Last visit was: 26 Apr 2026, 13:36 It is currently 26 Apr 2026, 13:36
Close
GMAT Club Daily Prep
Thank you for using the timer - this advanced tool can estimate your performance and suggest more practice questions. We have subscribed you to Daily Prep Questions via email.

Customized
for You

we will pick new questions that match your level based on your Timer History

Track
Your Progress

every week, we’ll send you an estimated GMAT score based on your performance

Practice
Pays

we will pick new questions that match your level based on your Timer History
Not interested in getting valuable practice questions and articles delivered to your email? No problem, unsubscribe here.
Close
Request Expert Reply
Confirm Cancel
User avatar
GMATBusters
User avatar
GMAT Tutor
Joined: 27 Oct 2017
Last visit: 23 Apr 2026
Posts: 1,922
Own Kudos:
6,860
 [2]
Given Kudos: 241
WE:General Management (Education)
Expert
Expert reply
Posts: 1,922
Kudos: 6,860
 [2]
Kudos
Add Kudos
2
Bookmarks
Bookmark this Post
User avatar
GMATBusters
User avatar
GMAT Tutor
Joined: 27 Oct 2017
Last visit: 23 Apr 2026
Posts: 1,922
Own Kudos:
Given Kudos: 241
WE:General Management (Education)
Expert
Expert reply
Posts: 1,922
Kudos: 6,860
Kudos
Add Kudos
Bookmarks
Bookmark this Post
User avatar
shameekv1989
Joined: 14 Dec 2019
Last visit: 17 Jun 2021
Posts: 816
Own Kudos:
Given Kudos: 354
Location: Poland
Concentration: Entrepreneurship, Strategy
GMAT 1: 640 Q49 V27
GMAT 2: 660 Q49 V31
GMAT 3: 720 Q50 V38
GPA: 4
WE:Engineering (Consumer Electronics)
Products:
Kudos
Add Kudos
Bookmarks
Bookmark this Post
User avatar
pk123
Joined: 16 Sep 2011
Last visit: 26 Apr 2020
Posts: 104
Own Kudos:
Given Kudos: 158
Products:
Posts: 104
Kudos: 122
Kudos
Add Kudos
Bookmarks
Bookmark this Post
If y is an integer, and y = k+|k|, is y = 0?
y = 0 can only happen as k <0 as mod of k (|k|)is always positive
so we need to prove whether k is negative
option 1)sqrt (-k) = 3 which can happen only when k =-9...so k is negative
option 2) (2- 2y) /sqroot (1-y)^2 = 2
(1- y) /sqroot (1-y)^2 = 1
(1-y) = sqroot (1-y)^2
here y can be positive as well as negative

A is the answer
User avatar
KhulanE
User avatar
McDonough School Moderator
Joined: 04 Jun 2019
Last visit: 20 Jul 2024
Posts: 154
Own Kudos:
Given Kudos: 102
Location: Mongolia
Concentration: Finance, Technology
GMAT Date: 08-28-2021
GRE 1: Q165 V153
GRE 2: Q167 V151
GPA: 3.7
WE:Securities Sales and Trading (Retail Banking)
GRE 1: Q165 V153
GRE 2: Q167 V151
Posts: 154
Kudos: 162
Kudos
Add Kudos
Bookmarks
Bookmark this Post
(A) √(-k)=3 => (√(-k))^2=3^2 => (-k)=9 => k=-9
y = k+|k|=-9+|-9|=-9+9=0 y=0 OK
(B) (2−2y)/(√(1−y)^2) =2 y cannot be 1

(2-2y)=2(√(1−y)^2) divide by 2 => 1-y=√(1−y)^2 => (1-y)^2=(√(1−y)^2) ^2=(1−y)^2, for any y except 1, the equation is true, so y cannot be 0
A is right
User avatar
Raxit85
Joined: 22 Feb 2018
Last visit: 02 Aug 2025
Posts: 761
Own Kudos:
Given Kudos: 135
Posts: 761
Kudos: 1,203
Kudos
Add Kudos
Bookmarks
Bookmark this Post
If y is an integer, and y = k+|k|, is y = 0?
Y can be 0, if k=0 or k=-ve.

A) √(-k)=3 means k = -ve because, square root is positive and it can only be when k is negative to become ultimately positive. So, k=-ve. sufficient
B) (2−2y)/√(1−y)^2 = 2,
2 (1-y)/√(1−y)^2 =2,
(1-y)/√(1−y)^2 = 1
If y=0, then above equation can be proven.
If y = 1, then equation can not be proven as it may lead -ve number on RHS.
If y= greater than 1, then also equation can not be proven as it may lead -ve number on RHS.
If y = -ve (less than -1), then also equation can not be proven as it may lead -ve number on RHS.
So, y = 0 only. So, sufficient.

D is the answer.
User avatar
shridhar786
Joined: 31 May 2018
Last visit: 08 Feb 2022
Posts: 322
Own Kudos:
1,753
 [1]
Given Kudos: 132
Location: United States
Concentration: Finance, Marketing
Posts: 322
Kudos: 1,753
 [1]
1
Kudos
Add Kudos
Bookmarks
Bookmark this Post
If y is an integer, and y = k+|k|, is y = 0?

A) √(-k)=3
from this statement, we get K = -9
y = k+|k| = -9 +|-9| = -9+9 = 0
is y = 0?---YES
so, statement A is SUFFICIENT

B) \(\frac{(2-2y)}{\sqrt{(1-y)^2}}\) = 2

\(\frac{(1-y)}{|(1-y)|}\) = 1
from here y not equal to 1 (since euation will be undefined)

since |(1-y)| is positive
(1-y) will have to be > 0
this implies y<1---y can be = 0,-1,-2,-3....... (y integer)

since y is of form = k+|k|--(y is integer)
if k>0 y = 2k (but +ve value of y is not possible)
if k<0 y = 0
if k = 0 y = 0

from here we know only possible value of y = 0
so, SUFFICIENT

D is the answer
User avatar
globaldesi
Joined: 28 Jul 2016
Last visit: 23 Feb 2026
Posts: 1,140
Own Kudos:
Given Kudos: 67
Location: India
Concentration: Finance, Human Resources
Schools: ISB '18 (D)
GPA: 3.97
WE:Project Management (Finance: Investment Banking)
Products:
Schools: ISB '18 (D)
Posts: 1,140
Kudos: 2,000
Kudos
Add Kudos
Bookmarks
Bookmark this Post
If y is an integer, and y = k+|k|, is y = 0?
A) √(-k)=3
B) \(\frac{(2−2y)}{√(1−y)^2}=2\)

1)
√-k has to be positive
thus k is negative

example
√(- (-9)) = 3
any negative value when substitutes in y = k+|k| = 0 ex
-3+3 =0
sufficient

2)
\(\frac{(2−2y)}{√(1−y)^2}=2\)
\(y \neq{1}\)
now RHS = 2
thus LHS also has to be

\(\frac{2(1−y)}{√(1−y)^2}\)
thus \(\frac{(1−y)}{|(1−y)|}\) has to be positive
or y < 1 since y is an integer
y <=0
for all such value y = k+|k| any negative values satisfying this value will result in y = 0
thus sufficient

D
avatar
aditibarjatya
Joined: 25 Mar 2013
Last visit: 27 Sep 2020
Posts: 11
Given Kudos: 42
Posts: 11
Kudos: 0
Kudos
Add Kudos
Bookmarks
Bookmark this Post
Solution:

Question 10: If y is an integer, and y = k+|k|, is \(y = 0\)?

A) \(\sqrt{(-k)}=3\)

B) \(\frac{(2−2y)}{\sqrt{(1−y)^2}}\) = 2


In this question, it is given that y is an integer and y = k+|k|. We need to find out whether y = 0.

First statement: \(\sqrt{(-k)}=3\)
This statement implies that k < 0 as -k is a perfect square and square root of -k is equal to 3. Thus, k must be equal to -9 and -(-9) = 9
From first statement, we know that \(k = - 9\). Substituting the value of equation k in equation y = k+|k|, we get,\( y = -9 + 9 = 0\)
Therefore \(y = 0\). Therefore, first statement is sufficient.

Second statement: \(\frac{(2−2y)}{\sqrt{(1−y)^2}}\) = 2

LHS = \(\frac{(2−2y)}{\sqrt{(1−y)^2}}\) = \(\frac{2(1-y)}{\sqrt{(1−y)^2}}\)

Since RHS = 2, \((1-y)\) in the numerator would cancel out the \(\sqrt{(1−y)^2}\) in the denominator.
Clearly, \(\sqrt{(1−y)^2}\) = \(1 - y\). Then, \(1 - y > 0\) or \(y < 1\).
It is given that y = k+|k| and we know that y < 1 and y is an integer. Thus, either y is 0 or y is a negative integer.
But, y or k+|k| < 1 only when \(k < 0\). Thus, \(k+|k| = 0\) and \(y = 0\).
Second statement also is sufficient.

Option D is the correct answer as either of the statements alone are sufficient to answer the question.
avatar
ajaymahadev
Joined: 13 Nov 2019
Last visit: 25 Feb 2020
Posts: 26
Own Kudos:
Given Kudos: 59
Location: India
Concentration: International Business, Marketing
GPA: 4
Posts: 26
Kudos: 11
Kudos
Add Kudos
Bookmarks
Bookmark this Post
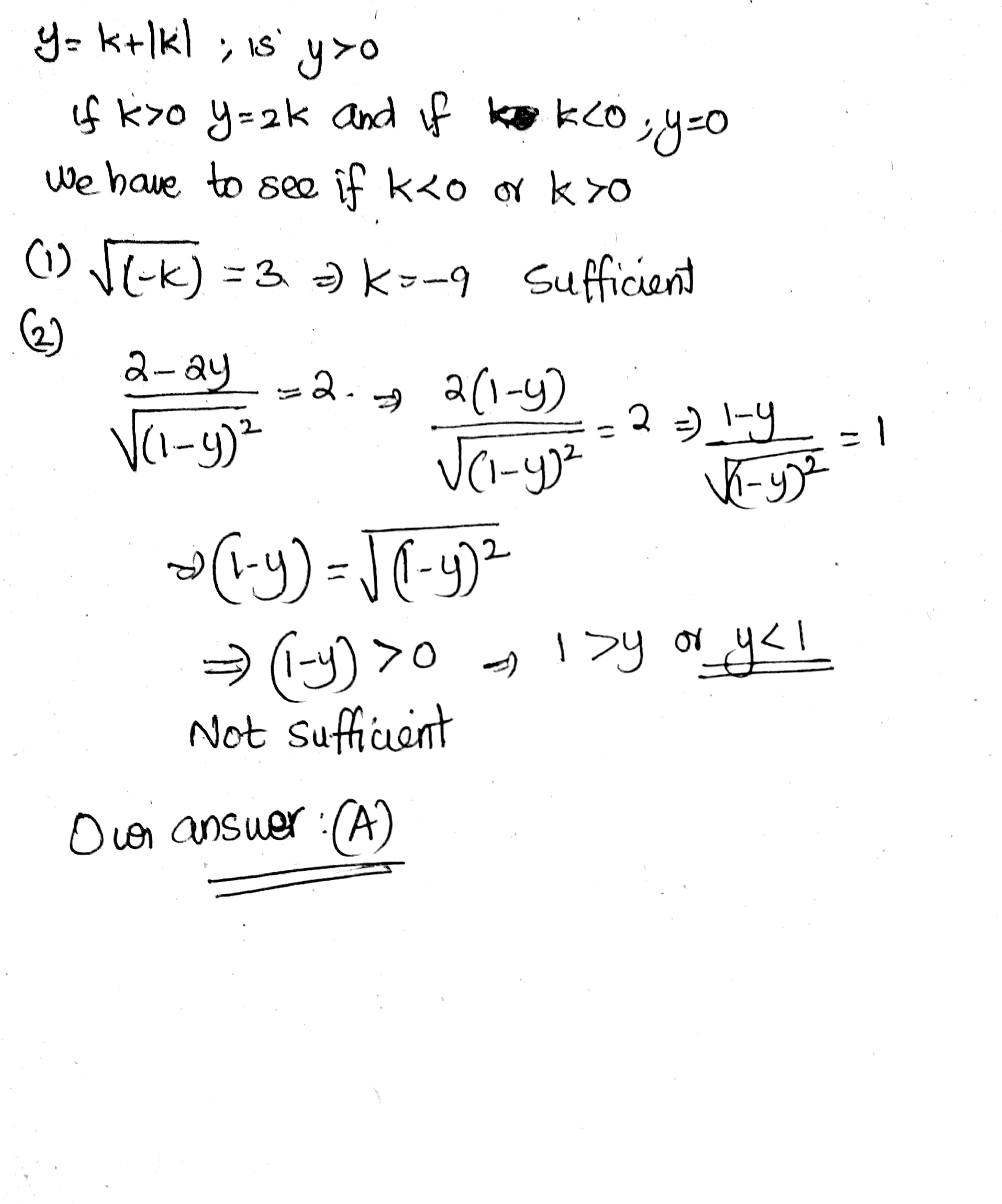
This question is pretty straight forward.
Attachments

New Doc 2020-02-16 08.09.13_8.jpg
New Doc 2020-02-16 08.09.13_8.jpg [ 151.4 KiB | Viewed 2796 times ]

User avatar
bM22
User avatar
Retired Moderator
Joined: 05 May 2016
Last visit: 17 Jul 2025
Posts: 520
Own Kudos:
Given Kudos: 1,316
Location: India
Products:
Kudos
Add Kudos
Bookmarks
Bookmark this Post
Solution:

Statement A. √(-k)=3

-k =9 => k=-9, Since, y = k+ |k| => y = -9+9 = 0. Sufficient.

B) (2−2y)/\sqrt{(1−y)^2}=2

implies: (1-y)/((1-y)^2) = 1 => 1-y =1, => y=0. Sufficient.


Answer D
Moderators:
Math Expert
109880 posts
498 posts
212 posts