) III only
(D) I and II
(E) II and III

Best thing should be plug in:

p = 1, q = 2, r = 3, s = 4, t = 5

I. 2, 4, 6, 8, 10 (Arithmetic Progression)
II. -2, -1, 0, 1, 2 (Arithmetic Progression)
III. 1, 4, 9, 16, 25 (Not AP)

Hence I and II
User avatar
chetan2u
User avatar
GMAT Expert
Joined: 02 Aug 2009
Last visit: 22 Apr 2026
Posts: 11,229
Own Kudos:
45,005
 [2]
Given Kudos: 335
Status:Math and DI Expert
Location: India
Concentration: Human Resources, General Management
GMAT Focus 1: 735 Q90 V89 DI81
Products:
Expert
Expert reply
GMAT Focus 1: 735 Q90 V89 DI81
Posts: 11,229
Kudos: 45,005
 [2]
1
Kudos
Add Kudos
1
Bookmarks
Bookmark this Post
mawus
p,r,s,t,u

An arithmetic sequence is a sequence in which each term after the first is equal to the sum of the preceding term and a constant. if the list of letters shown above is an arithmetic sequence, which of the following must also also be an arithmetic sequence?

I. 2p,2r,2s,2t,2u
II. p-3,r-3,s-3,t-3,u-3
III. p^2,r^2,s^2,t^2,u^2

(A) I only
(B) II only
(C) III only
(D) I and II
(E) II and III

hi mawus,

as we know an arithmetic sequence is a sequence in which each term after the first is equal to the sum of the preceding term and a constant...
this means the difference between each consecutive number is constant....
lets look at the three choices...
I. 2p,2r,2s,2t,2u....
since the difference is constant,say x and each number has been multiplied by a constant 2, the difference too will remain 2x... so it will be an arithmetic sequence...

II. p-3,r-3,s-3,t-3,u-3
since the difference is constant,say again x and each number has been subtracted by a constant 3 , the difference too will remain x-3... so it will be an arithmetic sequence...

III. p^2,r^2,s^2,t^2,u^2
since the difference is constant in initial sequence ,say x and now, each number has been multiplied by itself. Basically it means that each term is being multiplied by a different number, which is equal to itself... the difference now will change for each two consecutive number ... so it will not be an arithmetic sequence...

only l and ll.. ans D....
avatar
jmaz88
Joined: 15 Aug 2015
Last visit: 04 Apr 2016
Posts: 2
Own Kudos:
Given Kudos: 2
Location: United States
WE:Analyst (Consumer Packaged Goods)
Kudos
Add Kudos
Bookmarks
Bookmark this Post
The list of letters is bugging me, specifically because there is a gap between p and r (q). Is this relevant or just a distraction in the question? A simple explanation would be very helpful! Thank you!
User avatar
ENGRTOMBA2018
Joined: 20 Mar 2014
Last visit: 01 Dec 2021
Posts: 2,319
Own Kudos:
3,890
 [1]
Given Kudos: 816
Concentration: Finance, Strategy
GMAT 1: 750 Q49 V44
GPA: 3.7
WE:Engineering (Aerospace and Defense)
Products:
GMAT 1: 750 Q49 V44
Posts: 2,319
Kudos: 3,890
 [1]
1
Kudos
Add Kudos
Bookmarks
Bookmark this Post
jmaz88
The list of letters is bugging me, specifically because there is a gap between p and r (q). Is this relevant or just a distraction in the question? A simple explanation would be very helpful! Thank you!

Valid question, but it is an official question. It is what it is and you can not question the language or the OA for the question.

I dont believe knowing the alphabets in a particular sequence is relevant for this question. GMAT can even give us strange symbols to stand for these variables. You just have to understand what is an arithmetic progression and after that it is all a matter solving the question with whatever variables are given to you.

If GMAT wants to give you a,z,y,b,c and say that they are in arithmetic progression (ie difference between 2 consecutive terms is constant and is the same value), then you have to stick to this pattern of variables.

Hope this helps.
User avatar
BrushMyQuant
Joined: 05 Apr 2011
Last visit: 03 Apr 2026
Posts: 2,286
Own Kudos:
Given Kudos: 100
Status:Tutor - BrushMyQuant
Location: India
Concentration: Finance, Marketing
Schools: XLRI (A)
GMAT 1: 700 Q51 V31
GPA: 3
WE:Information Technology (Computer Software)
Expert
Expert reply
Schools: XLRI (A)
GMAT 1: 700 Q51 V31
Posts: 2,286
Kudos: 2,680
Kudos
Add Kudos
Bookmarks
Bookmark this Post
Please tag Sequence as this is Arithmetic Series question.
Thank you.
blog
p, r, s, t, u

An arithmetic sequence is a sequence in which each term after the first term is equal to the sum of the preceding term and a constant. If the list of numbers shown above is an arithmetic sequence, which of the following must also be an arithmetic sequence?

I. 2p, 2r, 2s, 2t, 2u
II. p-3, r-3, s-3, t-3, u-3
III. p^2, r^2, s^2, t^2, u^2

(A) I only
(B) II only
(C) III only
(D) I and II
(E) II and III
User avatar
mcelroytutoring
Joined: 10 Jul 2015
Last visit: 19 Mar 2026
Posts: 1,206
Own Kudos:
2,675
 [1]
Given Kudos: 282
Status:Expert GMAT, GRE, and LSAT Tutor / Coach
Affiliations: Harvard University, A.B. with honors in Government, 2002
Location: United States (CO)
Age: 45 (10 years and counting on GMAT Club!)
GMAT 1: 770 Q47 V48
GMAT 2: 730 Q44 V47
GMAT 3: 750 Q50 V42
GMAT 4: 730 Q48 V42 (Online)
GRE 1: Q168 V169
GRE 2: Q170 V170
Expert
Expert reply
GMAT 4: 730 Q48 V42 (Online)
GRE 1: Q168 V169
GRE 2: Q170 V170
Posts: 1,206
Kudos: 2,675
 [1]
1
Kudos
Add Kudos
Bookmarks
Bookmark this Post
Attached is a visual that should help.
Attachments

Screen Shot 2016-05-25 at 9.42.37 PM.png
Screen Shot 2016-05-25 at 9.42.37 PM.png [ 88.66 KiB | Viewed 67984 times ]

User avatar
ScottTargetTestPrep
User avatar
Target Test Prep Representative
Joined: 14 Oct 2015
Last visit: 23 Apr 2026
Posts: 22,283
Own Kudos:
26,531
 [2]
Given Kudos: 302
Status:Founder & CEO
Affiliations: Target Test Prep
Location: United States (CA)
Expert
Expert reply
Active GMAT Club Expert! Tag them with @ followed by their username for a faster response.
Posts: 22,283
Kudos: 26,531
 [2]
1
Kudos
Add Kudos
1
Bookmarks
Bookmark this Post
blog
p, r, s, t, u

An arithmetic sequence is a sequence in which each term after the first term is equal to the sum of the preceding term and a constant. If the list of numbers shown above is an arithmetic sequence, which of the following must also be an arithmetic sequence?

I. 2p, 2r, 2s, 2t, 2u
II. p-3, r-3, s-3, t-3, u-3
III. p^2, r^2, s^2, t^2, u^2

(A) I only
(B) II only
(C) III only
(D) I and II
(E) II and III

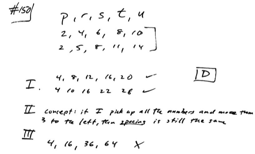
The defining factor of an arithmetic sequence is that there is a constant difference d between each pair of successive terms.

We are given an arithmetic sequence p, r, s, t, u. We need to determine which of the following MUST also be an arithmetic sequence. An easy way to determine this will be to choose convenient numbers for our initial sequence. Let's let the sequence look like this:

p, r, s, t, u = 2, 4, 6, 8, 10. Notice that the constant difference between each pair of successive terms is d = 2, and thus we are assured that it is an arithmetic sequence.

We can now use these numbers in the sequences presented in the three statements.

Statement I: 2p, 2r, 2s, 2t, 2u → (2 x 2), (2 x 4), (2 x 6), (2 x 8), (2 x 10) →
4, 8, 12, 16, 20

Notice that the above number set follows the definition of an arithmetic sequence, with a constant difference of d = 4. Thus, Statement I MUST be true.

We can eliminate answer choices B, C, and E.

Statement II. (p – 3), (r – 3), (s – 3), (t – 3), (u –3) →

(2 – 3), (4 – 3), (6 – 3), (8 – 3), (10 – 3) →

-1, 1, 3, 5, 7

Notice that the above number set follows the definition of an arithmetic sequence, with a constant difference of d = 2. Thus, Statement II MUST be true.

We can eliminate answer choice A. Even though we know that D is the correct answer choice, let’s check statement III anyway.

Statement III. p^2, r^2, s^2, t^2, u^2 →

2^2, 4^2, 6^2, 8^2, 10^2 →

4, 16, 36, 64, 100

Notice that the above number set DOES NOT follow the definition of an arithmetic sequence because there is not a constant difference between each pair of successive terms in the set. Thus, Statement III is NOT true.

Answer D

Note: Note that in the answer choices presented, the option “I, II, and III” is not given. Thus, once we determined that I and II were true we could have immediately chosen D as our answer.
Kudos
Add Kudos
Bookmarks
Bookmark this Post
blog
p, r, s, t, u

An arithmetic sequence is a sequence in which each term after the first term is equal to the sum of the preceding term and a constant. If the list of numbers shown above is an arithmetic sequence, which of the following must also be an arithmetic sequence?

I. 2p, 2r, 2s, 2t, 2u
II. p-3, r-3, s-3, t-3, u-3
III. p^2, r^2, s^2, t^2, u^2

(A) I only
(B) II only
(C) III only
(D) I and II
(E) II and III
If you try to verify I and II, you'll see they're valid sequence. As there is no answer option like I, II and III , you should not try to verify III (as you already know that I, II are valid sequence). Verifying III (at least here) is just waste of time.
Thanks__
User avatar
Adarsh_24
Joined: 06 Jan 2024
Last visit: 03 Apr 2025
Posts: 240
Own Kudos:
Given Kudos: 2,015
Posts: 240
Kudos: 65
Kudos
Add Kudos
Bookmarks
Bookmark this Post
If we add or subtract a constant from each term of an AP, resulting sequence is an AP and common difference will be same.

If we multiply or divide each term of an AP by non zero constant k then resulting sequence is an AP and common difference will be dk or d/k.
User avatar
totaltestprepNick
Joined: 25 Aug 2014
Last visit: 23 Apr 2026
Posts: 469
Own Kudos:
Given Kudos: 2
GMAT 1: 750 Q49 V42
GMAT 1: 750 Q49 V42
Posts: 469
Kudos: 4
Kudos
Add Kudos
Bookmarks
Bookmark this Post
blog
p, r, s, t, u

An arithmetic sequence is a sequence in which each term after the first term is equal to the sum of the preceding term and a constant. If the list of numbers shown above is an arithmetic sequence, which of the following must also be an arithmetic sequence?

I. 2p, 2r, 2s, 2t, 2u
II. p-3, r-3, s-3, t-3, u-3
III. p^2, r^2, s^2, t^2, u^2

(A) I only
(B) II only
(C) III only
(D) I and II
(E) II and III





Nick Slavkovich, GMAT/GRE tutor with 20+ years of experience

[email protected]
Moderators:
Math Expert
109787 posts
Tuck School Moderator
853 posts